为进一步落实分级诊疗制度,不断提升县医院医疗服务能力,“十四五”时期,国家卫生健康委继续组织开展县医院医疗服务能力第三方评估。5月15日,委网站通报2021—2022年度县医院医疗服务能力评估情况。

划重点
县医院医疗服务能力进一步提升:人才梯队持续优化、专科设置逐步完善、诊疗能力进一步增强、医院运营模式开始向精细化转变、功能定位进一步落实、设施设备持续完善。
存在的主要问题:县医院能力提升进展不均衡、专科建设与目标要求还有差距、人才队伍与医院发展建设还有差距、设备配置与临床需要还有差距。
下一步工作要求:多措并举推动县医院综合能力提升,充分发挥县医院的县域龙头和城乡桥梁纽带作用,持续完善相关配套政策。
全文如下
国家卫生健康委办公厅关于通报2021—2022年度县医院医疗服务能力评估情况的函
各省、自治区、直辖市及*疆新**生产建设兵团卫生健康委:
为进一步落实分级诊疗制度,不断提升县医院医疗服务能力,“十四五”时期,我委继续组织开展县医院医疗服务能力第三方评估。现将2021—2022年度有关评估情况通报如下:
一、全国县医院医疗服务能力建设基本情况
参照我委2016年印发的县医院医疗服务能力基本标准和推荐标准评价县医院能力建设情况(其中,基本标准相当于二级医院能力,推荐标准相当于三级医院能力)。根据符合基本标准和推荐标准的比例,将县医院医疗服务能力划分为优秀(标准符合率≥90%)、良好(80%≤标准符合率<90%)、合格(60%≤标准符合率<80%)、不合格(标准符合率<60%)4类。
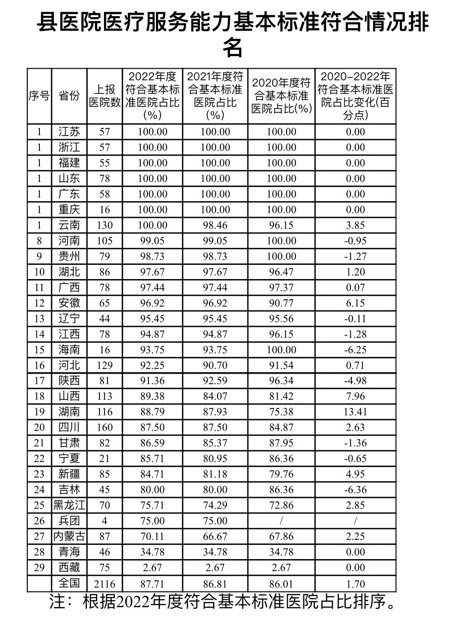
参评的2116家县医院,2021年度达到基本标准合格及以上的有1837家(占比86.81%),达到推荐标准合格及以上的有889家(占比42.01%),较2020年度分别增加17家和127家;2022年度达到基本标准合格及以上的有1856家(占比87.71%),达到推荐标准合格及以上的有964家(占比45.56%),较2021年度分别增加19家和75家(见图1、图2)。

图1 全国县医院符合医疗服务能力基本标准的占比情况 图1 全国县医院符合医疗服务能力基本标准的占比情况

图2 全国县医院符合医疗服务能力推荐标准的占比情况
二、县医院医疗服务能力进一步提升
(一)人才梯队持续优化。
全国县医院在职职工人数、卫生技术人员数、执业(助理)医师数、注册护士数及临床药师数均稳中有增(见表1)。中部地区平均每家医院执业(助理)医师数增量最多,西部地区临床药师数增幅最大。县医院执业(助理)医师硕士及以上学历人员、高级职称人员较2020年度增长率均超过15%,护士中具有大专及以上学历者较2020年度增长10.19%,专业技术人员学历和职称结构持续优化。

