卡方检验,是一种广泛应用于统计学和科研领域的非参数检验方法。它主要用于分析分类变量之间的关系,以评估观察频数与期望频数之间的差异是否具有统计学意义。卡方检验的基本原理是通过比较实际观察到的频数与基于某种假设(如变量间独立)所预期的频数之间的差异来得出结论。
一、卡方检验的原理
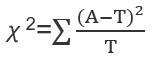
卡方检验的基本思想是通过比较观察频数(实际数据)与期望频数(基于某种假设情况下的预期数据)之间的差异来判断两个分类变量是否独立。卡方检验的计算公式如下:

其中,χ²表示卡方统计量,A表示观察频数,T表示期望频数,Σ表示对所有单元格求和。
二、卡方检验的应用场景
判断两个分类变量之间的关联性:例如,通过对某地区居民的性别和购买行为的调查,来分析性别与购买行为之间是否存在关联。
判断观察频数与理论频数之间的差异:例如,评估某公司的产品销售比例与理论预期比例之间是否存在显著差异。
拟合优度检验:评估数据是否符合预期的分布,例如评估*子骰**是否均匀、观察到的基因型频率是否符合Hardy-Weinberg平衡等。
三、如何解读卡方检验结果
计算卡方统计量:利用卡方检验公式,结合观察频数和期望频数计算卡方统计量。
确定自由度:自由度等于(行数 - 1) * (列数 - 1),其中行数和列数分别表示列联表的行数和列数。
选择显著性水平:显著性水平(α)通常为0.05,表示研究者接受的犯错概率。显著性水平越小,拒绝原假设的标准越严格。
计算卡方值和p值:根据自由度和显著性水平,查找对应的卡方临界值。也可以使用软件计算,
例如医学统计助手(statsas.com)。


判断结果:如果卡方统计量大于卡方临界值(p<0.05),则拒绝原假设,表明观察频数与期望频数之间存在显著差异,即两个分类变量之间具有关联性。若卡方统计量小于或等于卡方临界值(p≥0.05),则不能拒绝原假设,认为观察频数与期望频数之间没有显著差异,两个分类变量之间可能是独立的。
四、注意事项
1、适用范围:卡方检验适用于分类变量间的关系分析。对于连续变量,需要进行离散化处理后才能进行卡方检验。但在离散化过程中,可能会引入一定的信息损失。
2、样本量要求:卡方检验对样本量有一定要求。总样本量通常应不小于40,且每个单元格的期望频数不小于5。当样本量较小或期望频数过低时,卡方检验的结果可能不准确,此时可以考虑使用费希尔确切概率检验等其他方法。
3、原假设与备选假设:在进行卡方检验时,需要明确原假设(分类变量间无关联)和备选假设(分类变量间存在关联)。卡方检验的结果能帮助我们判断原假设是否成立。
4、显著性水平与自由度:在卡方检验中,需要设定一个显著性水平(如0.05或0.01),并根据列联表的行数和列数计算自由度。显著性水平和自由度将影响卡方检验的结果。
5、无法判断因果关系:卡方检验仅能分析分类变量间的关联性,而无法确定因果关系。要确立因果关系,需要进行更严谨的实验设计和分析。
6、效应量计算:卡方检验只能告诉我们分类变量间是否存在关联,但不能直接衡量关联程度。为了评估关联程度,可以计算效应量,如Cramér's V或Phi系数。这些效应量指标的取值范围为0到1,值越大表示关联程度越高。
7、结果解释:卡方检验结果需要结合具体背景进行解释。在分析过程中,我们应避免对卡方检验结果的盲目解读,而要综合其他统计方法和实际情况,对结果进行合理解释。