1.0.1 为了在混凝土结构设计中贯彻执行国家的技术经济政策,做到安全、适用、经济,保证质量,制定本规范。
1.0.2 本规范适用于房屋和一般构筑物的钢筋混凝土、预应力混凝土以及素混凝土结构的设计。本规范不适用于轻骨料混凝土及特种混凝土结构的设计。
1.0.3 本规范依据现行国家标准《工程结构可靠性设计统一标准》GB 50153及《建筑结构可靠度设计统一标准》GB 50068的原则制定。本规范是对混凝土结构设计的基本要求。
1.0.4 混凝土结构的设计除应符合本规范外,尚应符合国家现行有关标准的规定。
2 术语和符号
2.1 术 语
2.1.1 混凝土结构 concrete structure
以混凝土为主制成的结构,包括素混凝土结构、钢筋混凝土结构和预应力混凝土结构等。
2.1.2 素混凝土结构 plain concrete structure
无筋或不配置受力钢筋的混凝土结构。
2.1.3 普通钢筋 steel bar
用于混凝土结构构件中的各种非预应力筋的总称。
2.1.4 预应力筋 prestressing tendon and/or bar
用于混凝土结构构件中施加预应力的钢丝、钢绞线和预应力螺纹钢筋等的总称。
2.1.5 钢筋混凝土结构 reinforced concrete structure
配置受力普通钢筋的混凝土结构。
2.1.6 预应力混凝土结构 prestressed concrete structure
配置受力的预应力筋,通过张拉或其他方法建立预加应力的混凝土结构。
2.1.7 现浇混凝土结构 cast-in-situ concrete structure
在现场原位支模并整体浇筑而成的混凝土结构。
2.1.8 装配式混凝土结构 precast concrete structure
由预制混凝土构件或部件装配、连接而成的混凝土结构。
2.1.9 装配整体式混凝土结构 assembled monolithic concrete structure
由预制混凝土构件或部件通过钢筋、连接件或施加预应力加以连接,并在连接部位浇筑混凝土而形成整体受力的混凝土结构。
2.1.10 叠合构件 composite member
由预制混凝土构件(或既有混凝土结构构件)和后浇混凝土组成,以两阶段成型的整体受力结构构件。
2.1.11 深受弯构件 deep flexural member
跨高比小于5的受弯构件。
2.1.12 深梁 deep beam
跨高比小于2的简支单跨梁或跨高比小于2.5的多跨连续梁。
2.1.13 先张法预应力混凝土结构 pretensioned prestressed concrete structure
在台座上张拉预应力筋后浇筑混凝土,并通过放张预应力筋由粘结传递而建立预应力的混凝土结构。
2.1.14 后张法预应力混凝土结构 post-tensioned prestressed concrete structure
浇筑混凝土并达到规定强度后,通过张拉预应力筋并在结构上锚固而建立预应力的混凝土结构。
2.1.15 无粘结预应力混凝土结构 unbonded prestressed concrete structure
配置与混凝土之间可保持相对滑动的无粘结预应力筋的后张法预应力混凝土结构。
2.1.16 有粘结预应力混凝土结构 bonded prestressed concrete structure
通过灌浆或与混凝土直接接触使预应力筋与混凝土之间相互粘结而建立预应力的混凝土结构。
2.1.17 结构缝 structural joint
根据结构设计需求而采取的分割混凝土结构间隔的总称。
2.1.18 混凝土保护层 concrete cover
结构构件中钢筋外边缘至构件表面范围用于保护钢筋的混凝土,简称保护层。
2.1.19 锚固长度 anchorage length
受力钢筋依靠其表面与混凝土的粘结作用或端部构造的挤压作用而达到设计承受应力所需的长度。
2.1.20 钢筋连接 splice of reinforcement
通过绑扎搭接、机械连接、焊接等方法实现钢筋之间内力传递的构造形式。
2.1.21 配筋率 ratio of reinforcement
混凝土构件中配置的钢筋面积(或体积)与规定的混凝土截面面积(或体积)的比值。
2.1.22 剪跨比 ratio of shear span to effective depth
截面弯矩与剪力和有效高度乘积的比值。
2.1.23 横向钢筋 transverse reinforcement
垂直于纵向受力钢筋的箍筋或间接钢筋。
2.2 符 号
2.2.1 材料性能
Ec_____混凝土的弹性模量;
Es_____钢筋的弹性模量;
C30_____立方体抗压强度标准值为30N/mm2的混凝土强度等级;
HRB500_____强度级别为500MPa的普通热轧带肋钢筋;
HRF400_____强度级别为400MPa的细晶粒热轧带肋钢筋;
HRB400_____强度级别为400MPa的热余处理带肋钢筋;
HPB300_____强度级别为300MPa的热轧光圆钢筋;
HRB400E——强度级别为400N/mm2且有较高抗震性能要求的普通热轧带肋钢筋;
fck、fc——混凝土轴心抗压强度标准值、设计值;
ftk、ft——混凝土轴心抗拉强度标准值、设计值;
fyk、fptk——普通钢筋、预应力筋强度标准值;
fy、f'y——普通钢筋抗拉、抗压强度设计值;
fpy、f’py ——预应力筋抗拉、抗压强度设计值;
fyv——横向钢筋的抗拉强度设计值;
δgt——钢筋最大力下的总伸长率。
2.2.2 作用和作用效应
N——轴向力设计值;
Nk、Nq——按荷载标准组合、准永久组合计算的轴向力值;
Nu0——构件的截面轴心受压或轴心受拉承载力设计值;
M——弯矩设计值;
Mk、Mq——按荷载标准组合、准永久组合计算的弯矩值;
Mu——构件的正截面受弯承载力设计值;
Mcr——受弯构件的正截面开裂弯矩值;
T——扭矩设计值;
V——剪力设计值;
Fl——局部荷载设计值或集中反力设计值;
σS、σP——正截面承载力计算中纵向钢筋、预应力筋的应力;
σPC——预应力筋的有效预应力;
σf、σ’f——受拉区、受压区预应力筋在相应阶段的预应力损失值;
T——混凝土的剪应力;
wmax——按荷载准永久组合或标准组合,并考虑长期作用影响的计算最大裂缝宽度。
2.2.3 几何参数
c——混凝土保护层厚度;
d——钢筋的公称直径(简称直径)或圆形截面的直径;
h——截面高度;
h0——截面有效高度;
la——纵向受拉钢筋的锚固长度;
l0——计算跨度或计算长度;
s——沿构件轴线方向上横向钢筋的间距、螺旋筋的间距或箍筋的间距;
x——混凝土受压区高度;
A——构件截面面积;
As、A’s ——受拉区、受压区纵向普通钢筋的截面面积;
Ap、A’p——受拉区、受压区纵向预应力筋的截面面积;
Al——混凝土局部受压面积;
Acor——钢筋网、螺旋筋或箍筋内表面范围内的混凝土核心面积;
B——受弯构件的截面刚度;
I——截面惯性矩;
W——截面受拉边缘的弹性抵抗矩;
Wt——截面受扭塑性抵抗矩。
2.2.4 计算系数及其他
ɑE——钢筋弹性模量与混凝土弹性模量的比值;
r——混凝土构件的截面抵抗矩塑性影响系数;
η——偏心受压构件考虑二阶效应影响的轴向力偏心距增大系数;
λ——计算截面的剪跨比,即
ρ——纵向受力钢筋的配筋率;
ρv——间接钢筋或箍筋的体积配筋率;
∅——表示钢筋直径的符号,20表示直径为20mm的钢筋。
3 基本设计规定
3.1 一般规定
3.1.1 混凝土结构设计应包括下列内容:
1 结构方案设计,包括结构选型、构件布置及传力途径;
2 作用及作用效应分析;
3 结构的极限状态设计;
4 结构及构件的构造、连接措施;
5 耐久性及施工的要求;
6 满足特殊要求结构的专门性能设计。
3.1.2 本规范采用以概率理论为基础的极限状态设计方法,以可靠指标度量结构构件的可靠度,采用分项系数的设计表达式进行设计。
3.1.3 混凝土结构的极限状态设计应包括:
1 承载能力极限状态:结构或结构构件达到最大承载力、出现疲劳破坏、发生不适于继续承载的变形或因结构局部破坏而引发的连续倒塌;
2 正常使用极限状态:结构或结构构件达到正常使用的某项规定限值或耐久性能的某种规定状态。
3.1.4 结构上的直接作用(荷载)应根据现行国家标准《建筑结构荷载规范》GB 50009及相关标准确定;地震作用应根据现行国家标准《建筑抗震设计规范》GB 50011确定。
间接作用和偶然作用应根据有关的标准或具体情况确定。
直接承受吊车荷载的结构构件应考虑吊车荷载的动力系数。预制构件制作、运输及安装时应考虑相应的动力系数。对现浇结构,必要时应考虑施工阶段的荷载。
3.1.5 混凝土结构的安全等级和设计使用年限应符合现行国家标准《工程结构可靠性设计统一标准》GB 50153的规定。
混凝土结构中各类结构构件的安全等级,宜与整个结构的安全等级相同。对其中部分结构构件的安全等级,可根据其重要程度适当调整。对于结构中重要构件和关键传力部位,宜适当提高其安全等级。
3.1.6 混凝土结构设计应考虑施工技术水平以及实际工程条件的可行性。有特殊要求的混凝土结构,应提出相应的施工要求。
3.1.7 设计应明确结构的用途,在设计使用年限内未经技术鉴定或设计许可,不得改变结构的用途和使用环境。
3.2 结构方案
3.2.1 混凝土结构的设计方案应符合下列要求:
1 选用合理的结构体系、构件形式和布置;
2 结构的平、立面布置宜规则,各部分的质量和刚度宜均匀、连续;
3 结构传力途径应简捷、明确,竖向构件宜连续贯通、对齐;
4 宜采用超静定结构,重要构件和关键传力部位应增加冗余约束或有多条传力途径;
5 宜采取减小偶然作用影响的措施。
3.2.2 混凝土结构中结构缝的设计应符合下列要求:
1 应根据结构受力特点及建筑尺度、形状、使用功能要求,合理确定结构缝的位置和构造形式;
2 宜控制结构缝的数量,并应采取有效措施减少设缝对使用功能的不利影响;
3 可根据需要设置施工阶段的临时性结构缝。
3.2.3 结构构件的连接应符合下列要求:
1 连接部位的承载力应保证被连接构件之间的传力性能;
2 当混凝土构件与其他材料构件连接时,应采取可靠的措施;
3 应考虑构件变形对连接节点及相邻结构或构件造成的影响。
3.2.4 混凝土结构设计应符合节省材料、方便施工、降低能耗与保护环境的要求。
3.3 承载能力极限状态计算
3.3.1 混凝土结构的承载能力极限状态计算应包括下列内容:
1 结构构件应进行承载力(包括失稳)计算;
2 直接承受重复荷载的构件应进行疲劳验算;
3 有抗震设防要求时,应进行抗震承载力计算;
4 必要时尚应进行结构的倾覆、滑移、漂浮验算;
5 对于可能遭受偶然作用,且倒塌可能引起严重后果的重要结构,宜进行防连续倒塌设计。
3.3.2 对持久设计状况、短暂设计状况和地震设计状况,当用内力的形式表达时,结构构件应采用下列承载能力极限状态设计表达式:
γ0S≤R (3.3.2—1)
R=R(fc,fs,ak,…)/γRd (3.3.2—2)
式中:γ0——结构重要性系数:在持久设计状况和短暂设计状况下,对安全等级为一级的结构构件不应小于1.1,对安全等级为二级的结构构件不应小于1.0,对安全等级为三级的结构构件不应小于0.9;对地震设计状况下应取1.0;
S——承载能力极限状态下作用组合的效应设计值:对持久设计状况和短暂设计状况应按作用的基本组合计算;对地震设计状况应按作用的地震组合计算;
R——结构构件的抗力设计值;
R(·)——结构构件的抗力函数;
γRd——结构构件的抗力模型不定性系数:静力设计取1.0,对不确定性较大的结构构件根据具体情况取大于1.0的数值;抗震设计应用承载力抗震调整系数γRE代替γRd;
fc、fs——混凝土、钢筋的强度设计值,应根据本规范第 4.1.4条及第4.2.3条的规定取值;
ak——几何参数的标准值,当几何参数的变异性对结构性能有明显的不利影响时,应增减一个附加值。
注:公式(3.3.2—1)中的γ0S为内力设计值,在本规范各章中用N、M、V、T等表达。
3.3.3 对二维、三维混凝土结构构件,当按弹性或弹塑性方法分析并以应力形式表达时,可将混凝土应力按区域等代成内力设计值,按本规范第3.3.2条进行计算;也可直接采用多轴强度准则进行设计验算。
3.3.4 对偶然作用下的结构进行承载能力极限状态设计时,公式(3.3.2—1)中的作用效应设计值S按偶然组合计算,结构重要性系数γ0取不小于1.0的数值;公式(3.3.2—2)中混凝土、钢筋的强度设计值fc、fs改用强度标准值fck、fyk(或fpyk)。
当进行结构防连续倒塌验算时,结构构件的承载力函数应按本规范第3.6节的原则确定。
3.3.5 对既有结构的承载能力极限状态设计,应按下列规定进行:
1 对既有结构进行安全复核、改变用途或延长使用年限而需验算承载能力极限状态时,宜符合本规范第3.3.2条的规定;
2 对既有结构进行改建、扩建或加固改造而重新设计时,承载能力极限状态的计算应符合本规范第3.7节的规定。
3.4 正常使用极限状态验算
3.4.1 混凝土结构构件应根据其使用功能及外观要求,按下列规定进行正常使用极限状态验算:
1 对需要控制变形的构件,应进行变形验算;
2 对不允许出现裂缝的构件,应进行混凝土拉应力验算;
3 对允许出现裂缝的构件,应进行受力裂缝宽度验算;
4 对舒适度有要求的楼盖结构,应进行竖向自振频率验算。
3.4.2 对于正常使用极限状态,钢筋混凝土构件、预应力混凝土构件应分别按荷载的准永久组合并考虑长期作用的影响或标准组合并考虑长期作用的影响,采用下列极限状态设计表达式进行验算:
S≤C (3.4.2)
式中:S——正常使用极限状态荷载组合的效应设计值;
C——结构构件达到正常使用要求所规定的变形、应力、裂缝宽度和自振频率等的限值。
3.4.3 钢筋混凝土受弯构件的最大挠度应按荷载的准永久组合,预应力混凝土受弯构件的最大挠度应按荷载的标准组合,并均应考虑荷载长期作用的影响进行计算,其计算值不应超过表3.4.3规定的挠度限值。
表3.4.3 受弯构件的扰度限值

