2023年辽宁省普通高校招生考试成绩统计表公布
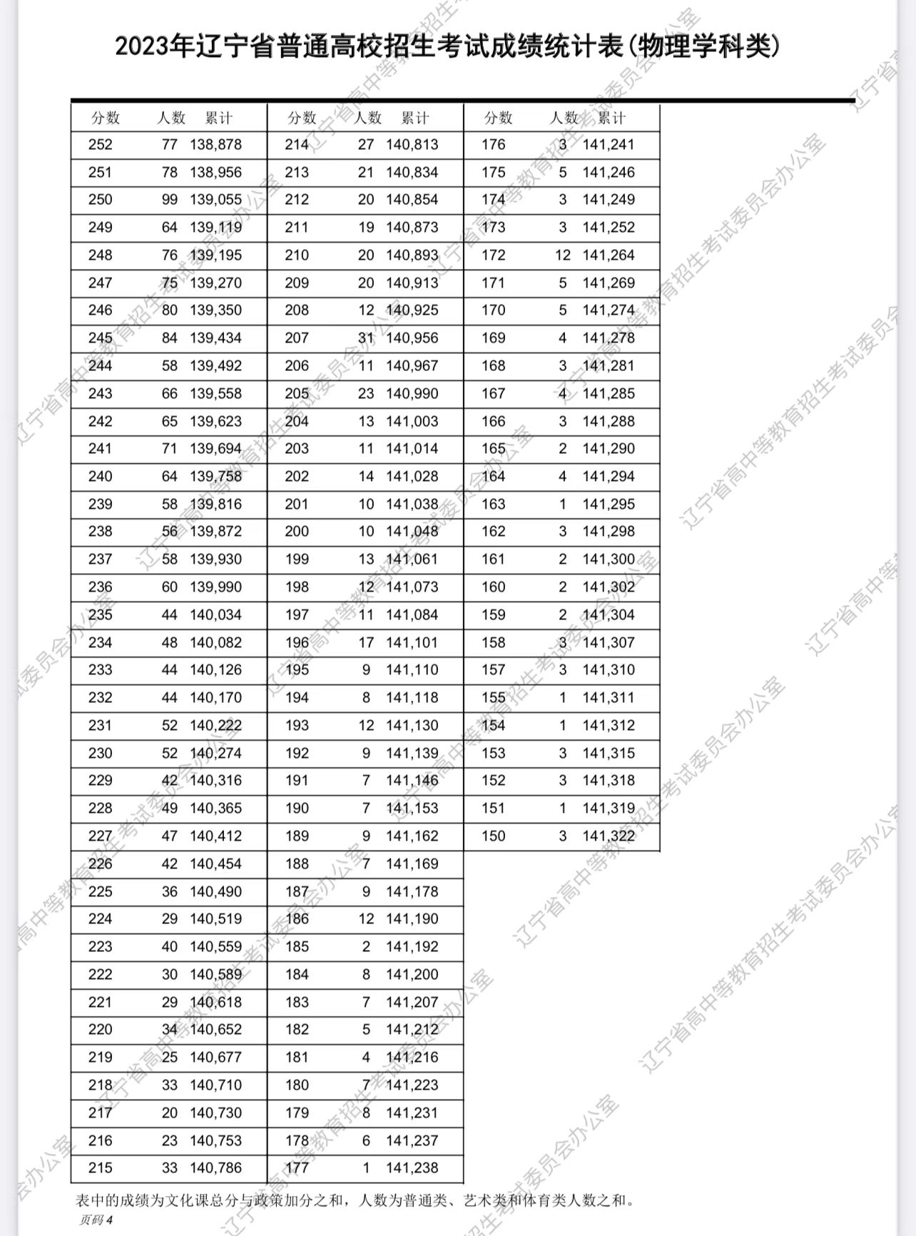
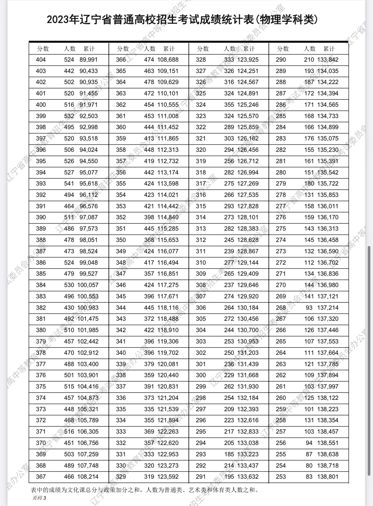
2023年辽宁省普通高校招生考试成绩统计表(物理学科类)

