在很多财务的资格考试中利率的计算不仅仅是易考点,还是难点。
尤其是现值、终值、年值的计算。
难就难在公式的记忆以及推导上。
今天 鲸算师 就为大家详细地讲解一下。
一、利息的计算方法:
影响单利和复利的三大要素为:本金、利率和期数
本金很简单就是原始资金,利率就是收益,期数就是时间

二、等值的计算方法:
影响资金等值的因素有三个:资金多少、资金发生时间、利率(折现率)大小。
因此在不同因素的情况下,可以有不同的计算公式

1、一次支付(整付)情形的计算公式:
1)终值计算——F=P(1+i)n=P(F/P,i,n)
2)现值计算——P=F(1+i)-n=F(P/F,i,n)
2、等额支付系列情形的计算公式:
1)终值计算

2)现值计算

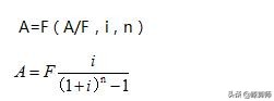
3)资金回收计算

4)偿债基金计算

(三)名义利率与有效利率
在复利计算中,利率周期通常以年为单位,它可以与计息周期相同,也可以不同。
当利率周期与计息周期不一致时,就有了一个名义利率和有效利率的概念。
(尤其是在*款贷**的时候,特别明显)

在名义利率r一定时,每年计息期数m越多,ieff与r相差越大。
最后如果有什么疑问可以留言,我会一一回答。
同时有一个叫“内部收益率”的小程序,里边包含了各种利率计算,很方便它可以根据投资项目的利率、付款方式、现金流等数据来计算投资项目的收益率,可以在我们投资的时候做一个参考。
