045 fdist
助记:英文“F-dist ribution”
类别:统计
语法:
fdist(x,degrees_freedom1,degrees_freedom2)
参数:3个参数
- x 为用来计算分布的参数值
- degrees_freedom1 为分子的自由度数值
- degrees_freedom2 为分母的自由度数值
说明:
- 如果参数为非数值型,返回#VALUE!错误。
- 参数degrees_freedom1、2被截尾取整。
- 要求0≤x,1≤degrees_freedom 1、2≤10^10,否则返回错误值#NUM!。
- 函数FDIST的计算公式为FDIST=P(F>x),其中F为呈F分布且带有2个自由度的随机变量。
用法:返回F概率分布。使用此函数可以确定两个数据集是否存在变化程度上的不同。
046 finv
助记:英文“F-distribution + inv erse ”
类别:统计
语法:
finv(probability,degrees_freedom1,degrees_freedom2)
参数:3个参数
- probability 为与F累积分布相关的概率值
- degrees_freedom1 为分子的自由度数值,即第一自由度
- degrees_freedom2 为分母的自由度数值,即第二自由度
说明:
- 如果参数为非数值型,返回#VALUE!错误。
- 参数degrees_freedom1、2被截尾取整。
- 要求0≤probability≤1,1≤degrees_freedom1、2<10^10,否则返回错误值#NUM!。
- 函数FINV的精度取决于FDIST的精度。使用迭代搜索技术,如果搜索在100次迭代之后没有收敛,返回错误#N/A。
用法:返回F分布的反函数值,即F分布的临界值。
1)关于F分布的具体内容的讲解难倒我了,一般归类于屠龙术,可以自行百度F分布。实在搞不懂就不要学了。放个手机截图。

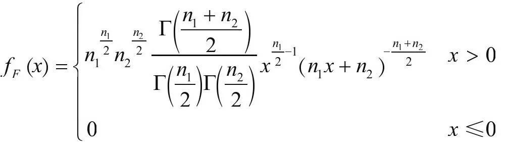
2)有本电子书上的概率密度的公式如下:

3)做个简单的F分布计算器在Excel里面很简单,输入下图的中的标题、数据和公式,D2单元格为“=fdist(A2,B2,C2)”,D4单元格为“=finv(A4,B4,C4)”。

4)为防止函数出错,可以加入限制条件。选择A2单元格,点击“数据”标签,“数据工具”区域中的“数字有效性”,选择如图的“有效性条件”。

5)同理,按住CTRL键的同时,依次选中B2、C2、B4、D4单元格设置数据有效性如下。(可以允许为整数,就不用截尾取整了)

6)A4单元格为0~1之间的小数,自行设置,不上图了。
7)当然想做成概率图表的话也很容易,比如网上搜索到的两个表。


8)对应的表格只用到一个公式,对应与∞的值就用10^10近似好了。


9)其他表格自行搜索并制作吧。

10)想要根据定义制作上面的F分布图像的话,需要用到下面的函数,使用=exp(gammaln(伽马函数))便可以计算出伽马函数了。

11)已下面2个自由度均为20的图像为例。

11)公式太长了,就不输入了,不过图像基本一致。改变2个自由度数值,就会得到其他曲线。


(待续)