注:1 表中l0为构件的计算跨度;计算悬臂构件的挠度限值时,其计算跨度l0按实际悬臂长度的2倍取用;
2 表中括号内的数值适用于使用上对挠度有较高要求的构件;
3 如果构件制作时预先起拱,且使用上也允许,则在验算挠度时,可将计算所得的挠度值减去起拱值;对预应力混凝土构件,尚可减去预加力所产生的反拱值;
4 构件制作时的起拱值和预加力所产生的反拱值,不宜超过构件在相应荷载组合作用下的计算挠度值。
3.4.4 结构构件正截面的受力裂缝控制等级分为三级,等级划分及要求应符合下列规定:
一级——严格要求不出现裂缝的构件,按荷载标准组合计算时,构件受拉边缘混凝土不应产生拉应力。
二级——一般要求不出现裂缝的构件,按荷载标准组合计算时,构件受拉边缘混凝土拉应力不应大于混凝土抗拉强度的标准值。
三级——允许出现裂缝的构件:对钢筋混凝土构件,按荷载准永久组合并考虑长期作用影响计算时,构件的最大裂缝宽度不应超过本规范表3.4.5规定的最大裂缝宽度限值。对预应力混凝土构件,按荷载标准组合并考虑长期作用的影响计算时,构件的最大裂缝宽度不应超过本规范第3.4.5条规定的最大裂缝宽度限值;对二a类环境的预应力混凝土构件,尚应按荷载准永久组合计算,且构件受拉边缘混凝土的拉应力不应大于混凝土的抗拉强度标准值。
3.4.5 结构构件应根据结构类型和本规范第3.5.2条规定的环境类别,按表3.4.5的规定选用不同的裂缝控制等级及最大裂缝宽度限值ωlim。
表3.4.5 结构构件的裂缝控制等级及最大裂缝宽度的限值(mm)

注:1 对处于年平均相对湿度小于60%地区一类环境下的受弯构件,其最大裂缝宽度限值可采用括号内的数值;
2 在一类环境下,对钢筋混凝土屋架、托架及需作疲劳验算的吊车梁,其最大裂缝宽度限值应取为0.20mm;对钢筋混凝土屋面梁和托梁,其最大裂缝宽度限值应取为0.30mm;
3 在一类环境下,对预应力混凝土屋架、托架及双向板体系,应按二级裂缝控制等级进行验算;对一类环境下的预应力混凝土屋面梁、托梁、单向板,应按表中二a类环境的要求进行验算;在一类和二a类环境下需作疲劳验算的预应力混凝土吊车梁,应按裂缝控制等级不低于二级的构件进行验算;
4 表中规定的预应力混凝土构件的裂缝控制等级和最大裂缝宽度限值仅适用于正截面的验算;预应力混凝土构件的斜截面裂缝控制验算应符合本规范第7章的有关规定;
5 对于烟囱、筒仓和处于液体压力下的结构,其裂缝控制要求应符合专门标准的有关规定;
6 对于处于四、五类环境下的结构构件,其裂缝控制要求应符合专门标准的有关规定;
7 表中的最大裂缝宽度限值为用于验算荷载作用引起的最大裂缝宽度。
3.4.6 对混凝土楼盖结构应根据使用功能的要求进行竖向自振频率验算,并宜符合下列要求:
1 住宅和公寓不宜低于5Hz;
2 办公楼和旅馆不宜低于4Hz;
3 大跨度公共建筑不宜低于3Hz。
3.5 耐久性设计
3.5.1 混凝土结构应根据设计使用年限和环境类别进行耐久性设计,耐久性设计包括下列内容:
1 确定结构所处的环境类别;
2 提出对混凝土材料的耐久性基本要求;
3 确定构件中钢筋的混凝土保护层厚度;
4 不同环境条件下的耐久性技术措施;
5 提出结构使用阶段的检测与维护要求。
注:对临时性的混凝土结构,可不考虑混凝土的耐久性要求。
3.5.2 混凝土结构暴露的环境类别应按表3.5.2的要求划分。
表3.5.2混凝土结构的环境类型


