写在前面:今天的晒单是我觉得买的最值的,不知道会不会引发大家去找小米兑现差价,亦或是引发大家拍砖。
一、背景
虽说双十一已成过去时,黑五才是新贵,但近几年自主品牌的逐渐崛起,对海淘逐渐失去兴趣,况且双十一刚剁掉的双手,黑五实在无手可剁。

双十一剁手秀2 小米净水器双十一价格、开箱和详细安装指南
这次要晒的是双十一买的小米厨下式净水器,自从小米出了厨下式净水器,就中了草,之前家里有个不知名的纳滤膜净水器,可以冲洗不用换滤芯,就如同这种(我那个号称纳滤膜):

双十一剁手秀2 小米净水器双十一价格、开箱和详细安装指南
安吉尔净水器家用直饮厨房自来水龙头商用大流量超滤机不锈钢管道998元
我家那个东东用了四年,也该换一换了,本来计划是明年米粉节换的,但是今年的双十一玩法多多,一波三折,马爸爸和雷伯伯联手终于圈掉了我的右手。
二、价格
事情是这样的,双十一之前我早就做好计划,抢到应该抢到的各种券,各种抽奖,各种红包,所有东西都在当天凌晨一点半以前搞定,也没想再买什么别的东西了,但当天是周末,没事还是在*淘宝刷**,刷来刷去就看到了小米净水器1999减200,又给张满减100的券,实际价格就到了1699,然后还有12期免息(我有个12期免息券,一会儿算算这个券值多少钱),这个价格已经让我心动了,一直很纠结要不要买。直到晚上十点多,双十一最后两小时,我在*淘宝刷**的手机上,直接了当的、突如其来的弹出一个满300减50的券,这个券没有任何征兆的就降临了,我想应该是我的虔诚打动了马爸爸的大数据后台,果断给我降下了福音。所以我也没有犹豫,果断献上了双手。
最终的价格是多少呢,1999-200-100-50=1649,外加12期免息(之前抢的12期免息券)⬇

双十一剁手秀2 小米净水器双十一价格、开箱和详细安装指南
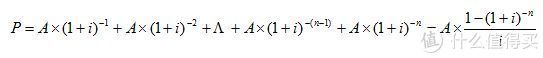
最近一直自学会计,所以用年金现值系数公式算一下这个12期免息券的价值是多少。
这里简单说明一下,免息的分期付款就好像你先付1期的钱,然后剩下11期的钱存银行吃点利息,再取出1期,剩下10期吃利息,最后其实总付款额要扣除你总共吃的利息才是实际价格。
公式是这个样子:

双十一剁手秀2 小米净水器双十一价格、开箱和详细安装指南
按照年化利率3.9%(余额宝最近的七天年化收益率),月化利率即为0.325%,12个月,每期付137.41,现值约为1,614.72元,所以这个12期免息券在这个商品上的价值大约是34元。
三、开箱
小米厨下式净水器的包装箱真是很大、很重,刚到货的时候我都很怀疑,为啥宣传图册上的大小只有a4纸那么大,包装箱却有辣么大,辣么重(13.6kg),如图⬇

双十一剁手秀2 小米净水器双十一价格、开箱和详细安装指南

双十一剁手秀2 小米净水器双十一价格、开箱和详细安装指南
开箱的感觉非常美好,给人物超所值的感觉,显然包装也是专门设计的,小米产品确实是匠心独运⬇

双十一剁手秀2 小米净水器双十一价格、开箱和详细安装指南

双十一剁手秀2 小米净水器双十一价格、开箱和详细安装指南

双十一剁手秀2 小米净水器双十一价格、开箱和详细安装指南

双十一剁手秀2 小米净水器双十一价格、开箱和详细安装指南
上图中前面的方盒是净水龙头,整体拉丝工艺,用料够足,也是非常精致⬇

双十一剁手秀2 小米净水器双十一价格、开箱和详细安装指南

双十一剁手秀2 小米净水器双十一价格、开箱和详细安装指南
还包括一个三通角阀和接净水管的塑料接头⬆
四、安装
我这个净水器安装不知道为什么不是免费的(也许是我没搞明白,总之预约的时候,软件提示说需要购买安装服务,估计我这个价格不含安装费),所以我就自己装了,而且我家厨房水槽柜比较复杂,还需要拆掉原来的净水器,调整小厨宝之类的。整个安装并不难,边摸索边装,我就喜欢鼓弄这些东西。
1.装入滤芯
拿开净水器盖板就漏出滤芯仓和开关面板⬇

