
知识在于一点一滴的积累,数学这门课程说简单也简单,说难也难,关键在于你是否认真学习了,基础掌握的是否扎实,更在于定期的回顾。今天我在这里总结了第一章节《数与式》的知识点,有遗漏的可以私信留言,我们一起讨论啊,现在咱们一起看看基本功掌握的如何。

一、实数
1、定义:有理数和无理数统称为实数
2、分类
1)有理数:整数与分数
2)无理数:常见类型开方开不尽的数、与有关的数、无限不循环小数
3、实数运算
1)法则:加、减、乘、除、乘方、开方
2)运算规律:交换律、结合律、分配率
4、相关概念
1)数轴(比较大小)
- 概念:在数学中,可以用一条 直线上的点表示数,这条直线 叫做数轴
- 作用:比较实数大小,以0为中心,右边的数比左边的数大
2)相反数
- 概念:指数值相反的两个数,其中一个数是另一个数的相反数。定义为和是0的两个数互为相反数。
3)倒数(负倒数)
- 倒数:是指分子和分母相倒并且两数乘积为1的数
- 负倒数:乘积为-1的不为0的两个实数互为负倒数
4)科学计数法
- 概念:科学记数法是一种记数的方法。把一个数表示成a与10的n次幂相乘的形式(1≤a<10,n为整数),这种记数法叫做科学记数法
5)有效数字
- 概念:是指在分析工作中实际能够测量到的数字,或者也指一个数中从第一个非零数字直到末尾数字的为止的数字。能够测量到的是包括最后一位估计的,不确定的数字
6)平方根与算数平方根
- 平方根又叫二次方根,表示为(±√a),其中属于非负数的平方根称之为算术平方根
- 算数平方根:若一个非负数x的平方等于a,即x²=a,则这个数x叫做a的算术平方根
7)立方根
- 概念:如果一个数的立方等于a,那么这个数叫a的立方根,也称为三次方根。也就是说,如果x³=a,那么x叫做a的立方根
8)非负式子

二、整式
1、分类
1)单项式:系数与次数
2)多项式:次数与项数
2、加减法则
加减法
去括号(添括号)
合并同类项
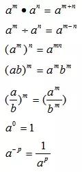
3、幂的运算

4、乘法运算

5、混合运算
先乘方开方,在乘除,最后算加减;统计运算自左至右顺序计算;括号优先
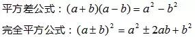
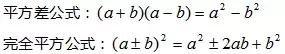
6、乘法公式

三、分式
1)定义:分母中含可变字母
2)分式有意义的条件:分母不为零
3)分式值为零的条件:分子为零,分母不为零
4)分式的性质

5)分式的运算:

四、二次根式
1)定义:式子√a(a≥0)叫二次根式,二次根式的意义即被开方数大于等于0
2)性质:
- 任何一个正数的平方根有两个,它们互为相反数
- 零的平方根是零
- 负数的平方根也有两个,它们是共轭的
3)运算
- 加减法:先将二次根式化为最简二次根式,再将被开方数相同的进行合并
- 乘除法:二次根式相乘除,把被开方数相乘除,根指数不变,再把结果化为最简二次根式
- 混合运算:二次根式混合运算与实数运算相同的运算顺序相同,先乘方,在乘除,后加减,有括号的先算括号里面的
- 开平方运算:求一个非负数的平方根的运算,叫做开平方。开平方与平方互为逆运算
五、分解因式
1)定义:与整式乘法过程相反,分解要彻底
2)方法:
提取公因式法:注意系数与相同字母,要提彻底
公式法:

十字相乘法:

分组分解法:对称分组与不对称分组

好了,知识点就整理到这里了,知识点太多不方便记忆,我根据自己的理解整理了几个小窍门,你们可以借鉴一下下。有什么不对的地方一定要留言哦~~~

1、有理数的加法运算
同号两数来相加,绝对值加不变号。
异号相加大减小,大数决定和符号。
互为相反数求和,结果是零须记好
【注】“大”减“小”是指绝对值的大小。
2、有理数的减法运算
减正等于加负,减负等于加正
3、有理数的乘法运算符号法则
同号得正异号负,一项为零积是零
4、合并同类项,
说起合并同类项,法则千万不能忘。
只求系数代数和,字母指数留原样。
5、去(添)括号
首平方又末平方,二倍首末在中央。
和的平方加再加,先减后加差平方
好了,今天的文章就分享到这里了,希望对同学们有所帮助。