打开设置 通用 关于本机 13系统之前为【型号】13系统之后为【型号号码】 结尾【/A】之前的字母是:
【CH为国行】
【ZP为港行/新加坡】
【LL为美版】
【X为澳大利亚】
【F为法版】
【TA为新加坡版】
【B为英版】
【E为墨西哥】
【LE为阿根廷】
【LZ为智利】
【DN为德版】
【J为日版】
【KH为韩版】
【VN为越南版】
【BZ为巴西版】
【ZQ为牙买加版】
【HN为印度版】
【LT为立陶宛版】
【AA为南非版】
【AB为阿联酉】【AE为阿拉伯版】
【PP为菲律宾版】
【RS为俄罗斯版】
【GR为希腊版】
【C为加拿大版】
【IP为意大利版】
【Y为西班牙版】
【HB为以色列版】
【MY为马来西亚版】
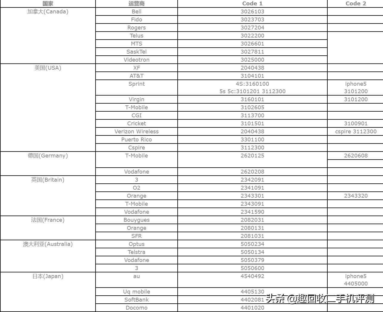
运营商数字利用方法:如果你iPhone的运营商没有包含在黑卡菜单内,你可以通过选择“手动输入imsi”实现自定*解义**锁运营商。弹出输入运营商编码的窗口,输入下表的7个数字后 点“发送”提示重启即完成设定,重启后黑卡就可执行解锁。如果未在下表找到你的运营商,请点击http://ultra.chinasnow.net/opcode这个链接进行查询更多的运营商编码(如果查询结果不足7位请在后面补0凑足)