注:1 室内潮湿环境是指构件表面经常处于结露或湿润状态的环境;
2 严寒和寒冷地区的划分应符合现行国家标准《民用建筑热工设计规范》GB 50176的有关规定;
3 海岸环境和海风环境宜根据当地情况,考虑主导风向及结构所处迎风、背风部位等因素的影响,由调查研究和工程经验确定;
4 受除冰盐影响环境是指受到除冰盐盐雾影响的环境;受除冰盐作用环境是指被除冰盐溶液溅射的环境以及使用除冰盐地区的洗车房、停车楼等建筑。
5 暴露的环境是指混凝土结构表面所处的环境。
3.5.3 设计使用年限为50年的混凝土结构,其混凝土材料宜符合表3.5.3的规定。
表3.5.3 结构混凝土材料的耐久性基本要求

注:1 氯离子含量系指其占胶凝材料总量的百分比;
2 预应力构件混凝土中的最大氯离子含量为0.06%;其最低混凝土强度等级宜按表中的规定提高两个等级;
3 素混凝土构件的水胶比及最低强度等级的要求可适当放松;
4 有可靠工程经验时,二类环境中的最低混凝土强度等级可降低一个等级;
5 处于严寒和寒冷地区二 (b)、三a类环境中的混凝土应使用引气剂,并可采用括号中的有关参数;
6 当使用非碱活性骨料时,对混凝土中的碱含量可不作限制。
3.5.4 混凝土结构及构件尚应采取下列耐久性技术措施:
1 预应力混凝土结构中的预应力筋应根据具体情况采取表面防护、孔道灌浆、加大混凝土保护层厚度等措施,外露的锚固端应采取封锚和混凝土表面处理等有效措施;
2 有抗渗要求的混凝土结构,混凝土的抗渗等级应符合有关标准的要求;
3 严寒及寒冷地区的潮湿环境中,结构混凝土应满足抗冻要求,混凝土抗冻等级应符合有关标准的要求;
4 处于二、三类环境中的悬臂构件宜采用悬臂梁-板的结构形式,或在其上表面增设防护层;
5 处于二、三类环境中的结构构件,其表面的预埋件、吊钩、连接件等金属部件应采取可靠的防锈措施,对于后张预应力混凝土外露金属锚具,其防护要求见本规范第10.3.13条;
6 处在三类环境中的混凝土结构构件,可采用阻锈剂、环氧树脂涂层钢筋或其他具有耐腐蚀性能的钢筋、采取阴极保护措施或采用可更换的构件等措施。
3.5.5 一类环境中,设计使用年限为100年的混凝土结构应符合下列规定:
1 钢筋混凝土结构的最低强度等级为C30;预应力混凝土结构的最低强度等级为C40;
2 混凝土中的最大氯离子含量为0.06%;
3 宜使用非碱活性骨料,当使用碱活性骨料时,混凝土中的最大碱含量为3.0kg/m3;
4 混凝土保护层厚度应符合本规范第8.2.1条的规定;当采取有效的表面防护措施时,混凝土保护层厚度可适当减小。
3.5.6 二、三类环境中,设计使用年限100年的混凝土结构应采取专门的有效措施。
3.5.7 耐久性环境类别为四类和五类的混凝土结构,其耐久性要求应符合有关标准的规定。
3.5.8 混凝土结构在设计使用年限内尚应遵守下列规定:
1 建立定期检测、维修制度;
2 设计中可更换的混凝土构件应按规定更换;
3 构件表面的防护层,应按规定维护或更换;
4 结构出现可见的耐久性缺陷时,应及时进行处理。
3.6 防连续倒塌设计原则
3.6.1 混凝土结构防连续倒塌设计宜符合下列要求:
1 采取减小偶然作用效应的措施;
2 采取使重要构件及关键传力部位避免直接遭受偶然作用的措施;
3 在结构容易遭受偶然作用影响的区域增加冗余约束,布置备用的传力途径;
4 增强疏散通道、避难空间等重要结构构件及关键传力部位的承载力和变形性能;
5 配置贯通水平、竖向构件的钢筋,并与周边构件可靠地锚固;
6 设置结构缝,控制可能发生连续倒塌的范围。
3.6.2 重要结构的防连续倒塌设计可采用下列方法:
1 局部加强法:提高可能遭受偶然作用而发生局部破坏的竖向重要构件和关键传力部位的安全储备,也可直接考虑偶然作用进行设计。
2 拉结构件法:在结构局部竖向构件失效的条件下,可根据具体情况分别按梁-拉结模型、悬索-拉结模型和悬臂-拉结模型进行承载力验算,维持结构的整体稳固性。
3 拆除构件法:按一定规则拆除结构的主要受力构件,验算剩余结构体系的极限承载力;也可采用倒塌全过程分析进行设计。
3.6.3 当进行偶然作用下结构防连续倒塌的验算时,作用宜考虑结构相应部位倒塌冲击引起的动力系数。在抗力函数的计算中,混凝土强度取强度标准值fck;普通钢筋强度取极限强度标准值fstk,预应力筋强度取极限强度标准值fptk并考虑锚具的影响。宜考虑偶然作用下结构倒塌对结构几何参数的影响。必要时尚应考虑材料性能在动力作用下的强化和脆性,并取相应的强度特征值。
3.7 既有结构设计原则
3.7.1 既有结构延长使用年限、改变用途、改建、扩建或需要进行加固、修复等,均应对其进行评定、验算或重新设计。
3.7.2 对既有结构进行安全性、适用性、耐久性及抗灾害能力进行评定时,应符合现行国家标准《工程结构可靠性设计统一标准》GB 50153的原则要求,并应符合下列规定:
1 应根据评定结果、使用要求和后续使用年限确定既有结构的设计方案;
2 既有结构改变用途或延长使用年限时,承载能力极限状态验算宜符合本规范的有关规定;
3 对既有结构进行改建、扩建或加固改造而重新设计时,承载能力极限状态的计算应符合本规范和相关标准的规定;
4 既有结构的正常使用极限状态验算及构造要求宜符合本规范的规定;
5 必要时可对使用功能作相应的调整,提出限制使用的要求。
3.7.3 既有结构的设计应符合下列规定:
1 应优化结构方案,保证结构的整体稳固性;
2 荷载可按现行规范的规定确定,也可根据使用功能作适当的调整;
3 结构既有部分混凝土、钢筋的强度设计值应根据强度的实测值确定;当材料的性能符合原设计的要求时,可按原设计的规定取值;
4 设计时应考虑既有结构构件实际的几何尺寸、截面配筋、连接构造和已有缺陷的影响;当符合原设计的要求时,可按原设计的规定取值;
5 应考虑既有结构的承载历史及施工状态的影响;对二阶段成形的叠合构件,可按本规范第9.5节的规定进行设计。
4 材 料
4.1 混 凝 土
4.1.1 混凝土强度等级应按立方体抗压强度标准值确定。立方体抗压强度标准值系指按标准方法制作、养护的边长为150mm的立方体试件,在28d或设计规定龄期以标准试验方法测得的具有95%保证率的抗压强度值。
4.1.2 素混凝土结构的混凝土强度等级不应低于C15;钢筋混凝土结构的混凝土强度等级不应低于C20;采用强度等级400MPa及以上的钢筋时,混凝土强度等级不应低于C25。
预应力混凝土结构的混凝土强度等级不宜低于C40,且不应低于C30。
承受重复荷载的钢筋混凝土构件,混凝土强度等级不应低于C30。
4.1.3 混凝土轴心抗压强度的标准值fck应按表4.1.3—1采用;轴心抗拉强度的标准值ftk应按表4.1.3—2采用。
表4.1.3-1混凝土轴心抗压强度标准值(N/mm2)

表4.1.3-2混凝土轴心抗拉强度标准值(N/mm2)

4.1.4 混凝土轴心抗压强度的设计值fc应按表4.1.4—1采用;轴心抗拉强度的设计值ft应按表4.1.4—2采用。
表4.1.4-1混凝土轴心抗压强度设计值(N/mm2)

表4.1.4-2混凝土轴心抗拉强度设计值(N/mm2)

4.1.5 混凝土受压和受拉的弹性模量Ec宜按表4.1.5采用。
混凝土的剪切变形模量GC可按相应弹性模量值的40%采用。
混凝土泊松比vc可按0.2采用。
表4.1.5 混凝土的弹性模量(×104N/mm2)

注:1 当有可靠试验依据时,弹性模量可根据实测数据确定;
2 当混凝土中掺有大量矿物掺合料时,弹性模量可按规定龄期根据实测数据确定。

表4.1.6-1混凝土受压疲劳强度修正系数γp

表4.1.6-2 混凝土受拉疲劳强度修正系数γp

注:直接承受疲劳荷载的混凝土构件,当采用蒸汽养护时,养护温度不宜高于60°C
4.1.7 混凝土疲劳变形模量Efc应按表4.1.7采用。
表4.1.7 混凝土的疲劳变形模量(×104N/mm2)