表1平均每家县医院人力资源配置情况
(二)专科设置逐步完善。
2022年度,超过95.32%的县医院能够掌握儿科、眼科、耳鼻咽喉科、口腔科、中医科等一级科室,以及呼吸内科、内分泌科、神经内科、肾内科、消化内科、心血管内科、骨科、泌尿外科、普通外科、神经外科、胸外科、妇科、产科等二级科室常见病、多发病的规范化诊疗。重症医学科、康复医学科平均设置率提高到80%以上。平均设置率持续偏低的精神科提高20.23个百分点。感染性疾病科、精神科、眼科、耳鼻咽喉科、病理科等基本标准符合率较低的医院数量逐步减少。达到急诊科基本标准要求的医院占比从2020年度的96.74%提高到98.02%。
(三)诊疗能力进一步增强。
一是收治病种数量及难度不断提高。2022年度,县医院收治病种种类亚目平均数为1489种,较2020年度增加133种。东、中、西部县医院收治病种种类亚目平均数分别为1634种、1482种、1417种,区域均衡性增强。超过97.49%的医院能够实施心脏骤停、心源性休克、急性心功能不全、高血压危象等急危重症的急诊规范处置;超过95.79%的医院能够实施心衰、肾衰和呼衰的诊断与急救。骨髓增生异常综合征的规范化诊疗、精神障碍的规范化诊疗、各种疑难疾病及特定专科疾病的诊断原掌握比例较低的技术在更多医院开展,2022年度开展医院占比较2020年度增长超过5个百分点。手术及操作种类亚目平均数为488种,较2020年度增加134种;县医院能够开展的微创手术数量平均为1156例,微创手术占总手术比例为22.17%,较2020年度提升2.87个百分点(见图3)。

图3 全国县医院收治病种种类亚目平均数与手术及操作种类亚目平均数
二是医疗质量与安全保障保持平稳。近3年县医院在入出院诊断符合率、手术前后诊断符合率、病理诊断与临床诊断符合率、住院患者感染人次占比方面趋于平稳,I类切口手术部位感染率稳定在较低水平(见表2)。

表2县医院医疗质量与安全情况
三是服务数量和效率持续提升。2022年度,县医院平均诊疗人次和平均出院人数分别为39.63万和2.13万,较2020年度略有增加;手术与操作例数13783人次,较2020年度增长17.50%。县医院病床使用率稳定在80%,东、中、西部分别为78.36%、81.54%、81.55%。平均住院天数为7.58天(见图4)。

图4 全国县医院诊疗情况
(四)医院运营模式开始向精细化转变。
一是信息化建设水平不断提高。2022年度,已开展电子病历应用功能水平分级评价的县医院占比为93.24%,较2020年度增长8.46个百分点。县医院电子病历应用功能水平平均达3.21级;87.28%的医院达到电子病历三级及以上水平,较2020年度增加9.38个百分点(见图5)。

图5 全国县医院开展电子病历应用功能水平分级情况
二是收入结构逐步优化。2022年度全国县医院年平均收入约为3.06亿元,79.51%的收入来自医疗收入。其中,医疗服务收入占医疗收入的比重为31.30%,较2020年提升0.78个百分点。药品收入占医疗收入比重呈下降趋势(见图6)。36个监测单病种中,24个病种平均住院费用较2020年下降,其中,共同性斜视、短暂性脑缺血发作等15个病种平均费用降幅超过10%。

图6 全国县医院收入结构情况
(五)功能定位进一步落实。
2022年度,1928家(占比91.12%)县医院牵头组建县域医共体,双向转诊人次数达到724.06万,较2020年度增长8.62%,其中上转人次数为413.87万,下转人次数为310.19万,较2020年度分别降低14.56%、增长70.25%,积极发挥县域龙头和城乡纽带作用。
(六)设施设备持续完善。
2022年度,县医院平均编制床位和实际开放床位分别为517张和577张,呈持续增长趋势。县医院万元以上设备总值平均约15182万元,较2020年度增长23.34%;平均拥有万元以上设备数约为850台,较2020年度增加131台。符合全国县医院基本标准要求的专科设备配置率由2020年度的58.70%提高到65.15%(见图7)。

