负数的产生源自于生活,比如我们做包子来卖,今天买材料花了 30 元,最终只卖了 15 元。那我们就是亏了 15 元,为了方便生活,人们就考虑了用相反意义的数来表示。从而在数学中引入了正负数这个概念。

生活中负数应用很广泛
不过直到 16、17 世纪,欧洲还在为负数的合理性争论不休,很多大数学家都认为负数并不存在,比如在概率论有过卓越贡献的帕斯卡,就认为负数完全是瞎扯,0 怎么可能减去 4 ,完全是脑子有毛病。

帕斯卡的朋友阿润德甚至提出了一个有趣的说法来反对负数,他说(-1):1=1:(-1),那么较小的数与较大的数的比怎么能等于较大的数与较小的数的比呢?甚至就连莱布尼兹也承认这种说法合理。
当然了,尽管人们一直逃避负数的存在,在解方程的时候,负数还是会不经意间跳出来。比如卡尔丹提出了著名的缺项三次方程求根公式。
缺项三次方程就是缺少 2 次项的方程,我们现在也叫一元三次方程,所以卡尔丹公式也就是关于一次三次方程的解法公式。当时卡尔丹只给出了一个解。但其实有三个解。
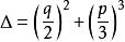
而在另外两个解中,两个两次根号下面却可能得到一个负值。因为它的三个解如下:

它得出的判别式是:

判别式的给定范围不同,得出的结果也就不同。其中当:

时,就会得到一个实根,而另外两个利用长除法得到的解则需要对负数开根号。然而在那个时候,对负数开根号对数学家来说是不可能的,所以他们就认为当它大于 0 的时候,其实就只有一个解。
直到 1572 年,意大利工程师邦贝利首次尝试去解释卡尔丹公式里面出现的负数开根号的问题,他在自己出版的《代数学》中,他列举了一个方程:x^3-15x+4=0
将它带入卡尔丹公式之中,就会得到:

邦贝利巧妙地利用待定系数的办法,把上面等式化解成:

最终,卡尔丹公式给出了不可约情况下的正确解:x=4。对负数开根号,居然可以加入运算,并且最还可以得到一个正确结果,这对当时的数学家起到了巨大的启发作用。
到了 16 世纪下半叶,著名赌鬼数学家卡尔达诺在其著作《大术》中提出了最早的虚数符号: 1545R15-15m ,但他认为这仅仅是个形式表示而已,并没有任何意义。他还尝试把把负数的平方根写到公式中。

有史以来第一位把自己算死的数学家
卡尔达诺在书中还探讨是否可能把10分成两部分,使它们的乘积等于40时,他把答案写成

尽管他仍然认为这两个表示式是没有意义的、想象的、虚无飘渺的。
而到了笛卡尔手里,在其《几何学》中第一次给出“虚数”的名称,并和“实数”相对应。因为当时的观念认为这是真实不存在的数字,所以笛卡尔对提出这个名称。
不过,虽然笛卡尔提出虚数这一概念,一些数学家也开始接受虚数,但对于数学界来说还是新事物,加上当时没有成熟知识系统,因此也引起了数学界的一片困惑,很多大数学家都不承认虚数。

再加上的确没有什么地方可以使用到虚数,而且也没有什么实际用处,所以在很长时间,虚数都处于一个非常尴尬的位置。
莱布尼茨就曾说到:虚数是神灵遁迹的精微而奇异的隐蔽所,它大概是存在和虚妄两界中的两栖物。
直到 1747 年,法国数学家达朗贝尔指出,如果按照多项式的四则运算规则对虚数进行运算,那么它的结果总是a+bi的形式(a、b都是实数),首次提出了复数的概念。
一向擅长创造符号的欧拉,他在《微分公式》一文中第一次用 i 来表示-1的平方根。

欧拉首创了用符号 i 作为虚数的单位。总算让虚数在数学界有了一席之地,并且在号称“上帝公式”的欧拉公式中运用了虚数符号。

挪威的测量学家韦塞尔在 1797 年就试图给于这种虚数以直观的几何解释,他发现虚数可对应平面上的纵轴,与对应平面上横轴的实数同样真实。所以韦塞尔向丹麦科学院递交论文《方向的解析表示,特别应用于平面与球面多边形的测定》,他首先提出把复数用坐标平面上的点来表示,使全体复数与平面上的点建立了一一对应关系,形成了复平面概念。
但当时没有受到人们的重视,在当时的数学界并没有掀起波澜,不过在几十年后,得到了数学王子高斯的认可,并且将其大力推广。