4.1.8当温度在0°C-100°C范围内时,混凝土的热工参数可按下列规定取值:
线膨胀系数αc:1×10-5/°C;
导热系数λ:10.6KJ/(m.h.°C);
比热容C:0.96KJ/(kg.°C)。
4.2 钢 筋
4.2.1 混凝土结构的钢筋应按下列规定选用:
1 纵向受力普通钢筋可采用HRB400、HRB500、HRBF400、HRBF500、HRB335、RRB400、HPB300钢筋;梁、柱和斜撑构件的纵向受力普通钢筋宜采用HRB400、HRB500、HRBF400、HRBF500钢筋;
2 箍筋宜采用HRB400、HRBF400、HRB335、HPB300、HRB500、HRBF500钢筋;
3 预应力筋宜采用预应力钢丝、钢绞线和预应力螺纹钢筋。
4.2.2 钢筋的强度标准值应具有不小于95%的保证率。
普通钢筋的屈服强度标准值fyk、极限强度标准值fstk应按表4.2.2—1采用;预应力钢丝、钢绞线和预应力螺纹钢筋的屈服强度标准值fpyk、极限强度标准值fptk应按表4.2.2—2采用。
表4.2.2-1普通钢筋强度标准值(N/mm2)

表4.2.2-2预应力筋强度标准值(N/mm2)


注:极限强度标准值为1960N/mm2的钢绞线作后张预应力配筋时,应有可靠的工程经验。
4.2.3 普通钢筋的抗拉强度设计值fy、抗压强度设计值f'y应按表4.2.3—1采用;预应力筋的抗拉强度设计值fpy、抗压强度设计值f'py应按表4.2.3—2采用。
当构件中配有不同种类的钢筋时,每种钢筋应采用各自的强度设计值。
对轴心受压构件,当采用HRB500、HRBF500钢筋时,钢筋的抗压强度设计值应取400N/mm2。
横向钢筋的抗拉强度设计值fyv应按表中fy的数值采用;当用作受剪、受扭、受冲切承载力计算时,其数值大于360N/mm2时应取360N/mm2。
表4.2.3-1普通钢筋强度设计值(N/mm2)
|
牌号 |
抗拉强度设计值fy |
抗压强度设计值f'y |
|
HPB300 |
270 |
270 |
|
HRB335 |
300 |
300 |
|
HRB400 HRBF400 RRB400 |
360 |
360 |
|
HRB500 HRBF500 |
435 |
435 |
表4.2.3-2预应力筋强度设计值(N/mm2)
|
种类 |
极限强度标准值fptk |
抗拉强度设计值fpy |
抗压强度设计值f'py |
|
中强度预应力钢丝 |
800 |
510 |
410 |
|
970 |
650 |
||
|
1270 |
810 |
||
|
消除应力钢丝 |
1470 |
1040 |
410 |
|
1570 |
1110 |
||
|
1860 |
1320 |
||
|
钢绞线 |
1570 |
1110 |
390 |
|
1720 |
1220 |
||
|
1860 |
1320 |
||
|
1960 |
1390 |
||
|
预应力螺纹钢筋 |
980 |
650 |
400 |
|
1080 |
770 |
||
|
1230 |
900 |
注:当预应力筋的强度标准值不符合表4.2.3-2的规定时,其强度设计值应进行相应的比例换算
4.2.4 普通钢筋及预应力筋在最大力下的总伸长率σgt不应小于表4.2.4规定的
表4.2.4普通钢筋及预应力筋在最大力下的总伸长率限值
|
钢筋品种 |
普通钢筋 |
预应力筋 |
||
|
HPB300 |
HRB335、HRB400、HRBF400 HRB500、HRBF500 |
RRB400 |
||
|
δgt(%) |
10.0 |
7.5 |
5.0 |
3.5 |
4.2.5 普通钢筋和预应力筋的弹性模量Es可按表4. 2. 5采用。
4.2.5钢筋的弹性模量(×105N/mm2)

4.2.6 普通钢筋和预应力钢筋的疲劳应力幅限值 △ffy 和 △ffpy 应由钢筋疲劳应力比值 ρfs、ρfp 分别按表 4.2.6-1 表 4.2.6-2 线性内插取值
表4.2.6-1普通钢筋疲劳应力幅限值(N/mm2)

注:当纵向受拉钢筋采用闪光接触对焊连接时,其接头处的钢筋疲劳应力幅限值应按表中数值乘以0.8取用。
表4.2.6-2预应力疲劳应力幅限值(N/mm2)

注:1当ρfp不小于0.9时,可不作预应力筋疲劳验算;
2当有充分依据时,可对表中规定的疲劳应力幅限值作适当调整
普通钢筋疲劳应力比值ρfp应按下列公式计算:

[4.2.6-1]
式中δfs,min、δfs,max ——构件疲劳验算时,同一层钢筋的最小应力、预应力筋疲劳力比值ρfp应按下列公式计算:

[4.2.6-2]
式中:δfp,min、δfp,max——构件疲劳验算时,同一层钢筋的最小应力、最大应力。
4.2.7 构件中的钢筋可采用并筋的配置形式。直径28mm及以下的钢筋并筋数量不应超过3根;直径32mm的钢筋并筋数量宜为2根;直径36mm及以上的钢筋不应采用并筋。并筋应按单根等效钢筋进行计算,等效钢筋的等效直径应按截面面积相等的原则换算确定。
4.2.8 当进行钢筋代换时,除应符合设计要求的构件承载力、最大力下的总伸长率、裂缝宽度验算以及抗震规定以外,尚应满足最小配筋率、钢筋间距、保护层厚度、钢筋锚固长度、接头面积百分率及搭接长度等构造要求。
4.2.9 当构件中采用预制的钢筋焊接网片或钢筋骨架配筋时,应符合国家现行有关标准的规定。
4.2.10 各种公称直径的普通钢筋、预应力筋的公称截面面积及理论重量应按本规范附录A采用。
5 结构分析
5.1 基本原则
5.1.1 混凝土结构应进行整体作用效应分析,必要时尚应对结构中受力状况特殊部位进行更详细的分析。
5.1.2 当结构在施工和使用期的不同阶段有多种受力状况时,应分别进行结构分析,并确定其最不利的作用组合。
结构可能遭遇火灾、飓风、爆炸、撞击等偶然作用时,尚应按国家现行有关标准的要求进行相应的结构分析。
5.1.3 结构分析的模型应符合下列要求:
1 结构分析采用的计算简图、几何尺寸、计算参数、边界条件、结构材料性能指标以及构造措施等应符合实际工作状况;
2 结构上可能的作用及其组合、初始应力和变形状况等,应符合结构的实际状况;
3 结构分析中所采用的各种近似假定和简化,应有理论、试验依据或经工程实践验证;计算结果的精度应符合工程设计的要求。
5.1.4 结构分析应符合下列要求:
1 满足力学平衡条件;
2 在不同程度上符合变形协调条件,包括节点和边界的约束条件;
3 采用合理的材料本构关系或构件单元的受力-变形关系。
5.1.5 结构分析时,应根据结构类型、材料性能和受力特点等选择下列分析方法:
1 弹性分析方法;
2 塑性内力重分布分析方法;
3 弹塑性分析方法;
4 塑性极限分析方法;
5 试验分析方法。
5.1.6 结构分析所采用的计算软件应经考核和验证,其技术条件应符合本规范和国家现行有关标准的要求。
应对分析结果进行判断和校核,在确认其合理、有效后方可应用于工程设计。
5.2 分析模型
5.2.1 混凝土结构宜按空间体系进行结构整体分析,并宜考虑结构单元的弯曲、轴向、剪切和扭转等变形对结构内力的影响。
当进行简化分析时,应符合下列规定:
1 体形规则的空间结构,可沿柱列或墙轴线分解为不同方向的平面结构分别进行分析,但应考虑平面结构的空间协同工作;
2 构件的轴向、剪切和扭转变形对结构内力分析影响不大时,可不予考虑。
5.2.2 混凝土结构的计算简图宜按下列方法确定:
1 梁、柱、杆等一维构件的轴线宜取为截面几何中心的连线,墙、板等二维构件的中轴面宜取为截面中心线组成的平面或曲面;
2 现浇结构和装配整体式结构的梁柱节点、柱与基础连接处等可作为刚接;非整体浇筑的次梁两端及板跨两端可近似作为铰接;
3 梁、柱等杆件的计算跨度或计算高度可按其两端支承长度的中心距或净距确定,并应根据支承节点的连接刚度或支承反力的位置加以修正;
4 梁、柱等杆件间连接部分的刚度远大于杆件中间截面的刚度时,在计算模型中可作为刚域处理。
5.2.3 进行结构整体分析时,对于现浇结构或装配整体式结构,可假定楼盖在其自身平面内为无限刚性。当楼盖开有较大洞口或其局部会产生明显的平面内变形时,在结构分析中应考虑其影响。
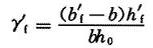
5.2.4 对现浇楼盖和装配整体式楼盖,宜考虑楼板作为翼缘对梁刚度和承载力的影响。梁受压区有效翼缘计算宽度b’f可按表5.2.4所列情况中的最小值取用;也可采用梁刚度增大系数法近似考虑,刚度增大系数应根据梁有效翼缘尺寸与梁截面尺寸的相对比例确定。
表 5. 2. 4 受弯构件受压区有效翼缘计算宽度 b’f