2023年辽宁省普通高校招生考试成绩统计表(历史学科类)

2023年辽宁省普通高校招生考试成绩统计表(体育﹒物理学科类)

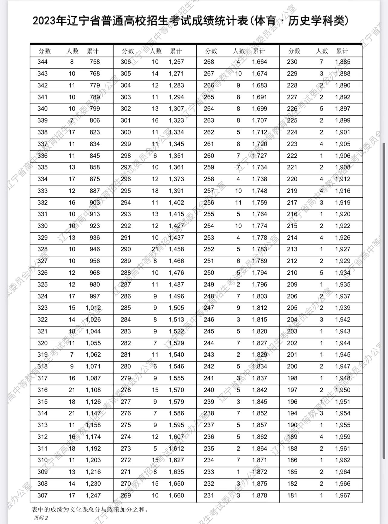
2023年辽宁省普通高校招生考试成绩统计表(体育﹒历史学科类)

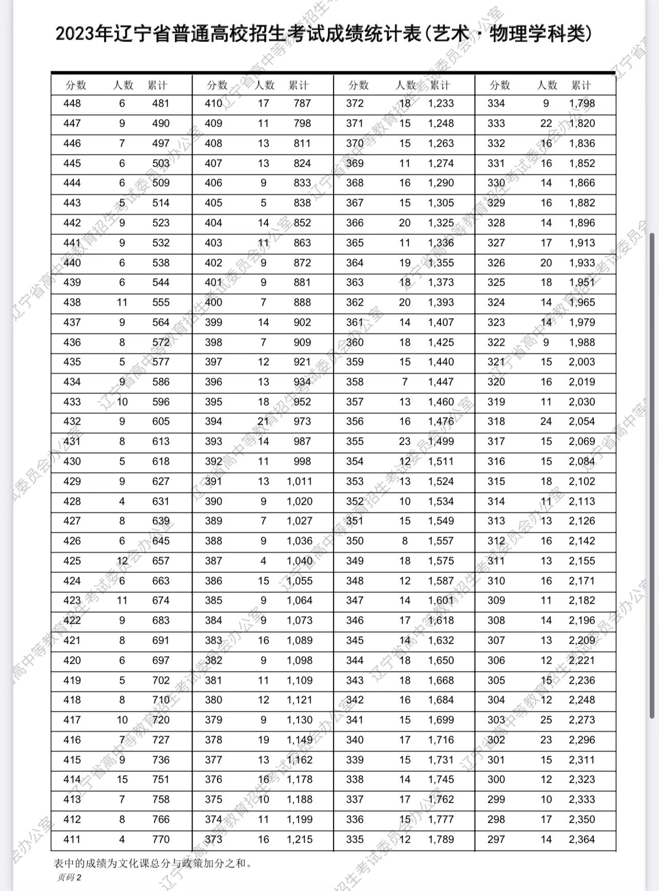
2023年辽宁省普通高校招生考试成绩统计表(艺术﹒物理学科类)

