在网上翻到一个非常有意思的问题:

这个问题乍看起来无厘头,但实际上是个非常深刻的问题,涉及到抽象代数(abstract algebra)的一些基本概念,因此我打算写篇文章来详细阐述一下。
人类的数学从数数开始,最早诞生的概念是自然数(natrual number)。后来随着数学应用范围的扩大,又产生了新类型的数。
初中时我们对数的体系做了详细地介绍

到了高中我们又学了集合的概念,从集合的角度来研究数。为了叙述的方面,我们把由不同类型的数组成的集合用一个字母来表示,我们学过的有如下几个:
- 自然数集:N
- 整数集:Z
- 有理数集:Q
- 实数集:R
- 复数集:C
相信很多小伙伴在这里也会碰到同这位网友一样的疑问:无理数(irrational number)也是很重要的数的类型,为什么它们的集合没有字母表示呢?是书上忘了讲,还是说数学家懒得起名字?
其实,无理数集没有用字母表示是有其中的道理的,要弄清楚这个道理,就得先弄清楚三个基本概念:集合(set),二元运算(binary operation),和封闭(closed)。
基本概念
- 集合
集合这个概念我们已经很清楚了,指的就是 具有某些特定性质的元素做成的集体 。当然关于集合的精确定义还有很多需要讨论,但是理解到这个层次也就足够了。
- 二元运算
二元运算我们其实也已经很熟悉了,但是之前没有给它做出过精确的定义。用不太正式的语言来叙述, 一个二元运算就是一种把两个数变成一个数的对应法则。 比如加法就是一个二元运算,因为他把1和1变成2,把2和3变成5等等。同样道理,四则运算加减乘除都是二元运算。
不过我们一般把减法运算看作是加法运算的逆运算,把除法运算看作是乘法运算的逆运算,因此最基本的二元运算只有两种。

于是有人就会问了,既然有二元运算,那有没有一元运算呢?当然是有的,所谓的一元运算,无非就是把一个数变成另一个数呗,我们常见的,比如对数运算,开方运算,都是一元运算。但其实,所谓的一元运算,就相当于我们学过的函数。
同样道理还会有三元运算,四元运算,n元运算等等,我们不再做过多讨论。

- 封闭
“封闭”其实是理解本文最核心的一个概念。
封闭是建立在集合与二元运算的概念的基础之上的。
对于某个数集和某种运算, 如果从该数集里面任意挑两个数,做二元运算所得到的结果仍然是这个集合中的数 ,就说该数集对于这个二元运算是封闭的。
比如举个最简单的例子, 自然数集对加法就是封闭的 ,因为任意两个自然数相加的结果,还是一个自然数。 而自然数集对减法运算不封闭 ,比如我随便就可以举出两个数来2和3,他俩都是自然数,但是2-3=-1,它就不是自然数了。

封闭
要回答本文提出的问题,就得从封闭这个概念来着手。
我们先来分析一下已知的集合对四则运算的封闭性。
- 自然数集N,对于加法运算和乘法运算都是封闭的,但是对于减法运算和除法运算不封闭。
- 整数集Z,对于加法运算,减法运算,乘法运算都是封闭的,但是对于除法运算不封闭。
- 有理数集Q,对于四则运算都是封闭的。
- 实数集R,对于四则运算都是封闭的。
- 复数集C,对于四则运算都是封闭的。
这里我想特别强调一下有理数集,有理数集对加减乘除4则运算都封闭,不是一件很明显的事情,我们需要有严格的证明。
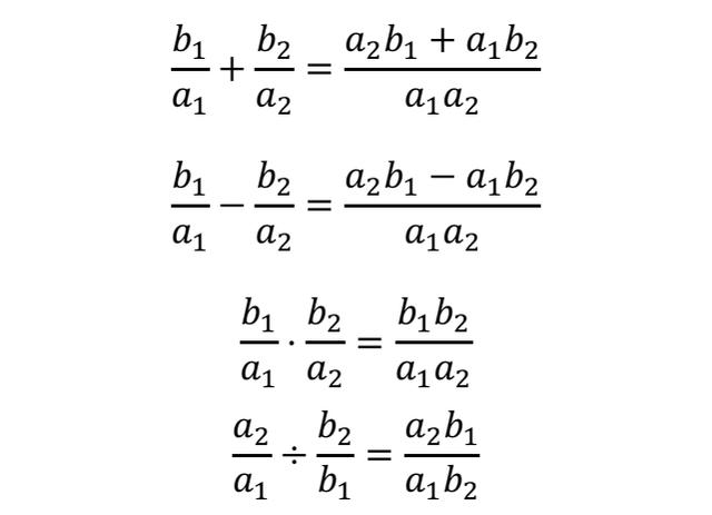
所谓有理数就是可以写成两个整数之比的数,所以我们假设有两个有理数b1/a1,b2/a2,其中a1、b1、a2、b2都是整数,考察一下它们做四则运算的结果:

可以看出,四个运算结果依然都还是有理数,这就证明了有理数集对四则运算都是封闭的。
这里我想说的是,数学家们已经证明了: 有理数集是对加减乘除四则运算都封闭的最小的数集 。意思就是说任何比有理数还要小的集合,哪怕只比有理数集少一个数,就不再对加减乘除四则运算封闭了。

在抽象代数学中,我们把对加减乘除四则运算都封闭的集合称为一个数域(number field),可以看出,实数集和复数集都是数域。而我们上面提到的结论就是: 有理数集是最小的数域 。换句话说, 任何数域都包含有理数集作为它的子集。
无理数集
分析完这些,我们就可以来看看无理数集了。我们会发现,无理数及对四则运算都不封闭。我们很容易就能举出例子来:
- 对加法:√2和-√2都是无理数,但是加在一起等于0,0不是无理数。
- 对减法:√2和-√2的例子可以看成是√2-√2,结果也是0。
- 对乘法:√2×√2,结果是2,2不是无理数。
- 对除法:√2÷√2,结果是1,1不是无理数。

原来无理数集是个如此糟糕的集合!这就是我们不给它用字母表示的原因。
在现代代数学中,数学家们主要关注的就是集合及集合中元素的运算结构,产生了群(group),环(ring),域(field)等一系列概念。
一个集合上某个运算是封闭的,那么研究它才有意义,会有很多很美好的性质。但是如果运算不封闭,那么研究起来就会杂乱无章,并没有太大意义。

对于前面五个集合,都存在至少一种运算使其封闭,我们就利用这种封闭性来得出不少新的性质,解决了很多数学问题,甚至构造出更多更复杂的结合。数学家们经常使用这五个集合,为了叙述上的方便,就拿五个字母来代替他们。
但是对于无理数集合, 因为它对四则运算都不封闭 ,因此无法得到像前面五个集合那样丰富的性质,使用起来也就不如它们频繁,所以我们就没有必要拿一个单独的字母来命名它。
结束语
讲到这里就不得不稍微提一下近世代数(modern algebra)的发展。
近世代数中最主要的概念——群,思想起源于19世纪法国数学天才伽罗瓦(Galois,1811~1832)。伽罗瓦利用群论的方法,彻底解决了五次及以上方程根式解的问题,是数学发展史上开天辟地的事情。我这位旷世数学天才却因为意外而英年早逝,年仅21岁,是人类数学史上的一大憾事。

不过,我们现在在教科书上学到的代数学之所以长这个样子,则主要归功于20世纪德国女数学家,被誉为“现代代数之母”的艾米·诺特(Emmy Noether,1882~1935)。诺特是数学史上毫无争议的最伟大的女数学家,他和他的学生所形成的“诺特学派”,彻底改变了代数学的全貌。
