计算π的方法有很多,前两天看到一个有意思的方法: 蒙特卡洛方法 (Monte Carlo method)。其实这种方法由来已久,它的思想是根据某项问题建立一个概率事件,通过随机采样来对实际值进行估算。
它的一个简单示例就是 估算PI值 。如下图:构造一个正方形和一个1/4圆,在整个区域内随机投入点,根据投入点到原点的距离判断是落在圆内还是在圆外。落在圆内的概率其实就是1/4圆与正方形面积比:π/4。

博途仿真结果

样本数量n为100000
程序实现

新建FC块,添加变量
#n1 := 0; // 程序变量初始化
FOR #i := 0 TO #n DO
// 利用LGF库内的随机实数程序,生成在0.0-1.0范围内的实数并赋值
#x := "LGF_RandomRange_Real"(minValue := 0.0, maxValue := 1.0, error => "Tag_17", status => "Tag_18", subfunctionStatus => "Tag_12");
#y := "LGF_RandomRange_Real"(minValue := 0.0, maxValue := 1.0, error => "Tag_19", status => "Tag_13", subfunctionStatus => "Tag_20");
// 样本如果处于圆内,则计数加1
IF (#x*#x + #y*#y)<1.0 THEN
#n1 += 1;
END_IF;
END_FOR;
#Pi := 4.0*DINT_TO_LREAL(#n1)/DINT_TO_LREAL(#n); //π=4*n1/n
投入点坐标x、y由伪随机实数生成程序 "LGF_RandomRange_Real" 生成。官方提供了包含该程序的 LGF库(Library of General Functions) 。百度网盘:https://pan.baidu.com/s/1rqweR87IHYpPkIRzi_MTaQ 提取码:1210
仿真曲线:
使用博途仿真的结果其实并不稳定,以下分别坐标x、y和π的曲线:

坐标x、y的取值

π的估值
可以看到,x、y的值有时趋势完全一样,π的估值则明显有 周期性 ,大概一分钟。了解博途随机数生成原理的应该知道,它是通过读取时间里的纳秒经过换算得到的。
这其实也验证了:PLC乃至计算机不会产生绝对随机的随机数,只能产生“ 伪随机数 ”,这里的“伪”是有规律的意思。
还有一点,同样的程序,在不同的电脑上π的仿真结果并不一致(公司:π在3.22附近;家里:在3.04附近)。搜索了一下相关问题,有这么句话" 仿真是基于操作系统的,它的循环时间与实际PLC硬件运行时并不一样。 " 难道是因为电脑配置的不同?受循环周期的影响?
使用Python:
同样的程序转到Python上运行一下,误差稳定且小了很多。猜测可能随机数的选取或者程序运行流程更加合理吧。
有兴趣的可以*载下**个软件试试,这里使用的是PyCharm,纯计算,没啥复杂度,我也属于现学现用。
from random import random
from math import sqrt
n = 100000 # 样本总量
n1 = 0 # 落入圆内数量
for i in range(1, n):
x = random();
y = random();
if sqrt(x**2 + y**2) <= 1.0:
n1 = n1 + 1
pi = 4.0 * (n1/n)
print('Pi的值为 %s' % pi)

样本量同样是100000
总结与后续:
以上的蒙特卡洛方法算是一种 统计模拟方法 ,在求解微分方程,多重积分,特征值等方面应用也很多。它将确定性问题转化成了随机性问题,采样越多,越近似最优解,但永远不是最优解,某种程度上丧失了精确性。
以下是一些关于π的公式(使用PY的计算结果就不贴出来了):
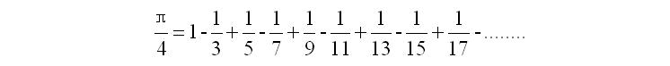
莱布尼茨公式:


arctan(1) = π/4,带入1即可
sum=0
i = 0
for i in range(0, 1000000):
if i % 2 == 0:
sum += 1/(2*i+1)
else:
sum -= 1/(2*i+1)
pi=4*sum
print('Pi的值为 %s' % pi)
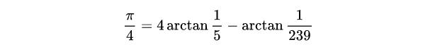
Machin_梅钦(马青)公式:

import math
pi=16*math.atan(1/5)-4*math.atan(1/239)
print('Pi的值为 %s' % pi)
直接使用现成的反三角函数
sum=0
i = 0
b = 1
for i in range(0, 5):
sum += 16*(1/5)**(2*i+1)/(2*i+1)*b-4*(1/239)**(2*i+1)/(2*i+1)*b
b=-b
pi=sum
print('Pi的值为 %s' % pi)
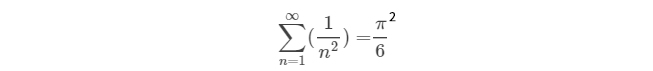
欧拉:

sum=0
i = 0
for i in range(1, 1000000):
sum += 1/(i*i)
pi=(6*sum)**0.5
print('Pi的值为 %s' % pi)
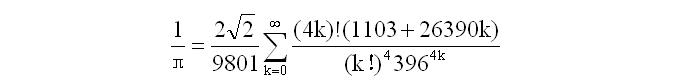
拉玛努金:

k=0时,π≈9801/1103/2/2**0.5=3.1415927300133055;
k=1时,π≈9801/2/2**0.5/(1103+24*(1103+26390)/396!)=3.1415926524195665;
这个我们欣赏一下就行了。
改进型:

k=0时,π≈10005**0.5*426880/13591409=3.141592653589734;
............
高斯-勒让德-迭代算法

迭代的过程对于计算机来说简直太适合了。
import math
a=1
b=1/(2**0.5)
t=0.25
p=1
i=0
for i in range(0, 3):
a1 = (a+b)/2
b1 = (a*b)**0.5
t1 = t-p*((a-(a+b)/2)**2)
p1 = 2*p
pi = ((a1+b1)**2)/(4*t1)
a = a1
b = b1
t = t1
p = p1
i=i+1
print(f'迭代{i}次的π值为:{pi}')
迭代1次的值为:3.1405792505221686
迭代2次的值为:3.141592646213543
迭代3次的值为:3.141592653589794
神奇的π:
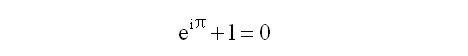
欧拉恒等式:

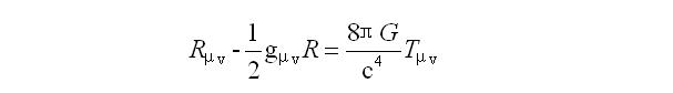
爱因斯坦场方程:

黑洞温度(霍金):

人生苦短,当有所钟!