
大家好,我是小绘!
编辑论文、报告、标书等各种word文档时,如何快速完成文档的排版工作呢?学会这几个小技巧就可以轻松搞定!

一、快速分页?一键搞定。
将鼠标移至文本最末尾或者你想分页的文本中,并单击.再按下【ctrl】+【enter】键即可完成,轻松分页哦!


两栏设置方法:选中文本区域,点击布局——页面设置——栏——两栏即可

悬挂排版:选中文本,单击鼠标右键,选择“段落”,在打开的段落界面中,选择【缩进和间距】,之后将特殊设置为“悬挂”,缩进值设置为“4字符”,点击确定。



二、批量取消字之间的空格。
选中文本区域,按Ctrl+H打开查找和替换对话框,之后在查找中输入“ {1,}”(注意{1,}前面要加空格),在替换中不输入任何内容,勾选使用通配符,点击全部替换即可。



如何在每个字符中间添加一个空格;





三、插入公式编号和右对齐
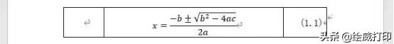
在论文排版中,公式绝对是最难处理的那一部分,不仅需要右对齐,还需要将公式置于整份文档的中间,其实可以在插入公式之前,新建一个「 1行3列」的表格,将它的位置固定。

中间的单元格用于输入公式,右端的单元格用于输入公式的序号,左端留白即可。接着在「 表格工具」-「 布局」中选择「 根据内容自动调整窗口」,然后继续设置对齐方式,就能得到类似这样的格式:

最后将表格的边框全部去除即可,这样公式永远都是居中并且序号是右对齐的。
怎么样,你学会了吗?
更多打印知识、职场小技巧记得
多跟小绘在留言区沟通哦~



Word表格如何求和?学会这个方法,工作效率升级
word如何给汉字、生僻字添加拼音?30秒立马搞定
Word如何自动生成目录?3步搞定,还能实时更新