注:1 表中b为梁的腹板厚度;
2 肋形梁在梁跨内设有间距小于纵肋间距的横肋时,可不考虑表中情况3的规定;
3 加腋的T形、I形和倒L形截面,当受压区加腋的高度hh不小h’f且加腋的长度bh不大于3hh时,其翼缘计算宽度可按表中情况3的规定分别增加2bh(T形、I形截面)和bh(倒L形截面);
4 独立梁受压区的翼缘板在荷载作用下经验算沿纵肋方向可能产生裂缝时,其计算宽度应取腹板宽度b。
5.2.5 当地基与结构的相互作用对结构的内力和变形有显著影响时,结构分析中宜考虑地基与结构相互作用的影响。
5.3 弹性分析
5.3.1 结构的弹性分析方法可用于正常使用极限状态和承载能力极限状态作用效应的分析。
5.3.2 结构构件的刚度可按下列原则确定:
1 混凝土的弹性模量可按本规范表4.1.5采用;
2 截面惯性矩可按匀质的混凝土全截面计算;
3 端部加腋的杆件,应考虑其截面变化对结构分析的影响;
4 不同受力状态下构件的截面刚度,宜考虑混凝土开裂、徐变等因素的影响予以折减。
5.3.3 混凝土结构弹性分析宜采用结构力学或弹性力学等分析方法。体形规则的结构,可根据作用的种类和特性,采用适当的简化分析方法。
5.3.4 当结构的二阶效应可能使作用效应显著增大时,在结构分析中应考虑二阶效应的不利影响。
混凝土结构的重力二阶效应可采用有限元分析方法计算,也可采用本规范附录B的简化方法。当采用有限元分析方法时,宜考虑混凝土构件开裂对构件刚度的影响。
5.3.5 当边界支承位移对双向板的内力及变形有较大影响时,在分析中宜考虑边界支承竖向变形及扭转等的影响。
5.4 塑性内力重分布分析
5.4.1 混凝土连续梁和连续单向板,可采用塑性内力重分布方法进行分析。
重力荷载作用下的框架、框架-剪力墙结构中的现浇梁以及双向板等,经弹性分析求得内力后,可对支座或节点弯矩进行适度调幅,并确定相应的跨中弯矩。
5.4.2 按考虑塑性内力重分布分析方法设计的结构和构件,应选用符合本规范第4.2.4条规定的钢筋,并应满足正常使用极限状态要求且采取有效的构造措施。
对于直接承受动力荷载的构件,以及要求不出现裂缝或处于三a、三b类环境情况下的结构,不应采用考虑塑性内力重分布的分析方法。
5.4.3 钢筋混凝土梁支座或节点边缘截面的负弯矩调幅幅度不宜大于25%;弯矩调整后的梁端截面相对受压区高度不应超过0.35,且不宜小于0.10。
钢筋混凝土板的负弯矩调幅幅度不宜大于20%。
预应力混凝土梁的弯矩调幅幅度应符合本规范第10.1.8条的规定。
5.4.4 对属于协调扭转的混凝土结构构件,受相邻构件约束的支承梁的扭矩宜考虑内力重分布的影响。
考虑内力重分布后的支承梁,应按弯剪扭构件进行承载力计算。
注:当有充分依据时,也可采用其他设计方法。
5.5 弹塑性分析
5.5.1 重要或受力复杂的结构,宜采用弹塑性分析方法对结构整体或局部进行验算。结构的弹塑性分析宜遵循下列原则:
1 应预先设定结构的形状、尺寸、边界条件、材料性能和配筋等;
2 材料的性能指标宜取平均值,并宜通过试验分析确定,也可按本规范附录C的规定确定;
3 宜考虑结构几何非线性的不利影响;
4 分析结果用于承载力设计时,宜考虑抗力模型不定性系数对结构的抗力进行适当调整。
5.5.2 混凝土结构的弹塑性分析,可根据实际情况采用静力或动力分析方法。结构的基本构件计算模型宜按下列原则确定:
1 梁、柱、杆等杆系构件可简化为一维单元,宜采用纤维束模型或塑性铰模型;
2 墙、板等构件可简化为二维单元,宜采用膜单元、板单元或壳单元;
3 复杂的混凝土结构、大体积混凝土结构、结构的节点或局部区域需作精细分析时,宜采用三维块体单元。
5.5.3 构件、截面或各种计算单元的受力-变形本构关系宜符合实际受力情况。某些变形较大的构件或节点进行局部精细分析时,宜考虑钢筋与混凝土间的粘结-滑移本构关系。
钢筋、混凝土材料的本构关系宜通过试验分析确定,也可按本规范附录C采用。
5.6 塑性极限分析
5.6.1 对不承受多次重复荷载作用的混凝土结构,当有足够的塑性变形能力时,可采用塑性极限理论的分析方法进行结构的承载力计算,同时应满足正常使用的要求。
5.6.2 整体结构的塑性极限分析计算应符合下列规定:
1 对可预测结构破坏机制的情况,结构的极限承载力可根据设定的结构塑性屈服机制,采用塑性极限理论进行分析;
2 对难于预测结构破坏机制的情况,结构的极限承载力可采用静力或动力弹塑性分析方法确定;
3 对直接承受偶然作用的结构构件或部位,应根据偶然作用的动力特征考虑其动力效应的影响。
5.6.3 承受均布荷载的周边支承的双向矩形板,可采用塑性铰线法或条带法等塑性极限分析方法进行承载能力极限状态的分析与设计。
5.7 间接作用分析
5.7.1 当混凝土的收缩、徐变以及温度变化等间接作用在结构中产生的作用效应可能危及结构的安全或正常使用时,宜进行间接作用效应的分析,并应采取相应的构造措施和施工措施。
5.7.2 混凝土结构进行间接作用效应的分析,可采用本规范第5.5节的弹塑性分析方法;也可考虑裂缝和徐变对构件刚度的影响,按弹性方法进行近似分析。
6 承载能力极限状态计算
6.1 一般规定
6.1.1 本章适用于钢筋混凝土构件、预应力混凝土构件的承载能力极限状态计算;素混凝土结构构件设计应符合本规范附录D的规定。
深受弯构件、牛腿、叠合式构件的承载力计算应符合本规范第9章的有关规定。
6.1.2 对于二维或三维非杆系结构构件,当按弹性或弹塑性分析方法得到构件的应力设计值分布后,可根据主拉应力设计值的合力在配筋方向的投影确定配筋量,按主拉应力的分布区域确定钢筋布置,并应符合相应的构造要求;当混凝土处于受压状态时,可考虑受压钢筋和混凝土共同作用,受压钢筋配置应符合构造要求。
6.1.3 采用应力表达式进行混凝土结构构件的承载能力极限状态验算时,应符合下列规定:
1 应根据设计状况和构件性能设计目标确定混凝土和钢筋的强度取值。
2 钢筋应力不应大于钢筋的强度取值。
3 混凝土应力不应大于混凝土的强度取值;多轴应力状态混凝土强度取值和验算可按本规范附录C. 4的有关规定进行。
6.2 正截面承载力计算
Ⅰ正截面承载力计算的一般规定
6.2.1 正截面承载力应按下列基本假定进行计算:
1 截面应变保持平面。
2 不考虑混凝土的抗拉强度。
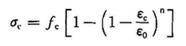
3 混凝土受压的应力与应变关系按下列规定取用:
当εc≤ε0时

[6.2.1-1]
当ε0≤εc≤εcu时
σc = fc [6.2.1-2]

[6.2.1-3]
ε0 = 0.002+0.5( fcu,k-50) ×10-5 [6.2.1-4]
εcu = 0.0033-( fcu,k-50) ×10-5 [6.2.1-5]
式中:σc——混凝土压应变为εc时的混凝土压应力;
fc——混凝土轴心抗压强度设计值,按本规范表4.1.4-1采用;
ε0 ——混凝土压应力达到fc 时的混凝土压应变,当计算的εo值小于0.002时,取为0.002;
εcu ——正截面的混凝土极限压应变,当处于非均匀受压且按公式(6.2.1-5)计算的值大于0.0033时,取为0.0033;当处于轴心受压时取为εo ;
fcu,k——混凝土立方体抗压强度标准值,按本规范第4.1.1条确定;
n——系数,当计算的n值大于2.0时,取为2.0。
4 纵向受拉钢筋的极限拉应变取为0.01。
5 纵向钢筋的应力取钢筋应变与其弹性模量的乘积,但其值应符合下列要求:

