在分析之前,先来看看借呗的还款方式:
1、等额本金:每个月偿还额=本金/期数+未还本金×日利率×还款日期之间的天数,这是最早的还款方式。
2、等额偿还:每期还款金额相同,这个计算有点复杂了,谁会算教教我。也是目前的两种还款方式之一。
3、先息后本:按月付息,到期一次性还本,是目前的两种还款方式之一。
在开始计算前,先假设,我们从借呗借了12000元,日利率为0.0004,借款周期12期

鲸算师计算的不同还款方式的利率:
1、等额本金的利率是:15.617631%
如果我们拆东墙补西墙,在年初借了 12000元 ,年末要归还 1874.115717元 利息,如果资金充裕按照借呗还款方式偿还需要偿还利息 945.2元 利息,因此利率是 15.617631%。
2、等额偿还的利率是:15.617631%
如果我们拆东墙补西墙,在年初借了 12000元 ,年末要归还 1874.11699元 利息,如果资金充裕按照借呗还款方式偿还需要偿还利息 965.918元 利息,因此利率是 15.617631%。
3、先息后本的利率是:15.617631%
如果我们拆东墙补西墙,在年初借了 12000元 ,年末要归还 1874.115717元 利息,如果资金充裕按照借呗还款方式偿还需要偿还利息 1752元 利息,因此利率是 15.617631%。
计算完之后发现个有趣的现象:三种不同还款方式有效年利率相同
是巧合吗?而且3种不同还款方式有两个相同点:
1、日利率相等
2、还款周期相同,都是一个月!
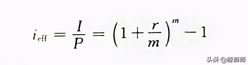
其实用一个公式就可以直接算出: i=(1+14.60%/12)^12-1=15.6177%

资本家的猫腻
资本家在计算利息时还有一种贴现法还有一种加息法!详情看下图(一级建造师教材《建设工程经济》P147),有兴趣自己研究。

普通人的认知误区:利息低,不一定利率就低!
利息=本金×利率×周期
看到了吧,影响利息的有3个因素,本金、利率、周期。
更多内容欢迎关注鲸算师
