利息是指在借贷、投资或存款等财务交易中,根据约定或市场规定而产生的额外资金。它是对资金使用权的补偿或回报。利息的计算通常基于一定的利率和时间周期。
在借贷方面,利息是*款贷**人向借款人提供资金使用权的回报。借款人需要支付利息作为使用该资金的成本。利息的计算通常基于借款本金、利率和借款期限。
在投资方面,利息是投资者从投资产品或工具中获得的回报。例如,存款账户可以获得存款利息,债券可以获得债券利息。利息的计算通常基于投资金额、利率和投资期限。
利息在金融领域中起着重要的作用,它不仅是资金交易的一种补偿方式,也是激励人们进行储蓄和投资的一种手段。同时,利息也影响着经济活动和货币政策,对个人和企业的财务决策产生影响。
1、利息与积累函数
I、利息
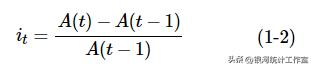
设年初以资本金 A(0) 投资, A(t) 为第 t 年末的资金累积额(本利和),这里 A(t) 称为 总额函数 。
第 t 期的利息 I t 为: I t = A(t)−A(t−1) , (1-1)
在利息的计算中,期初的资本金成为本金,利用本金的时间长度为投资期,相邻两次计息的时间间隔为计息期。计息期可以是年、季度、月或天。
【例1.1】某人投资本金 10,000 元,一年后增值为 10,100 元。试计算利息额。
解 :已知, A(0) = 10000 ,一年后即 t = 1 ,总额函数 A(1) = 10100 。
则,年利息 I 1 = A(1)−A(0) = 10100−10000 = 100 (元)。
II、利息率
利息率指单位本金在一定时期(单位时间)内所产生的利息,它是衡量资金生息水平的指标。用符号 i 表示利息率,第 t 个时期的利息率为:

【例1.2】某人投资本金 10,000 元,一年后增值为 10,100 元。试计算利息率。
解:

III、积累函数
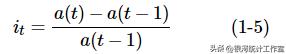
已知 A(t) 是资本金 A(0) 经过时间 t 后的价值,这里定义积累函数为:

a(t) 为单位资本金经过 t 时间后的积累额, t 时间的总积累额为:

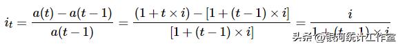
引入积累函数后,利息率又可表示为:

【例1.3】某人投资本金 10,000 元,一年后增值为 10,100 元,计算累积函数和利息率。

2、单利和复利
计算利息的方法有单利和复利两种,单利只在本金上计算利息,而复利则是采用“利滚利”计算利息。
I、单利
在单利条件下,设第 t 年利率为 i t ,则各年末累积额依次为,
第一年末累积额: A(1) = A(0)+A(0)×i 1 = A(0)(1+i 1 )
第二年末累积额: A(2) = A(0)(1+i 1 )+A(0)×i 2 = A(0)(1+i 1 +i 2 )
... ... ...
第t年末累积额: A(t) = A(0)(1+i 1+ i 2 +…+i t ) (1-6)
当各年利率相等时,即 i = i 1 = i 2 =…= i t 时,
累积额为: A(t) = A(0)(1+t×i) (1-7)
由公式(1-4)可知,单利条件下积累函数为: a(t) = (1+t×i) (1-8)
此时,由于每年得到的利息额不变,在本金逐年增大后,年实际利率递减。由利率计算公式,

可见, i t 随 t 增大而减小。
【例1.4】某人2005年3月1日存入银行13600元,年利率为5%,3年后取出,计算本利和(单利)。
解:A(3) = A(0)(1+3×5%) = 13600(1+3×0.05) = 15640(元)。
【单利实际利率递减表】

表中,利率为5%(0.05),本金为5000元,单利每年利息不变、为250元。 由于每年得到的利息额不变,在本金逐年增大后,年实际利率递减(经过21年,由0.05递减为0.025)。即, 在单利条件下,利率不变、资金收益能力递减 。
【EXCEL计算公式】
- 本利和公式:【B3=B$2*(1+D$2*A3)】
- 实际利率公式:【D3=D$2/(1+(A3-1)*D$2)】
复制、粘贴单元格B3和D3计算公式到单元格B23和D23。
【实际利率递减曲线图】