式中:δst、δpt——第i层纵向普通钢筋、预应力筋的应力,正值代表拉应力,负值代表压应力;
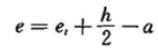
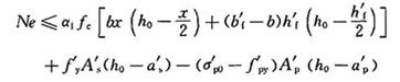
δp0t——第i层纵向预应力筋截面重心处混凝土法向应力等于零时的预应力筋应力,按本规范公式(10.1.6-3)或公式(10.1.6-6)计算;
fy、fpy——普通钢筋、预应力筋抗拉强度设计值,按本规范表4.2.3-1、表4.2.3-2采用;
f'y、f'py——普通钢筋、预应力筋抗压强度设计值,按本规范表4.2.3-1、表4.2.3-2采用;
6.2.2 在确定中和轴位置时,对双向受弯构件,其内、外弯矩作用平面应相互重合;对双向偏心受力构件,其轴向力作用点混凝土和受压钢筋的合力点以及受拉钢筋的合力点应在同一条直线上。当不符合上述条件时,尚应考虑扭转的影响。
6.2.3 弯矩作用平面内截面对称的偏心受压构件,当同一主轴方向的杆端弯矩比M1/M2不大于0.9 且设计轴压比不大于0.9 时,若构件的长细比满足公式(6.2.3)的要求,可不考虑轴向压力在该方向挠曲杆件中产生的附加弯矩影响;否则应根据本规范第6.2.4条的规定,按截面的两个主轴方向分别考虑轴向压力在挠曲杆件中产生的附加弯矩影响。

式中:M1、M2——分别为已考虑侧移影响的偏心受压构件两端截面按结果弹性分析确定的对同一主轴的组合弯矩设计值,绝对值较大端为M2,绝对值较小端为M1,当构件按单曲率弯曲时,M1/M2取正值,否则取负值;
Lc——构件的计算长度,可近似取偏心受压构件相应主轴方向上下支撑点之间的距离;
i-偏心方向的截面回转半径。
6.2.4 除排架结构柱外,其他偏心受压构件考虑轴向压力在挠曲杆件中产生的二阶效应后控制截面的弯矩设计值,应按下列公式计算:

[6.2.4-1]

(6.2.4-2)

(6.2.4-3)

(6.2.4-4)
当Cmηns小于1.0时取1.0;对剪力墙及核心筒墙,可取Cmηns等于1.0。
式中:Cm——构件端截面偏心距调节系数,当小于0.7时取0.7;
ηns——弯矩增大系数;
N——与弯矩设计值M2相应的轴向压力设计值;
ea——附加偏心距,按本规范第6.2.5条确定;
ζc——截面曲率修正系数,当计算值大于1.0时取1.0;
h——截面高度;对环形截面,取外直径;对圆形截面,取直径;
h0——截面有效高度;对环形截面,取h0=γ2+γs;对圆形截面,取h0=γ+γs;此处,γ、γ2和γs按本规范第E.0.3条和第E.0.4条确定;
A——构件截面面积。
6.2.5 偏心受压构件的正截面承载力计算时,应计入轴向压力在偏心方向存在的附加偏心距ea,其值应取20mm和偏心方向截面最大尺寸的1/30两者中的较大值。
6.2.6 受弯构件、偏心受力构件正截面承载力计算时,受压区混凝土的应力图形可简化为等效的矩形应力图。
矩形应力图的受压区高度x可取截面应变保持平面的假定所确定的中和轴高度乘以系数β1。当混凝土强度等级不超过C50时,β1取为0.80,当混凝土强度等级为C80时,β1取为0.74,其间按线性内插法确定。
矩形应力图的应力值可由混凝土轴心抗压强度设计值fc乘以系数α1确定。当混凝土强度等级不超过C50时,α1取为1.0,当混凝土强度等级为C80时,α1取为0.94,其间按线性内插法确定。
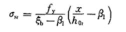
6.2.7 纵向受拉钢筋屈服与受压区混凝土破坏同时发生时的相对界限受压区高度ζb应按下列公式计算:
1 钢筋混凝土构件
有屈服点普通钢筋

[6.2.7-1]
无屈服点普通钢筋

[6.2.7-2]
3 预应力混凝土构件

[6.2.7-3]
式中:ζb——相对界限受压区高度,取xb/h0;
xb——界限受压区高度;
h0——截面有效高度:纵向受拉钢筋合力点至截面受压边缘的距离;
ES——钢筋弹性模量,按本规范表4.2.5采用;
σp0——受拉区纵向预应力筋合力点处混凝土法向应力等于零时的预应力筋应力,按本规范公式(10.1. 6—3)或公式(10.1.6—6)计算;
εcu——非均匀受压时的混凝土极限压应变,按本规范公式(6.2.1—5)计算;
β1——系数,按本规范第6.2.6条的规定计算。
注:当截面受拉区内配置有不同种类或不同预应力值的钢筋时,受弯构件的相对界限受压区高度应分别计算,并取其较小值。
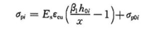
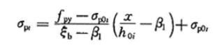
6.2.8 纵向钢筋应力应按下列规定确定:
1 纵向钢筋应力宜按下列公式计算:
普通钢筋

[6.2.8-1]
预应力筋

[6.2.8-2]
2 纵向钢筋应力也可按下列近似公式计算:
普通钢筋

[6.2.8-3]
预应力筋

[6.2.8-4]
3 按公式(6.2.8-1)~公式(6.2.8-4)计算的纵向钢筋应力应符合本规范第6.2.1条第5款的相关规定。
式中:h0i——第i层纵向钢筋截面重心至截面受压边缘的距离;
x——等效矩形应力图形的混凝土受压区高度;
σst、σpt——第i层纵向普通钢筋、预应力筋的应力,正值代表拉应力,负值代表压应力;
σp0i——第i层纵向预应力筋截面重心处混凝土法向应力等于零时的预应力筋应力,按本规范公式(10.1.6-3)或公式(10.1.6-6)计算。
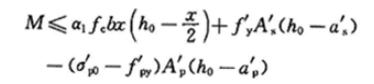
内6.2.9 矩形、I形、T形截面构件的正截面承载力可按本节规定计算;任意截面、圆形及环形截面构件的正截面承载力可按本规范附录E的规定计算。
Ⅱ正截面受弯承载力计算
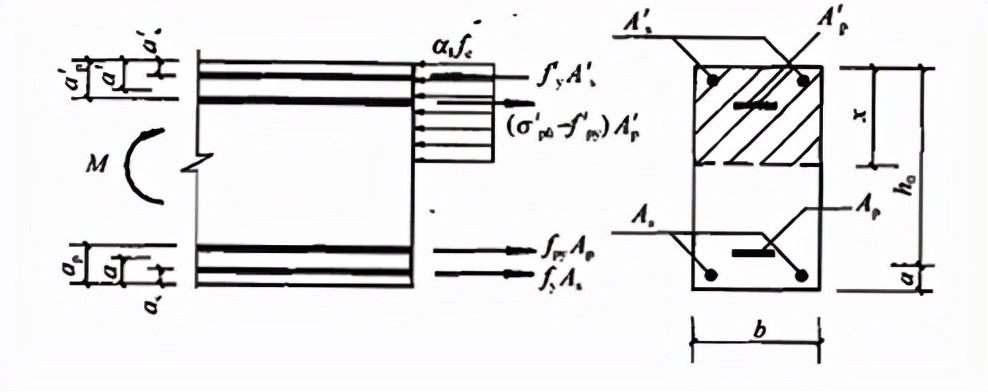
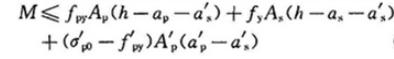
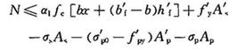
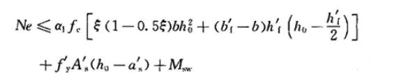
6.2.10 矩形截面或翼缘位于受拉边的倒T形截面受弯构件,其正截面受弯承载力应符合下列规定(图6.2.10):

图6.2.10 矩形截面受弯构件正截面受弯承载力计算

[6.2.10-1]
混凝土受压区高度应按下列公式确定:

(6.2.10-2)
混凝土受压区高度尚应符合下列条例:

式中:M——弯矩设计值;
α1——系数,按本规范第6.2.6条的规定计算;
fc——混凝土轴心抗压强度设计值,按本规范表4.1.4-1采用;
As、A's——受拉区、受压区纵向普通刚进的截面面积;
Ap、A'p——受拉区、受压区纵向预应力筋的截面面积;
δ'p0——受压区纵向预应力筋合力点处混凝土法向应力等于零时的预应力筋应力;
b——矩形截面的宽度或倒T形截面的腹板宽度;
h0——截面有效高度;
α's、α'p——受压区纵向普通钢筋合力点、预应力筋合力点至截面受压边缘的距离;
α'——受压区全部纵向钢筋合力点截面受压边缘的距离,当受压区未配置纵向预应力筋或受压区纵向预应力筋应力(δ`po—f`py)为拉应力时,公式(6.2.10-4)中的α'用α'x代替。
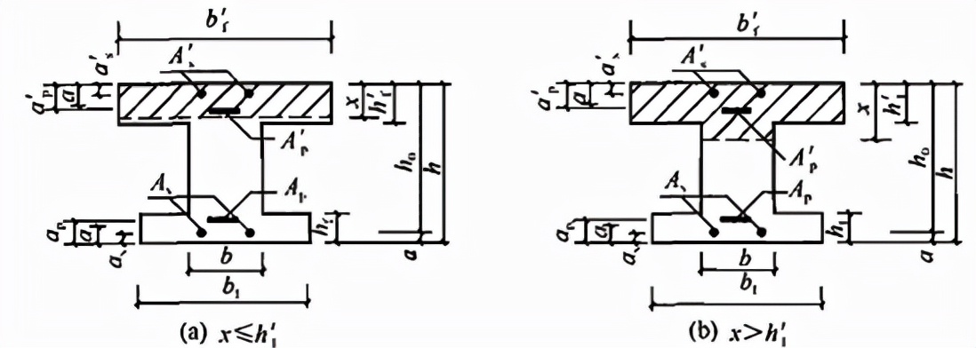
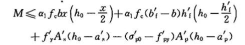
6.2.11翼缘位于受压区的T形、I形截面受弯构件(图6.2.11),其正截面受弯承载力计算应符合下列规定:

图6.2.11 I形截面受弯构件受压区高度位置
1 当满足下列条件时,应按宽度为b`f的矩形截面计算:

[6.2.11-1]
2 当不满足公式(6.2.11-1)的条件时,应按下列公式计算:

[6.2.11-2]
混凝土受压区高度应按下列公式确定:

[6.2.11-3]
式中;h'f——T形、I形截面受压区的翼缘高度;
b'f——T形、I形截面受压区的翼缘计算宽度,按本规范第6.2.12条的规定确定。
6.2.12 T形、I形及倒L形截面受弯构件位于受压区的翼缘计算宽度b'f可按本规范表5.2.4所列情况中的最小值取用。
6.2.13 受弯构件正截面受弯承载力计算应符合本规范公式(6.2.10—3)的要求。当由构造要求或按正常使用极限状态验算要求配置的纵向受拉钢筋截面面积大于受弯承载力要求的配筋面积时,按本规范公式(6.2.10—2)或公式(6.2.11—3)计算的混凝土受压区高度x,可仅计入受弯承载力条件所需的纵向受拉钢筋截面面积。
6.2.14 当计算中计入纵向普通受压钢筋时,应满足本规范公式(6.2.10—4)的条件;当不满足此条件时,正截面受弯承载力应符合下列规定:

[6.2.14]
式中:αs、αp——受拉区纵向普通钢筋、预应力筋至受拉边缘的距离。
Ⅲ 正截面受压承载力计算
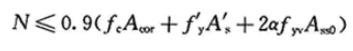
6.2.15 钢筋混凝土轴心受压构件,当配置的箍筋符合本规范第9.3节的规定时,其正截面受压承载力应符合下列规定(图6.2.15):

[6.2.15]
式中:N——轴向压力设计值;
φ——钢筋混凝土构件的稳定系数,按表6.2.15采用;
fc——混凝土轴心抗压强度设计值,按本规范表4.1.4-1采用;
A——构件截面面积;
A's——全部纵向普通钢筋的截面面积。
当纵向普通钢筋的配筋率大于3%时,公式(6.2.15)中A应改用(A-A's)代替。
表 6.2.15钢筋混凝土轴心受压构件的稳定系数

注:1 l0为构件的计算长度,对钢筋混凝土柱可按本规范第6.2.20条的规定取用;
2 b为矩形截面的短边尺寸,d为圆形界面的直径,i 为截面的最小回转半径。

图6.2.15 配置箍筋的钢筋混凝土轴心受压构件
6.2.16 钢筋混凝土轴心受压构件,当配置的螺旋式或焊接环式间接钢筋符合本规范第9.3.2条的规定时,其正截面受压承载力应符合下列规定(图6.2.16):

[6.2.16-1]

(6.2.16-2)

图6.2.16配置螺旋式间接钢筋的钢筋混凝土轴心受压构件
式中:fyv——间接钢筋的抗拉强度设计值,按本规范第4.2.3条的规定采用;
Acor——构件的核心截面面积,取间接钢筋内表面范围内的混凝土截面面积;
Ass0——螺旋式或焊接环式间接钢筋的换算截面面积;
dcor——构件的核心截面直径,取间接钢筋内表面之间的距离;
Assl——螺旋式或焊接环式单根间接钢筋的截面面积;
s——间接钢筋沿构件轴线方向的间距;
α——间接钢筋对混凝土约束的折减系数:当混凝土强度等级不超过C50时,取1.0,当混凝土强度等级为C80时,取0.85,其间按线性内插法确定。
注:1 按公式(6.2.16—1)算得的构件受压承载力设计值不应大于按本规范公式(6.2.15)算得的构件受压承载力设计值的1.5倍;
2 当遇到下列任意一种情况时,不应计入间接钢筋的影响,而应按本规范第6.2.15条的规定进行计算:
1)当l0/d>12时;
2)当按公式(6.2.16—1)算得的受压承载力小于按本规范公式(6.2.15)算得的受压承载力时;
3)当间接钢筋的换算截面面积Ass0小于纵向普通钢筋的全部截面面积的25%时。
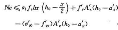
6.2.17 矩形截面偏心受压构件正截面受压承载力应符合下列规定(图6.2.17):

图6.2.17 矩形截面偏心受压构件正截面受压承载力计算
1-截面重心轴

[6.2.17-1]

[6.2.17-2]

(6.2.17-3)

(6.2.17-4)
式中:e——轴向压力作用点至纵向受拉普通钢筋和受拉预应力筋的合力点的距离;
σs、σp——受拉边或受压较小边的纵向普通钢筋、预应力的应力;
e1——初始偏心距;
α——纵向受拉普通钢筋和受拉预应力筋的合力点至截面近边缘的距离;
e0——轴向压力对截面重心的偏心距,取为M/N,当需要考虑二阶段效应时,M为按本规范第5.3.4条、第6.2.4条规定确定的弯矩设计值;
ea——附加偏心距,按本规范第6.2.5条确定。
按上述规定计算时,尚应符合下列要求:
1钢筋的应力σs、σp可按下列情况确定:

式中:e'——轴向压力作用点至受压区纵向普通钢筋和预应力筋的合力点的距离;
h'0——纵向受压钢筋合力点至截面远边的距离。

6.2.18 I形截面偏心受压构件的受压翼缘计算宽度b'f应按本规范第6.2.12条确定,其正截面受压承载力应符合下列规定:
1 当受压区高度x不大于 h'f时,应按宽度为受压翼缘计算宽度b'f的矩形截面计算。
2 当受压区高度x大于 h'f时,(图6.2.18)应符合下列规定:


[6.2.18-1]

[6.2.18-2]
公式中的钢筋应力σs、σp以及是否考虑纵向受压普通钢筋的作用,均应按本规范第6.2.17条的有关规定确定。
3 当x大于(h-hf)时,其正截面受压承载力计算应计入受压较小边翼缘受压部分的作用,此时,受压较小边翼缘计算宽度bf应按本规范第6.2.12条确定。
4 对采用非对称配筋的小偏心受压构件,当N大于fcA时,尚应按下列公式进行验算:

[6.2.18-3]

(6.2.18-4)
式中:y'——截面重心至离轴向压力较近一侧受压边的距离,当截面对称时,取h/2。
注:对仅在离轴向压力较劲一侧有翼缘的T形截面,可取bf为b;对尽在离轴向压力较远一侧有翼缘的倒T形截面,可取b'f为b。
6.2.19 沿截面腹部均匀配置纵向普通钢筋的矩形、T形或I形截面钢筋混凝土受压构件(图6.2.19),其正截面受压承载力宜符合下列规定:

[6.2.19-1]

[6.2.19-2]

[6.2.19-3]

[6.2.19-4]
式中:Asw——沿截面腹部均匀配置的全部纵向普通钢筋截面面积;
fyw——沿截面腹部均匀配置的纵向普通钢筋强度设计值,按本规范表4.2.3-1采用;
Nsw——沿截面腹部均匀配置的纵向普通钢筋所承担的轴向压力,当ξ大于β1时,取β1进行计算;
Msw——沿截面腹部均匀配置的纵向普通钢筋的内力对As重心的力矩,当ξ大于β1时,取β1为进行计算;

受拉边或受压较小边普通钢筋As中的应力σs以及在计算中是否考虑受压普通钢筋和受压较小边翼缘受压部分的作用,应按本规范第6.2.17条和第6.2.18条的有关规定确定。

图6.2.19 沿截面腹部均匀配筋的I形截面
注:本条适用于截面腹部均匀配置纵向普通钢筋的数量每侧不少于4根的情况。
6.2.20 轴心受压和偏心受压柱的计算长度l0可按下列规定确定:
1 刚性屋盖单层房屋排架柱、露天吊车柱和栈桥柱,其计算长度l0可按表6. 2. 20—1取用。
表6.2.20-1 刚性覆盖单层房屋排架柱、露天吊车柱和栈桥柱的计算长度

注:1 表中H为从基础顶面算起的柱子全高;Hl为从基础顶面至装配式吊车梁底面或现浇式吊车梁顶面的柱子下部高度;Hu为从装配式吊车梁底面或从现浇式吊车梁顶面算起的柱子上部高度;
2 表中有吊车房屋排架柱的计算长度,当计算中不考虑吊车荷载时,可按无吊车房屋柱的计算长度采用,但上柱的计算长度仍可按有吊车房屋采用;
3 表中有吊车房屋排架柱的上柱在排架方向的计算长度,仅适用于Hu/Hl不小于0.3的情况;当Hu/Hl小于0.3时,计算长度宜采用2.5Hu。
2 一般多层房屋中梁柱为刚接的框架结构,各层柱的计算长度l0可按表6.2.20—2取用。
表6.2.20-2框架结构各层柱的计算长度

