很多朋友都知道,房贷的月供有两种计算方式,但是就是不知道怎么计算,作为一个专业的地产人士,这个知识怎么能不掌握呢?
今天我就和大家分享一下,怎么计算月供,如何自己制作月供系数表,从而方便计算月供。
1
等额本息
等额本息就是每月还款本息相同,即每个月还银行的月供都是一样的意思,把银行的本息平均分摊到每个月的还款日还款。
大家都说房贷便宜,但是其实银行也要赚钱也挺奸商的,因为他们借钱给我们,用的竟然是复利模式而且是按月复利!(腹黑一句,为什么群众存款利息低得可怜,还不搞复利呢?),好在银行让你还的月供也是给你复利计息的,让人稍稍安慰,所以这种模式和民间借贷放高利贷所说的利滚利、驴打滚的还款不计息还是有所区别的。
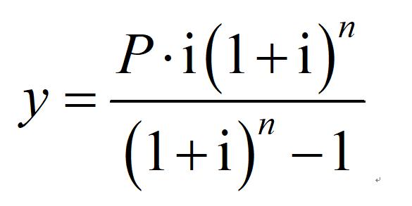
言归正传,我们先说等额本息的月供计算公式,就是下面这个

其中
y:表示月供,是月字的首个拼音字母;
P:表示本金,假如你*款贷**100万,30年,P就是1 000 000;
i:表示月息,假如你商业*款贷**基准(4.9%)上浮10%,i=4.9×(1+10%)÷12=0.449167;
n:表示月供的期数,假如你*款贷**30年,一年12个月,月供期数就是360。
下面说下这个公式是怎么推导出来的,这当中要用到一个公式,等比数列求和公式(我附到后面再说)。
我们假设S表示本金利息和(即本息),P表示本金,y代表按揭者每月要偿还的等额月供,
那么根据复利公式,银行要获得的本息为
S=P×(1+i)n
按揭者每月要偿还的等额月供也要计息,每个月产生的月供及月供的复利利息
第1个月y×(1+i)n-1
第2个月y×(1+i)n-2
第3个月y×(1+i)n-3
第4个月y×(1+i)n-4
…
第n个月y×(1+i)0=y
这些月供、利息和也要等于银行的本息S
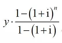
S= y×(1+i)n-1 + y×(1+i)n-2 + y×(1+i)n-3 +…+ y×(1+i)2 + y×(1+i)+ y
=

PS.这里用了等比数列求和公式

同时又有银行本息 S= P×(1+i)n
因此,就容易得到(月供计算中最难计算的)等额本息的月供计算公式:

2
等额本金
等额本金的意思是每月还款的本金相同,月供的组成分为两部分,每月所还的本金相同,再加上未还本金使用一个月的利息。
月供为y(每月递减),每月所还本金为p=P÷n,其中P为本金,n为月供期数。
第1个月,本金p,需偿还利息P×i,其中i为月利率,月供为p+P×i;
第2个月,本金p,需偿还利息(P-p)×i,月供为p+(P-p)×i;
第3个月,本金p,需偿还利息(P-2p)×i,月供为p+(P-2p)×i;
……
第n个月,本金p,需偿还利息[P-(n-1)p]×i=p×i,月供为p+p×i;
所以,等额本金的规律是每个月的差额就是p×i,第一个月的月供最高,第一个月的月供为p+P×i(其中p=P÷n,P为*款贷**本金总额,n为*款贷**月供期数,i为*款贷**月利率),以后的月供逐月等额递减,递减额为p×i。
3
月供系数表的制作
因为等额本金的计算比较简单,首月月供=p+P×i,月供递减p×i。因此月供系数表只要做出1万元*款贷**的等额本息即可,余者可以类推,比如*款贷**100万,就是100乘上1万元*款贷**的系数。
只要将1万元套上基准利率、上浮比例、*款贷**年限到我们的等额本息计算公式就可以很容易算出,这里我们就不一一计算了,感兴趣的朋友可以自己用手机计算器算算看。
以下就是我制作的等额本息*款贷**系数表,大家可以直接使用。

例1:
假如某客户从建设银行等额本息*款贷**100万,*款贷**年限30年,利率上浮10%。对应上述表格中的系数就是56.09,这就意味着从建行*款贷**1万块是56.09元的月供,*款贷**100万就是5609的月供。
如果我们套用公式

那么,P=1000000,i=4.9%×1.1÷12,n=30×12=360,
经计算,最终月供 y=5609.07元。所以说,上述这个房贷月供等额本息计算系数表是相当精确的。
例2:
假如某客户从建设银行等额本金*款贷**100万,*款贷**年限30年,利率上浮10%。
他的月供就是:
首月的月供=1000000÷360+1000000×4.9%×1.1÷12=7269.44元
以后月供是等额递减的,差值=1000000÷360×4.9%×1.1÷12=12.48元
即
第1个月的月供:7269.44;
第2个月的月供:7256.96;
第3个月的月供:7244.48;
……
余此类推,依次递减 12.48 元。
4
等额本金和等额本息的优劣
等额本金和等额本息各有千秋,前者利息少,但前期还款压力较大;后者每月还款额固定,但是利息较多,优点是每月还款压力较小。
5
要不要提前还款
其实很简单考虑下经济效益,比较房贷、投资两者的收益率高就行了!
来源:房地产