双十一剁手秀2 小米净水器双十一价格、开箱和详细安装指南
深深的滤芯仓内部⬇

双十一剁手秀2 小米净水器双十一价格、开箱和详细安装指南
安装滤芯也很简单,根据号码依次装入,数字尾端朝说明贴纸方向放置⬇

双十一剁手秀2 小米净水器双十一价格、开箱和详细安装指南
再顺时针拧90度即可,三号滤芯因为比较大,需要多用点力,而且为了良好密封,拧的时候都是有些阻尼的⬇

双十一剁手秀2 小米净水器双十一价格、开箱和详细安装指南
2、清理橱柜,规划好水路
先放一张说明书上的示意图,示意图本事就有些复杂,实际安装起来还有一些细节需要考虑⬇

双十一剁手秀2 小米净水器双十一价格、开箱和详细安装指南
对于我的实际情况,需要先对橱柜杂物进行必要的清理,拆掉原来的净水器,把小厨宝放到合适位置,为净水器留出位置。另外还得考虑电、下水和上水的问题⬇

双十一剁手秀2 小米净水器双十一价格、开箱和详细安装指南
电的方面,净水器需要的是一个两相插座位,我这里预留的是一个五孔插座,正好一个三相小厨宝,一个净水器⬆(上图左上角)
下水方面,我现在这个下水器有五个通道,两个是水槽,一个是下水,另外是溢水口和沥水口⬆
上水方面,目前是已经分出两路,实际需要净水器进水、主水龙头冷水和主水龙头热水三路,正好净水器给配了一个三通可以派上用场⬆

双十一剁手秀2 小米净水器双十一价格、开箱和详细安装指南
需要用到的工具是一把活动扳手,一把老虎钳,后来发现两把活扳手应该更好,如果有棘轮扳手就更便捷了,另外必不可少的是生料带⬆
另外,小厨宝是史密斯的(09年购入,刚出保质期后内胆就漏了,后来按照史密斯的规定,补了一些钱换购了个新的),下水管是潜水艇的,透明的挺新颖⬇

双十一剁手秀2 小米净水器双十一价格、开箱和详细安装指南
A.O.Smith/史密斯EWH-6B2小型史密斯厨宝电热上出水热水宝828元天猫商城去购买

双十一剁手秀2 小米净水器双十一价格、开箱和详细安装指南
潜水艇洗菜盆下水管厨房防臭双槽排水管单水槽下水器池下水道配件80元天猫商城去购买
再来看看这三根管,都比较长,所以弯成一圈圈,三根摩擦扣的绑带也挺科学,三根管也很好辨识,白胖的是进水管,白瘦的是出水管,灰色的是废水管⬇

双十一剁手秀2 小米净水器双十一价格、开箱和详细安装指南
3.连接上水
先把净水器的三通阀接起来,把其中一路上水分成两路,一路接净水器进水管(白胖管),一路接主水龙头冷水管,如图⬇

双十一剁手秀2 小米净水器双十一价格、开箱和详细安装指南
三通阀上缠一些生料带⬇⬆

双十一剁手秀2 小米净水器双十一价格、开箱和详细安装指南
三通阀连接主水龙头冷水管的情况,左侧连接冷水管,右侧连接上水,前面是连接净水器进水管的通道⬇

双十一剁手秀2 小米净水器双十一价格、开箱和详细安装指南
三通阀上连接净水器进水管的螺母要先旋下来,然后把进水管从螺母的小口一侧穿入,再把进水管与三通阀用力对接,并旋紧螺母即可⬇

