
背景
做项目经理久了,别人就会给你安上一个标签。
比如:做事情都要有计划,没有计划就无从下手。
比如:有问题就找项目经理,你是解决问题小能手。
比如:这个多少钱那个多少钱,项目经理一想就知道。
最近大侠就遇到了这样一件事。一个见面次数一个手都能数出来的朋友突然发来了一个消息。他问:在吗?帮忙看个东西,这个产品大概需要多少开发成本和人天。

当时大侠的内心OS是:我跟你很熟吗?
不过大侠还是出于认识的情分上,认真的看了产品清单,给他报做了一个成本估算。
首先,大侠将产品的功能进行拆分,分成项目团队可以自己研发的自研模块、需要外部采用的采购模块和其他管理模块。然后根据自己的经验评估出自研模块的费用,再对市场的做了一些调研预估采购模块的费用,最后加上了一些管理费用和风险费用,评估出成本估算。
那么大侠这样评估的方法对吗?
成本估算的步骤
当项目经理/产品经理拿到一个需求想要评估一下费用的时候可以采用评估三步骤的方法进行。
step 1:识别并分析成本的构成分类
就像大侠一样,拿到一个项目后根据自己的经验认知将产品列表区分为自研、采购和其他。
所以在其他项目评估的时候也是一样的。需要根据项目的实际情况进行构成的分类。比如可以按照物质的资源进行分类比如:人、设备、材料等。
然后梳理需要的具体数量、资源类型进行拆分。

step 2:根据已经识别的项目成本构成分类,估算每一类型的成本大小
有了分类后根据不同的分类进行不同行业的成本估算。
比如自研项目一般会按照人工成本来估算,考虑完成这个项目所需要的人月、人天、工时等。
比如外采的服务,需要调研市场(一般可以找采购部帮忙)找到对应产品的供应商,并由她们分别提交产品报价,一般来说都会走询价的策略来确定最终的供应商。但是对于还没有走到采购部环节的外采,则需要自己了解市场行情进行自我判断了。
step 3:分析成本估算的结果,找出各种可能替代的成本,协调各成本之间的比例关系
这一步的根本目的就是找最优,通过找到最优的人员、最优的方案、最优的供应商来减少成本的投入。比如可以通过货比三家找到性价比最高的供应商,通过工期优化、资源优化来降低项目人员成本的估算。
注意:在成本估算过程中,应急储备和管理储备是不能被去掉的,她们是项目的最后一道防线。
怎么估算
项目的第一次估算相对来偏差比较大,随着需求越来越详细颗粒度越来越小,估算的准确性也就越来越高。
一般的,在项目立项时期的成本的估算的偏差值在-25%~+75%,随着信息越来越多成本估算可以缩小到-5%~+10%。
那么具体按照什么方式进行估算呢?这里我们简单说一下类比估算和三点估算。
类比估算
对于类比估算,书里面的定义是这样的:
成本类比估算是指以过去类似项目的参数值(如范围、成本、预算和持续时间等)或规模指标(如尺寸、重量和复杂性等)为基础,来估算项目的同类参数或指标。
用大白话说就是,参照以前做过类似的项目进行估算。比如之前做一个项目A成本是20万,又来了一个新项目,这个新项目的功能和项目A相差不大,那么新项目按照类比估算的成本就是20万左右。
三点估算
当过去的经验已无法作为参考时,或拿到的需求大多不确定,此时可以使用三点估算法来估算。
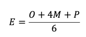
和工时评估一样,三点估算分为"最可能成本(M)"、"最乐观成本(O)“、”最悲观成本(P)",或者可以理解为"我觉得应该是这样"、"但总有万一或不幸"、"拼一点可以达成" 来进行成本的估算(E)。
三点估算中又包含了三角分布法和贝塔分布法。
三角分布:就是基于"最可能成本(M)"、"最乐观成本(O)“、”最悲观成本(P)"算出一个最可能的值。


三角分布进行成本估算相对来说概率密度不够平滑,也就是说概率的准确度不够高。如果出现最小值和最大值相差很大的话,成本的估算准确率又相应的降低了。所以经过很多专家研究,提出来了贝塔分布。
贝塔分布:通过确定的范围内形成概率曲线,然后通过面积代表概率,面积越大,概率越大,准确性也越大的方法来估算成本。蓝线最靠近正态分布,也就是最适合做估算的图形了。