II、复利
在复利条件下,设第 t 年利率为 ,则各年末累积额依次为,
第一年末累积额: A(1) = A(0)+A(0)×i 1 = A(0)(1+i 1 )
第二年末累积额: A(2) = A(0)(1+i 1 )+A(0)(1+i 1 )×i 2 = A(0)(1+i 1 )(1+i 2 )
... ... ...
第 t 年末累积额: A(t) = A(0)(1+i 1 )(1+i 2 )×…×(1+i t ) (1-9)
当各年利率相等时,即 i = i 1 = i 2 =…= i t 时,
累积额为:

由公式(1-4)可知,复利条件下积累函数为:

此时,利息额增大,利息率不变,由利率计算公式,

【例1.5】某人2005年3月1日存入银行13600元,年利率为5%,3年后取出,计算本利和(复利)。

【复利实际利息递增表】

表中,利率为5%(0.05),本金为5000元,复利每年利息递增。 由于每年得到的利息额递增,年实际利率保持不变。即, 在复利条件下,利率不变、资金收益能力不变, 利息逐年递增 。
【EXCEL计算公式】
- 本利和公式:【B3=B$2*(1+D$2)^A3】
- 利息公式:【C3=B3-B2】
复制、粘贴单元格B3和C3计算公式到单元格B23和C23。
【利息递增曲线图】

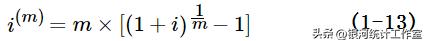
3、名义利率
利息可以按年结算,也可按半年、季或月结算。在单利情况下,计息单位不影响利息额;在复利条件下,即使年利率不变,但由于结算的时间单位不同,使实际利息值也不同。如本金为1元、年利率10%,按年结算到期利息为0.1元。但如果半年结算一次(一年结算两次),此时半年的实际利率为5%,年利息额为,

实际利率为10.25%。这样,由于复利计算期和年利率基本时间单位不一致,出现了利息率名不副实的现象。
I、名义利率
这里,我们把原来规定可以多次用来结算的利率称为名义利率,符号表示为

m 为为结算次数,每次结算的实际利率为

则有,

解得,

或,

【一年不同结算次数名义利率计算表】

注:利率为5%(0.05)、每年结算12次(每月结算1次),每次结算利率为0.048889/12 = 0.004070
【EXCEL计算公式】
- 名义利率计算公式:【B3=A3*((1+B$1)^(1/A3)-1)】
- 实际利率计算公式:【C3=B3/A3】
复制、粘贴单元格B3和C3计算公式到单元格B26和C26。
【名义利率递减曲线图】

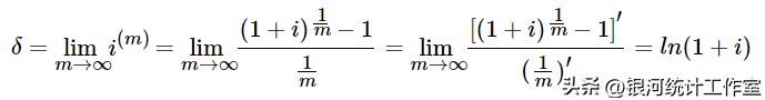
4.利息力
利息率表示资金在一定时间内的获利能力,如果一年支付 m 次利息, m → ∞ 时反映资金的瞬时获利能力。我们称这种瞬时获利能力为利息力,符号表示为 δ 。
由(1-13)得,

即,

或,

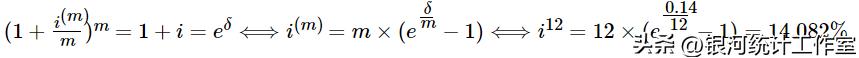
【例1.6】某人在1998年7月22日*款贷**4000元,如果利息力是14%,在复利下求以下问题:
- *款贷**额在2003年7月22日的价值;
- 年利率;
- 名义利率(每月支付一次)。
解:
- 2003年7月22日*款贷**额:

- 年利率:

- 名义利率(每月支付一次):

在日常生活中,一些理财产品都会宣称7日收益率、30日收益率等,其中收益率通常指的是年化收益率,也就是年化利率。
年化利率是将某段时间内的固有利率折算为全年的利率,即 实际的按日按月计算的利率化成按年计算的利率。比如某产品4个月的利率是4%,那么单利年化利率就是0.04÷4×12=12%。条件不变,复利年化利率为,

除了年化利率外,我们还有日利率、月利率、年利率等概念,需要注意的是年利率不同于年化利率,年利率是一个确定的利率值。年利率、月利率、日利率三者之间是可以进行转换的.
单利条件下,年利率 = 月利率×12 =日利率×360。
复利条件下(年利率为 i、 月利率为 j 、日利率为 k ),

例如,年利率为 i =0.05,
月利率为,

年名义利率为0.004074×12 = 0.048889 = 4.8889%