双十一剁手秀2 小米净水器双十一价格、开箱和详细安装指南
螺母⬆

双十一剁手秀2 小米净水器双十一价格、开箱和详细安装指南
将进水管从螺母小口一侧穿入⬆

双十一剁手秀2 小米净水器双十一价格、开箱和详细安装指南
从螺母大口侧穿出⬆

双十一剁手秀2 小米净水器双十一价格、开箱和详细安装指南
用力对接,并旋紧螺母即可⬆
4.连接净水器龙头
将净水器出水管和净水器龙头连接上,并把净水器龙头上的数据电源线和净水器对接。
需要先按顺序依次将四个小配件套入净水器出水管,四个小配件如下:

双十一剁手秀2 小米净水器双十一价格、开箱和详细安装指南
⬆左一是一个套筒圈,为数据线和水管提供保护空间,两侧圆孔可以考虑将数据线从中穿出。左二是固定净水器龙头的螺母,旋紧后即可从水槽下方固定住净水器龙头。右一是t型头,右二是圆台套管,都是净水器出水管的小插件,需要插入和套入出水管。

双十一剁手秀2 小米净水器双十一价格、开箱和详细安装指南
⬆龙头尾端还有一个螺母,需要先拧下来套入净水器出水管。
⬇出水管从龙头尾端螺母小口穿入,大口穿出。

双十一剁手秀2 小米净水器双十一价格、开箱和详细安装指南
⬇将四个小配件按顺序插入、套入出水管,注意观察套入、插入的方向。此时刚刚套入的螺母在左侧手握住的地方。

双十一剁手秀2 小米净水器双十一价格、开箱和详细安装指南
⬇将出水管从水槽下穿出来,对接到龙头上,并将数据线从水槽上穿下去(两张图有点穿越哈)。

双十一剁手秀2 小米净水器双十一价格、开箱和详细安装指南

双十一剁手秀2 小米净水器双十一价格、开箱和详细安装指南
后面是在橱柜里,依次旋紧龙头的把手螺母和龙头尾端对接出水管的小螺母了,由于过程过于隐蔽就请自行脑补了。
将水龙头的数据电源线和净水器连接,相信大家一定知道,这个水龙头是可以通过检测水质而发出不同颜色的光的,所以电和数据都要加持给水龙头的,嗯,水龙头仙人的仙根⬇

双十一剁手秀2 小米净水器双十一价格、开箱和详细安装指南
5、对接下水和收尾
下水的对接比较简单,潜水艇的这套下水器配了专用的净水器下水连接器,所以连接一下就可以了⬇

双十一剁手秀2 小米净水器双十一价格、开箱和详细安装指南
顺便说一句,潜水艇的下水器套装确实比较丰富,支持很多种连接方式(比如餐厨粉碎机),还有各种三通扩展,像我这个情况下水需要7个通道:两个水槽下水位、溢水口、沥水口、小厨宝溢水口、净水器废水口以及最终的下水管,都可以找到解决方式,确保不会漏水。
弄完这些以后,由于净水器配的水管都比较长,所以还需要缠一下,用原配的摩擦扣绑带绑好即可,另外还要插上电源⬇

双十一剁手秀2 小米净水器双十一价格、开箱和详细安装指南
最终安装的厨下效果,其中溢水口的水管让位给了净水器废水管,后来买了一个三通又扩展了两个通道,把小厨宝溢水口和水槽溢水口都接上了⬇

双十一剁手秀2 小米净水器双十一价格、开箱和详细安装指南
五、使用体验
安装完后,迫不及待的进行了使用,第一次使用需要放水十分钟,接了好多水,都冲了厕所,一直是红灯,后来变成了蓝灯,后来使用的时候都是一开就蓝灯,似乎没有出现有些朋友说的每次都要开一下才有蓝灯⬇

双十一剁手秀2 小米净水器双十一价格、开箱和详细安装指南

双十一剁手秀2 小米净水器双十一价格、开箱和详细安装指南

双十一剁手秀2 小米净水器双十一价格、开箱和详细安装指南
我家的水质大约是130-150之间,净化后的是11-14之间,还不错吧!

双十一剁手秀2 小米净水器双十一价格、开箱和详细安装指南
这个app还可以显示滤芯的寿命(提醒你啥时候给雷伯伯送钱),还有就是用水量之类的数据,看看就好,新鲜一阵子,实际效用也没啥。