
刚刚,广东2022年专科批次补录通知、全部计划公布。
征集志愿网上填报时间为8月6日15:00至7日15:00,投档录取时间为8月8日-9日
网址为:
https://pg.eeagd.edu.cn/ks
还未被录取的上线考生,务必抓紧最后的机会!
补录分数线
(一)省外院校。 按《关于公布广东省2022年普通高校招生录取最低分数线的通知》(粤招〔2022〕5号)执行。
(二)省内院校
普通类(历史):总分140分。
普通类(物理):总分140分。
体育类:文化科总分220分,体育术科180分。
美术类:文化科总分140分,美术术科150分。
音乐类(含音乐学、音乐表演-声乐、音乐表演-器乐):文化科总分140分,音乐术科150分。
舞蹈类:文化科总分140分,舞蹈术科150分。
广播电视编导类:文化科总分220分,广播电视编导术科180分。
播音与主持类(校际联考):文化科总分220分,播音与主持(校际联考)术科190分。
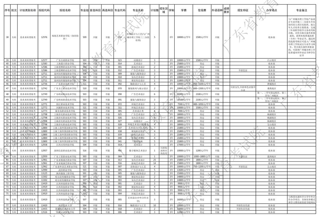
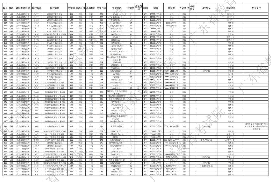
艺术类统考补录计划
美术类




音乐类

舞蹈类

广播电视编导类

播音与主持类

艺术类校考

专科批补录热点问题
◆没过线能参加补录吗?
答:不能。
◆已经被专科录取了,不想去,可以补录吗?
答:不可以。
◆之前填了志愿没录到可以补录吗?需要重新填志愿么?
答:可以。需要。
◆之前没填志愿的同学可以参加补录吗?
答:可以的。
◆艺术生和体育生可以补录普通类专业吗?
答:可以,只看文化分,和普通类同学一起竞争。要注意的是,普通类专业和艺术/体育类专业不能混报,只能选一类。
◆艺术生和体育生补报普通类专业,是不是文化分达不到补录线就不行?
答:是的。
◆ 补录进去的,和非补录进去的同学,学费一样吗?
答:录取进同所大学同个专业的,不论是不是通过补录的,完全一样。
志愿填报注意事项
先查询录取结果再填补录志愿
填报补录志愿前,先查询一下自己是否已被录取,因为 被高校录取的考生是不能参加补录的,此前本科批补录时也有同学反馈,如不符合条件,连填报系统都进不了。
与此同时,同学们要 思考此前滑档、被退档的原因,以免在填报征集志愿时犯同样的错误。如因身体条件不符合所报专业要求被退档,在补录时就不要重蹈覆辙了,认真查看所报专业的录取要求。
不能仅参考高效正常录取阶段录取分
有一些考生参加补录时,往往会以高校正常投档录取时的录取分数为参考来填报。但由于正常投档录取和补录阶段的考生成绩差异是很大的,刻舟求剑式参考是有风险的。
艺小通建议大家 除了要参考高校正常录取阶段的录取分以外,更要分析高校往年的录取数据,如果该高校往年也有参加补录,那就看看补录和正投之间的分差情况如何,如果该高校往年没有参加补录,那艺小通建议大家算一下补录专业往年的录取分差,自己的成绩超过分差才有更多机会被录取。
此外, 不能一味寄望于补录一定降分。有些高校在补录时,录取分不降反升。缺额少,竞争的人多了,高分考生扎堆报考也会导致分数上涨,另外平行志愿下根据排位优先的原则,那些分数高的考生也会优先投档。分数不占优势的考生,尽量避开热门高校和专业,难免会被“挤出来”。

降到140分!广东专科补录计划全部公布!3点开始填报,填报攻略来了!