图7 县医院房屋及建筑面积、业务用房、万元以上设备总值和设备数情况
三、存在的主要问题
(一)县医院能力提升进展不均衡。
东、中、西部地区基本标准符合率分别为89.86%、82.74%、75.26%,西部地区增幅低于全国0.46个百分点。西部地区符合基本标准的县医院占比从79.23%提高到了80.19%,但是仍低于全国7.52个百分点,且提升速度慢于全国水平。位于后10%的县医院基本标准符合率平均只有39.86%,较前10%的医院仍差58.98个百分点,且在推荐标准上差距更大。
(二)专科建设与目标要求还有差距。
一级科室中,精神科、耳鼻咽喉科、眼科等设置率仍不足80%,感染性疾病科、重症医学科、康复医学科、皮肤科、病理科等设置率不足90%。精神科、病理科、眼科、耳鼻咽喉科、外科服务能力符合基本标准的医院占比不足80%,仍有10个一级科室的33项诊疗项目及技术符合基本标准的医院占比不足60%。二级科室中,血液内科、血管外科、烧伤科等设置率不足60%。血液内科、胸外科、泌尿外科服务能力符合基本标准的医院占比不足80%,仅产科、妇科、呼吸内科服务能力符合推荐标准的医院占比达到60%。
(三)人才队伍与医院发展建设还有差距。
平均每家县医院硕士及以上学历人员仅16人,东、中、西部地区分别为40人、11人、5人;高级职称人数为60人,东、中、西部地区分别为99人、61人、40人,区域间差距明显。
(四)设备配置与临床需要还有差距。
对照基本标准,全国县医院涉及血液内科、烧伤科、胸外科等12个专科的21项设备配置率仍不足30%。东、中、西部地区设备配置率不均衡现象明显,且配置率及其增幅均呈递减趋势;后10%医院的万元以上设备总价值仅为前10%医院的14.91%。
四、下一步工作要求
(一)多措并举推动县医院综合能力提升。
各地要落实好县医院综合能力提升的各项工作要求,做好“组团式”帮扶、三级医院对口帮扶、“万名医师支援农村卫生工程”、“千县工程”等工作,并按要求发挥好中央对地方卫生健康转移支付县域医疗卫生机构能力建设项目支持作用,提升县医院综合服务能力,满足县域居民基本医疗卫生需要。一是针对发病率高、外转率高的疾病,县医院要加快开展相关设置率较低的科室或专业组,开展相关诊疗项目及技术,逐步推广适宜技术。提高肿瘤、心脑血管、呼吸、消化和感染性疾病等诊疗能力。二是要加大对重点领域、紧缺专业、关键岗位的专业技术人才的引进力度,积极开展人才培养培训,形成稳定、合理的专业人才梯队。三是推动信息技术与医疗服务融合,提升信息化管理水平。
(二)充分发挥县医院的县域龙头和城乡桥梁纽带作用。
一是要补齐县医院管理能力短板,推动县域医疗资源整合共享,有效落实县医院在县域医疗服务体系中的龙头作用。依托县医院推动县域医学检验、医学影像、心电诊断、病理、消毒供应等医疗资源共享,推进县域医共体内的医疗质控、人力资源、运营管理、医保管理、信息数据等高质量管理。
二是要巩固与城市三级医院远程医疗服务关系,畅通城乡双向转诊通道,落实县医院在城乡医疗服务体系中的桥梁纽带作用,促进优质医疗资源扩容下沉,缩小城乡医疗服务水平的差距,满足县域居民基本医疗卫生需求。
(三)持续完善相关配套政策。
各地要强化主体责任,加大对县医院综合能力提升工作的支持,积极协调完善相关配套政策。配合推进医保支付方式改革,推动完善医疗服务价格动态调整机制。完善县医院人才政策,突出县域统筹,落实县医院在人员招聘等方面自主权,优化薪酬结构,建立体现岗位职责和技术价值的薪酬体系,充分调动医务人员积极性。
附件:
- 县医院医疗服务能力基本标准符合情况排名

2.县医院医疗服务能力推荐标准符合情况排名

3.县医院各科室服务能力符合情况

4.县医院各科室设置情况

5.县医院电子病历系统应用水平分级评价情况
