未来几何学:学习数学,最重要的第一步,是掌握每一类知识的基本公式、定义、定理和性质,及其所蕴含的数学思想方法,然后我们才可能更深入的去学习这个知识。
一、平方根、算数平方根和立方根

打开百度APP看高清图片
注意:正数立方根为正,且仅有一个;负数立方根为负,且仅有一个;零的立方根是零。
二、实数的概念及分类
1、实数的分类

2、无理数:无限不循环小数叫做无理数 。常见无理数有三类:
(1)开方开不尽的数,如,等;
(2)圆周率π,或化简后含有π的数,如π/2 +7等;
(3)有特定结构的数,如0.1010010001等;
三、算术平方根有关计算(二次根式)
1、一般地,形如(a≥0)的式子叫做 二次根式 ,a叫做 被开方数 ;
2、运算结果若含有“”形式,必须满足:(1)被开方数的因数是整数,因式是整式;(2)被开方数中不含能开得尽方的因数或因式
四、实数大小的比较
1、实数比较大小:正数大于零,负数小于零,正数大于一切负数;数轴上的两个点所表示的数,右边的总比左边的大;两个负数,绝对值大的反而小。
2、实数大小比较的几种常用方法
(1) 数轴比较: 在数轴上表示的两个数,右边的数总比左边的数大。
(2) 求差比较: 设a、b是实数, a-b≥0 则a≥b
a-b≦0 则a≦b
(3) 求商比较法: 设a、b是两正实数,a÷b≥1 则a≥b a÷b≤1 则a≤b
(4) 绝对值比较法: 设a、b是两负实数,则|a|≥|b| 则a≤b
(5) 平方法: 设a、b是两负实数,。a ≥b,则a≤b
五、本章重要数学思想
5.1、数形结合思想
数形结合思想就是通过数和形之间的对应关系和相互转化来解决问题的思想方法。使抽象思维和形象思维结合起来,通过“以形助数”,和“以数辅形”,使复杂问题简单化,抽象问题具体化.

5.2、函数思想(或函数与方程的思想)
函数思想是指用函数的概念和性质去分析问题、转化问题和解决问题的思维策略。

5.3、特殊与一般思想
由特殊到一般,再由一般到特殊的反复认识的过程是人们认识世界的基本过程之一。数学研究也不例外,这种由特殊到一般,再由一般到特殊研究数学问题的基本认识过程就是特殊与一般的思想。
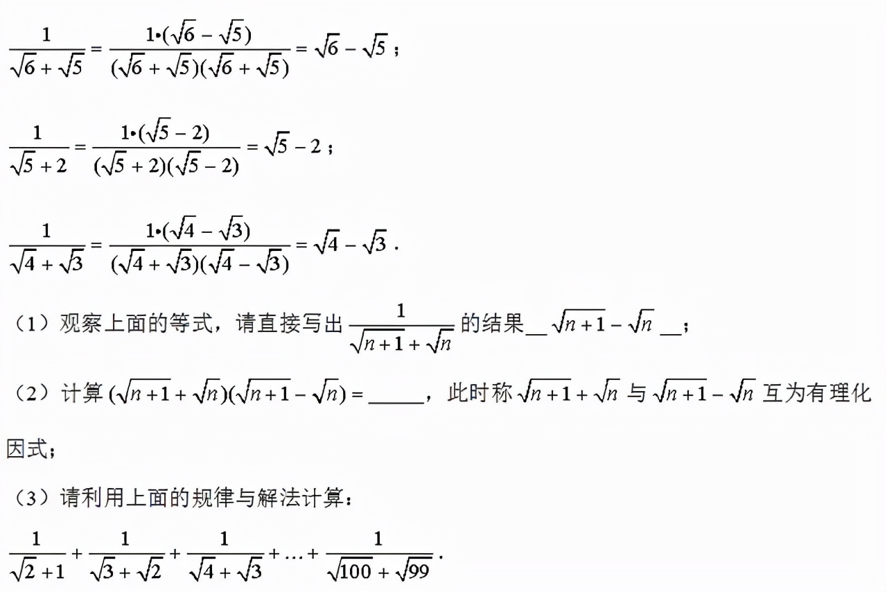
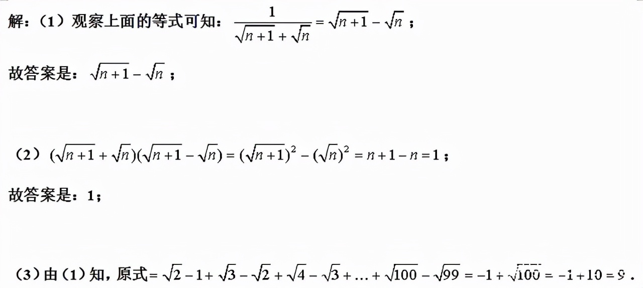
例3、 阅读下面材料,并解答后面的问题:



初中数学课本 北师大八年级上册