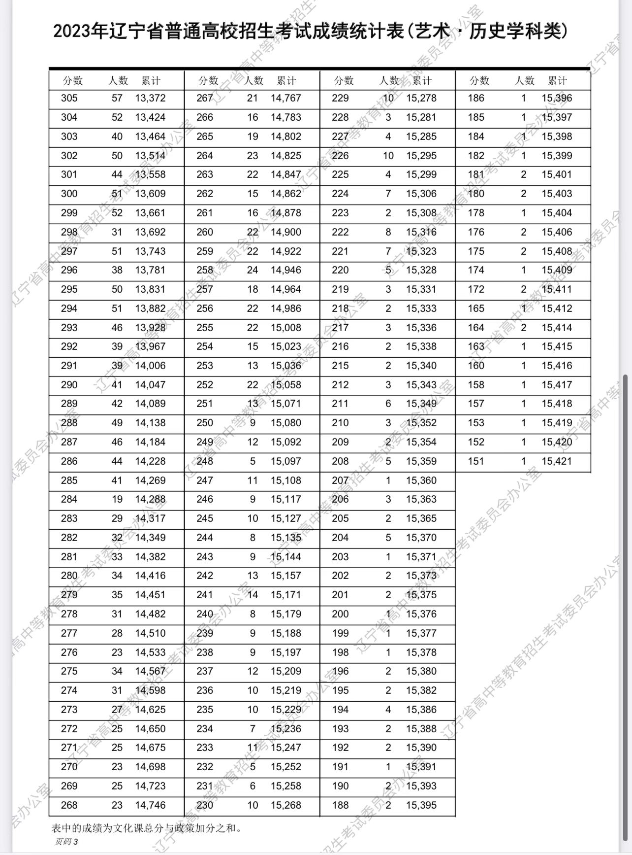
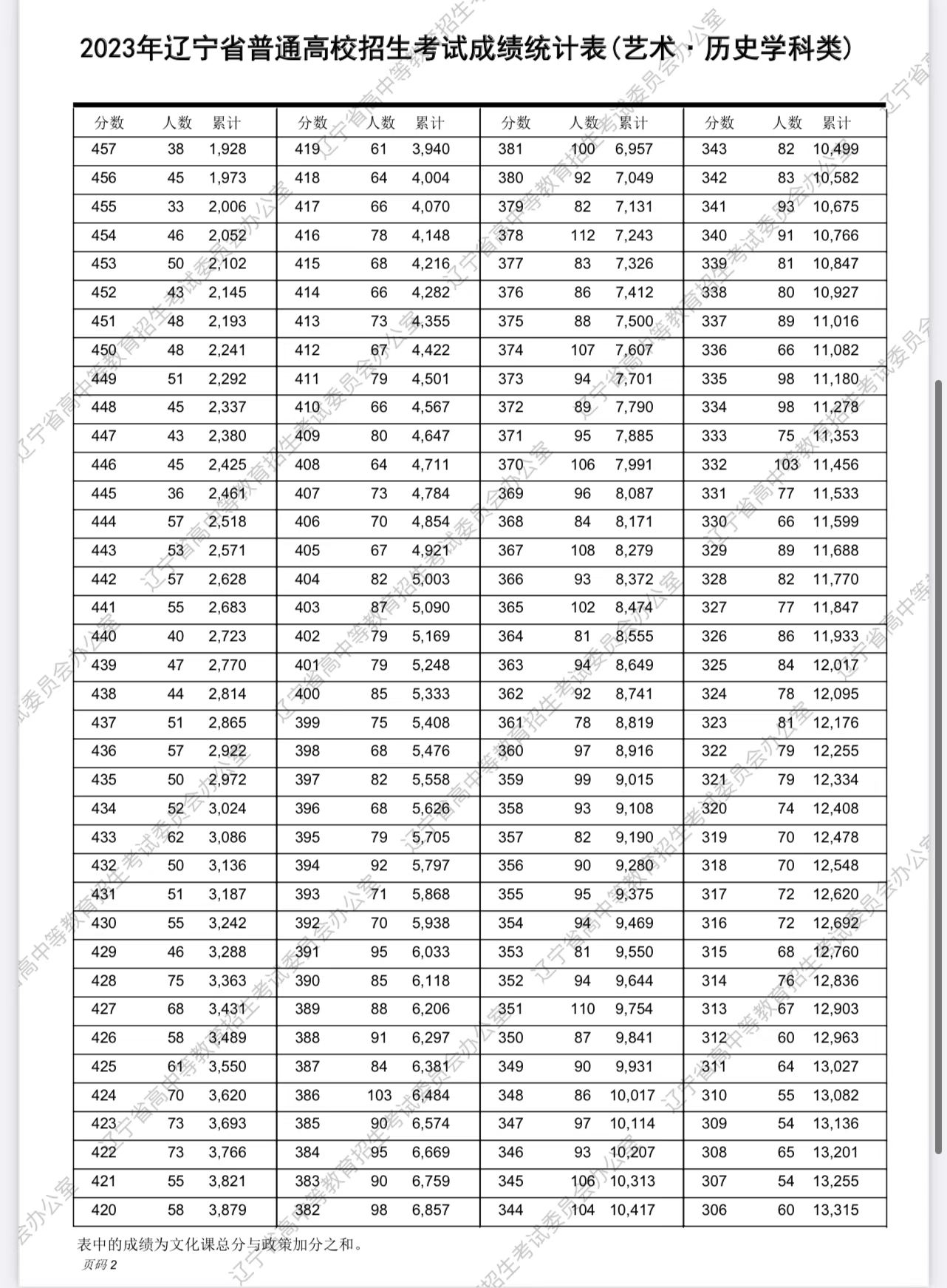
2023年辽宁省普通高校招生考试成绩统计表(艺术﹒历史学科类)

(辽宁招生考试之窗网站)