光子盒研究院
现在,一个基于声音的量子计算机关键构件已被首次被证明是有效的。
构建量子计算机的一种流行方式是将信息编码到光粒子的量子状态中,然后将它们送过镜子和透镜等“迷宫”般的设备阵列来操纵这些信息。量子力学定律指出,量子粒子从根本上是不可分割的,因此不能被分割; 但现在,芝加哥大学普利兹克分子工程学院(PME)的研究人员正在探索试图分割一个声子时会发生什么:Andrew Cleland和他的同事们正在用声音粒子做这些事情。

6月8日,发布于《科学》期刊上的文章“分裂声子:建立一个线性机械量子计算的平台(Splitting phonons: Building a platform for linear mechanical quantum computing)”实验演示了一种元器件,同时基于两个超导量子比特、完全表征了具有单个声子的分束器。
团队使用一个被称为声学分束器的设备来“分裂”声子,然后显示它们的量子特性。通过显示光束发射器可用于诱导单个声子的特殊量子叠加状态,以及在两个声子之间产生干扰,研究小组已经 朝着创建新型量子计算机迈出了关键的第一步 。

当一个物体或一种物质(如空气),振动时就会产生声音。我们(人耳)听到的是一种连续的噪音,但它实际上是一个微小的振动块的集合——或称为“声子(phonon)”的颗粒。
“制造一个声子需要四百亿个原子集体运动,但在我们的实验中,每个原子都是一个单一的量子物体。物理学家有时把声子说得好像它们只是思考声音的一个方便的技巧,但其实它们是非常真实的。”Cleland说。

Andrew Cleland
他的团队建造了一个芯片大小的设备,其部件由完美的导电材料制成,可以在将声子发送到设备的其他部分之前,一次创造一个声子。该芯片被保存在一个强大的“冰箱”里:温度为开尔文的百分之一,这样光子就会表现出量子效应。
每个声子的音调比可听声音高约一百万倍。
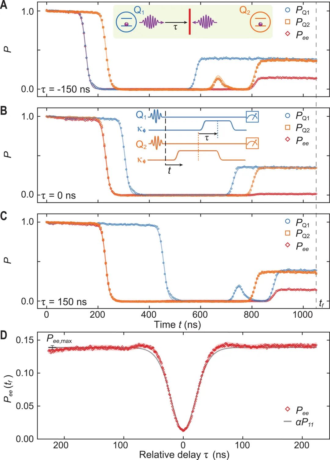
为了证明这些声子的量子能力,该团队(Cleland和他的研究生Hong Qiao)创造了一个装置,可以将声束32分成两半:传输一半,并将另一半反射回声源(光线分离器已经存在于光,必须证明光子的量子能力)。包括用于产生和检测声子的两个量子在内的整个系统,都在极低的温度下运行,并使用了单独的表面声波声子:这些声子在材料的表面传播,此处使用了铌酸锂。

器件描述和特征
然而,量子物理学说,单个声子是不可分割的。因此,当研究小组向射线发射器发送单个声子时,它并没有分裂,而是进入了量子叠加状态——一种声子同时被反射和传输的状态。观察(测量)声子会使这个量子态坍缩到两个状态中的一个。
研究小组找到了一种方法,通过在两个量子比特中捕获声子来维持这种叠加状态。 只有一个量子比特能捕捉到声子,但研究人员在测量后也无法分辨是哪个量子比特。换句话说,量子叠加是由声子转移到两个量子比特上的。因此,研究人员测量了两个量子比特的这种叠加,并得出了 “分光器创造了量子纠缠态的黄金标准证据(gold standard evidence)”,Cleland表示。

单声子干涉测量

在第二个实验中, 研究小组想证明另外一种基本的量子效应——Hong-Ou-Mandel效应 ,这种效应在20世纪80年代首次用光子证明。
当来自相反方向的两个相同的光子同时被送到一个分光器中时,叠加的输出是这样的:两个光子总是被发现“在一起”,在输出方向中的一个或另一个。
更重要的是,当研究小组用声子进行实验时,同样的事情也发生了:叠加输出意味着两个检测器量子中只有一个拾取了声子,朝着一个方向而不是另一个。尽管量子比特一次只能拾取一个声子(而不是两个),但放置在相反方向的量子比特从未“听到”一个声子,这表明两个声子在同一方向上。
—— 这种现象被称为双声子干涉(two-phonon interference) 。

双声子干涉
让声子进入量子纠缠是一个比用光子做要大得多的飞跃。 这里使用的声子,尽管是不可分割的,但仍然需要四百亿分之一的原子以量子力学的方式共同工作。而如果量子力学只在最小的世界里支配物理学,那么它就提出了关于这个世界在哪里结束、经典物理学在哪里开始的问题;这个实验使这一转变更进一步。
“这些原子必须连贯地在一起行动,以支持量子力学说它们应该做的事情,”Cleland说:“这有点惊人。量子力学的怪异之处不仅仅是尺寸问题。”

双声子干涉的频率和波包依赖性

量子计算机的优势在于量子领域的“怪异性”。通过利用叠加和纠缠相关的量子性质,研究人员希望解决以前难以解决的问题。 做到这一点的一个方法是使用光子——即所谓的“线性光学量子计算机”。

艺术家对线性机械量子计算(LMQC)平台的印象。中央透明元件是声子分束器。蓝色和红色弹珠代表单个声子,这是千万亿个原子的集体机械运动。这些机械运动可以可视化为从相反方向进入分束器的表面声波。分束器上的双声子干涉是LMQC的核心。从图像中出现的输出声子处于双声子状态,一个“蓝色”声子和一个“红色”声子组合在一起。
线性机械量子计算机(linear quantum mechanical computer)使用声子而不是光子,有可能运行新型的计算。“声子干涉实验的成功表明声子等同于光子的最新作品,”Cleland说:“这一结果证实了我们拥有建造线性机械量子计算机所需的技术。"
与基于光子的线性光量子计算不同,芝加哥大学的平台直接将声子与量子比特整合起来。 这意味着声子也可以成为混合量子计算机的一部分,将线性机械量子计算机的优点与基于量子比特的量子计算机的能力结合了起来。
下一步是利用声子创建一个逻辑门,Cleland和他的团队目前正在研究这个问题。
参考链接:
[1]https://www.newscientist.com/article/2377554-sound-based-quantum-computers-could-be-built-using-chip-sized-device/
[2]https://www.science.org/doi/10.1126/science.adg8715
[3]https://www.lankatimes.com/splitting-phonons-has-taken-a-step-toward-a-new-type-of-quantum-computer/
[4]https://mp.weixin.qq.com/s/PsEuQ7JSmSEP3m_FxyyV6g