[实验目的]
练习使用多用电表测电阻。

[实验原理]
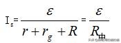
多用电表由表头、选择开关和测量线路三部分组成(如图),表头是一块高灵敏度磁电式电流表,其满度电流约几十到几百 A,转换开关和测量线路相配合,可测量交流和直流电流、交流和直流电压及直流电阻等。测量直流电阻部分即欧姆表是依据闭合电路欧姆定律制成的,原理如图所示,当红、黑表笔短接并调节R使指针满偏时有
Ig=

(1)当电笔间接入待测电阻Rx时,有
Ix=

(2)联立(1)、(2)式解得

(3)由(3)式知当Rx=R中时,Ix=1/2Ig,指针指在表盘刻度中心,故称R中为欧姆表的中值电阻,由(2)式或(3)式可知每一个Rx都有一个对应的电流值I,如果在刻度盘上直接标出与I对应的Rx的值,那么当红、黑表笔分别接触待测电阻的两端,就可以从表盘上直接读出它的阻值。
由于电流和电阻的非线性关系,表盘上电流刻度是均匀的,其对应的电阻刻度是不均匀的,电阻的零刻度在电流满刻度处。

[实验器材]
多用电表,标明阻值为几欧、几十欧、几百欧、几千欧的定值电阻各一个,小螺丝刀。

[实验步骤]
1.机械调零,用小螺丝刀旋动定位螺丝使指针指在左端电流零刻度处,并将红、黑表笔分别接入“+”、“-”插孔。
2.选挡:选择开关置于欧姆表“×1”挡。
3.红黑表笔短接,欧姆调零:在表笔短接时调整欧姆挡的调零旋钮使指针指在右端电阻零刻度处,若“欧姆零点”旋钮右旋到底也不能调零,应更换表内电池。
4.测量读数:将表笔搭接在待测电阻两端,读出指示的电阻值并与标定值比较,随即断开表笔。
5.换一个待测电阻,重复以上2、3、4过程,选择开关所置位置由被测电阻值与中值电阻值共同决定,可置于“×1”或“×10”或“×100”或“×1k”挡。
6.多用电表用完后,将选择开关置于“OFF”挡或交变电压的最高挡,拔出表笔。
[注意事项]
1.多用电表在使用前,应先观察指针是否指在电流表的零刻度,若有偏差,应进行机械调零。
2.测量时手不要接触表笔的金属部分。
3.合理选择量程,使指针尽可能指在中间刻度附近(可参考指针偏转在1/5R~5R中的范围)。若指针偏角太大,应改换低挡位;若指针偏角太小,应改换高挡位。每次换挡后均要重新短接调零,读数时应将指针示数乘以挡位倍率。
4.测量完毕后应拔出表笔,选择开头置OFF挡或交流电压最高挡,电表长期不用时应取出电池,以防电池漏电。