他在1799年、1815年、1816年对代数基本定理作出的三个证明中,都假定了复数和直角坐标平面上的点一一对应,不过一向谨慎的他直到1831年他才对复平面作出详细的说明。
他说:“迄至目前为止,人们对于虚数的考虑,依然在很大的程度上把虚数归结为一个有毛病的概念,以致给虚数蒙上一层朦胧而神奇色彩。我认为只要不把+1、-1、i 叫做正一、负一和虚一,而称之曰向前一,反向一和侧向一,那么这层朦胧而神奇的色彩即可消失。”

虚数在复平面的位置
在这期间,德国数学家阿甘得在 1806 年公布了复数的图象表示法,即所有实数能用一条数轴表示,同样,复数也能用一个平面上的点来表示。在直角坐标系中,横轴上取对应实数a的点A,纵轴上取对应实数b的点B,并过这两点引平行于坐标轴的直线,它们的交点C就表示复数 。象这样,由各点都对应复数的平面叫做“复平面”,后来又称“阿甘得平面”。
简而言之,复平面就是指虚数轴和实数轴构成的平面称复数平面,复平面上每一点对应着一个复数。在阿甘得和高斯的努力下,复平面渐渐被数学家所接受。

复数平面
1932 年,高斯系统地完善了复数理论,他第一次提出了“复数”这个名词,还将表示平面上同一点的两种不同方法——直角坐标法和极坐标法加以综合。统一于表示同一复数的代数式和三角式两种形式中,并把数轴上的点与实数一一对应,扩展为平面上的点与复数一一对应。高斯不仅把复数看作平面上的点,而且还看作是一种向量,并利用复数与向量之间一一对应的关系,阐述了复数的几何加法与乘法。

复数理论的建立,让在数学领域游荡了200年的幽灵——虚数揭去了神秘的面纱,显现出它的本来面目。复数理论的建立解决了很多的问题。
比如最简单 x^2+1=0 在此之前无法得出解,而在复数理论提出之后,人们提出了复根的概念去解决这类问题,复根就是复数根,复数是由实部和虚部构成的,实部是实数,虚部是纯虚数。就是达朗贝尔提出的a+bi的形式。,后来,我们用符号C来表示复数集,用符号R来表示实数集。
虚数以及由其建立的复数理论在后来被数学家广泛运用,复平面的完善,“一切数”都能在复平面中找到。

而且基于对虚数的研究,在十八世纪时,一门新的数学分支“复变函数”发展了起来它是研究以复数作为自变量和因变量的函数,复变函数在学以及工程技术科学等方面有着重要的作用。
而后来数学家通过对欧拉公式的研究,通过“虚i和π的积”做为“自然底数e”的指数,它将三角函数的定义域扩大到复数,建立了三角函数和指数函数的关系,在复变函数论里占有非常重要的地位。
在 20 世纪的作用虚数以及由其建立的复数理论发挥到了最大,在 20 世纪以来,发挥了巨大的作用,影响了量子力学与相对论,薛定谔方程的表达式就引入了虚数。

量子力学的核心方程就是薛定谔方程,它就好比是牛顿第二定律在经典力学中的位置。正是基于薛定谔方程的建立,之后才有了关于量子力学的诠释,波函数坍缩,量子纠缠,多重世界等等的激烈讨论。
为了定量地描述微观粒子的状态,量子力学中引入了“波函数”作为“薛定谔方程的解”,这个神奇的波函数用“复数”的形式能清晰地描述微观粒子的状态,著名的“波动力学”诞生。

除此之外,作为公式化数学和量子力学的关键性概念之一的希尔伯特空间也用到了复数理论。希尔伯特空间成为泛函分析中最重要的和最常用的一类空间,它在许多其他数学分支、理论物理和现代工程技术理论中,也得到了广泛的应用。

希尔伯特
而弦理论的雏形是在1968年由Gabriele Veneziano基于欧拉公式发现的,这公式能够成功的描述他所要求解的强作用力。进一步将这公式理解为一小段类似橡皮筋那样可扭曲抖动的有弹性的“线段”是在不久后由苏士侃所发现,这在日后则发展出“弦理论”。弦论是现在最有希望将自然界的基本粒子和四种相互作用力统一起来的理论。弦理论的提出欧拉公式中的虚数 i 发挥了重要的作用。

可以说,这个数学领域游荡了200年的幽灵慢慢进化,成为在数学王国不可或缺的神灵,并且在各个领域如物理学、电子信息工程等领域发挥着重要的作用。