注:表中H为底层柱从基础顶面到一层楼盖顶面的高度;对其余各层柱为上下两层楼盖顶面之间的高度。
6.2.21 对截面具有两个互相垂直的对称轴的钢筋混凝土双向偏心受压构件(图6.2.21),其正截面受压承载力可选用下列两种方法之一进行计算:
1 按本规范附录E的方法计算,此时,附录E公式(E.0.1—7)和公式(E.0.1—8)中的Mx、My应分别用Neix、Neiy代替,其中,初始偏心距应按下列公式计算:

图6.2.21 双向偏心受压构件截面
1--轴向压力作用点;2--受压区

[6.2.21-1]

[6.2.21-2]
式中:e0x、e0y——轴向压力对通过截面重心的y轴、x轴的偏心距,即M0x/N、M0y/N;
M0x、M0y——轴向压力在x轴、y轴方向的弯矩设计值为按本规范第5.3.4条、6.2.4条规定确定的弯矩设计值;
eax、eay——x轴、y轴方向上的附加偏心距,按本规范第6.2.5条的规定确定;
2 按下列近似公式计算:

[6.2.21-3]
式中:Nu0——构件的截面轴心受压承载力设计值;
Nux——轴向压力作用于x轴并考虑相应的计算偏心距eix后,按全部纵向普通钢筋计算的构件偏心受压承载力设计值;
Nuy——轴向压力作用于y轴并考虑相应的计算偏心距eiy后,按全部纵向普通钢筋计算的构件偏心受压承载力设计值。
构件的截面轴心受压承载力设计值Nu0,可按本规范公式(6.2.15)计算,但应取等号,将N以Nu0代替,且不考虑稳定系数φ及系数0.9。
构件的偏心受压承载力设计值Nux,可按下列情况计算:
1)当纵向普通钢筋沿截面两对边配置时,Nux可按本规范第6.2.17条或第6.2.18条的规定进行计算,但应取等号,将N以Nux代替。
2)当纵向普通钢筋沿截面腹部均匀配置时,Nux可按本规范第6.2.19条的规定进行计算,但应取等号,将N以Nux代替。
构件的偏心受压承载力设计值Nuy可采用与Nux相同的方法计算。
Ⅳ 正截面受拉承载力计算
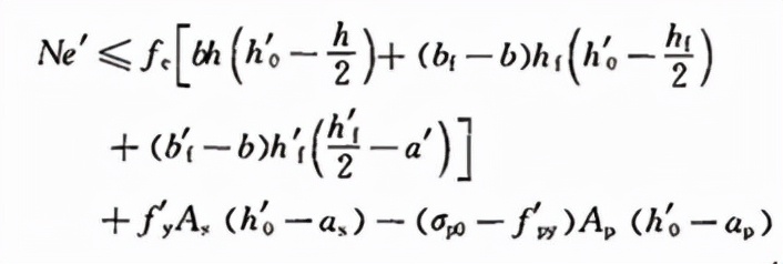
6.2.22 轴心受拉构件的正截面受拉承载力应符合下列规定:
N≤fyAs+fpyAp [6.2.22]
式中:N——轴向拉力设计值;
As、Ap——纵向普通钢筋、预应力筋的全部截面面积。
6.2.23 矩形截面偏心受拉构件的正截面受拉承载力应符合下列规定:
1 小偏心受拉构件

[6.2.23-1]

[6.2.23-2]
当轴向拉力作用在钢筋As与Ap的合力点和A's与A'p的合力点之间时(图6.2.23a):
2 大偏心受拉构件
当轴向拉力不作用在钢筋As与Ap的合力点和A's与A'p的合力点之间时(图6.2.23b):

[6.2.23-3]

[6.2.23-4]
此时,混凝土受压区的高度应满足本规范公式(6.2.10-3)的要求。当计算中计入纵向受压普通钢筋时,尚应满足本规范公式(6.2.10-4)的条件;当不满足时,可按公式(6.2.23-2)计算。
3 对称配筋的矩形截面偏心受拉构件,不论大、小偏心受拉情况,均可按公式(6.2.23-2)计算。

(a)小偏心受拉构件

(b)大偏心受拉构件
图6.2.23 矩形截面偏心受拉构件正截面受拉承载力计算
6.2.24 沿截面腹部均匀配置纵向普通钢筋的矩形、T形或I形截面钢筋混凝土偏心受拉构件,其正截面受拉承载力应符合本规范公式(6.2.25—1)的规定,式中正截面受弯承载力设计值Mu可按本规范公式(6.2.19—1)和公式(6.2.19—2)进行计算,但应取等号,同时应分别取N为0和以Mu代替Nei。
6.2.25 对称配筋的矩形截面钢筋混凝土双向偏心受拉构件,其正截面受拉承载力应符合下列规定:

[6.2.25-1]
式中:Nu0——构件的轴心受拉承载力设计值;
e0——轴向拉力作用点至截面中心的距离;
Mu——按通过轴向拉力作用点的弯矩平面计算的正截面受弯承载力设计值。
构件的轴心受拉承载力设计值Nu0,按本规范公式(6.2.22)计算,但应取等号,并以Nu0代替N。按通过轴向拉力作用点的弯矩平面计算的正截面受弯承载力设计值Mu,可按本规范第6.2节(I)的有关规定进行计算。
公式(6.2.25-1)中的e0/Mu也可按下列公式计算:

[6.2.25-2]
式中:e0x、e0y——轴向拉力对截面重心y轴、x轴的偏心距;
Mux、Muy——x轴、y轴方向的正截面受弯承载力设计值,按本规范第6.2节(II)的规定计算。
6.3 斜截面承载力计算
6.3.1 矩形、T形和I形截面受弯构件的受剪截面应符合下列条件:
当hw/b≤4时
V≤0.25βcfcbh0 [6.3.1-1]
当hw/b≥6时
V≤0.2βcfcbh0 [6.3.1-2]
当4<hw/b<6时,按线性内插法确定。
式中:V——构件斜截面上的最大剪力设计值;
βc——混凝土强度影响系数:当混凝土强度等级不超过C50时,βc取1.0;当混凝土强度等级为C80时,βc取0.8;其间按线性内插法确定;
b——矩形截面的宽度,T形截面或I形截面的腹板宽度;
h0——截面的有效高度;
hw——截面的腹板高度:矩形截面,取有效高度;T形截面,取有效高度减去翼缘高度;I形截面,取腹板净高。
注:1 对T形或I形截面的简支受弯构件,当有实践经验时,公式(6.3.1—1)中的系数可改用0.3;
2 对受拉边倾斜的构件,当有实践经验时,其受剪截面的控制条件可适当放宽。
6.3.2 计算斜截面受剪承载力时,剪力设计值的计算截面应按下列规定采用:
1 支座边缘处的截面(图6.3.2a、b截面1—1);
2 受拉区弯起钢筋弯起点处的截面(图6.3.2a截面2—2、3—3);

图6.3.2 斜截面受剪承载力剪力设计值的计算截面
1-1支座边缘处的斜截面;
2-2、3-3受拉区弯起钢筋弯起点的斜截面;
4-4箍筋截面面积或间距改变处的斜截面。
3 箍筋截面面积或间距改变处的截面(图6.3.2b截面4—4);
4 截面尺寸改变处的截面。
注:1 受拉边倾斜的受弯构件,尚应包括梁的高度开始变化处、集中荷载作用处和其他不利的截面;
2 箍筋的间距以及弯起钢筋前一排(对支座而言)的弯起点至后一排的弯终点的距离,应符合本规范第9.2.8条和第9.2.9条的构造要求。
6.3.3 不配置箍筋和弯起钢筋的一般板类受弯构件,其斜截面受剪承载力应符合下列规定:

[6.3.3-1]

(6.3.3-2)
式中:βh——截面高度影响系数:当h0小于800mm时,取800mm;当h0大于2000mm时,取2000mm。
6.3.4 当仅配置箍筋时,矩形、T形和I形截面受弯构件的斜截面受剪承载力应符合下列规定:

[6.3.4-1]

(6.3.4-2)

(6.3.4-3)
式中:Vcs——构件斜截面上混凝土和箍筋的受剪承载力设计值;
VP——由预加力所提高的构件受剪承载力设计值;
αcv——斜截面混凝土受剪承载力系数,对于一般受弯构件取0.7;对集中荷载作用下(包括作用有多种荷载,其中集中荷载对支座截面或节点边缘所产生的剪力值占总剪力的75%以上的情况)的独立梁,取αcv为

,λ为计算截面的剪跨比,可取λ等于α/h0,当λ小于1.5时,取1.5,当λ大于3时,取3;α取集中荷载作用点至支座截面或节点边缘的距离;
Asv——配置在同一截面内箍筋各肢的全部截面面积,即nAsvl,此处,n为在同一个截面内箍筋的肢数,Asvl为单肢箍筋的截面面积;
s——沿构件长度方向的箍筋间距;
fyv——箍筋的抗拉强度设计值,按本规范第4.2.3条的规定采用;
Np0——计算截面上混凝土法向预应力等于零时的预加力,按本规范第10.1.13条计算;当Np0大于0.3fcA0时,取0.3fcA0,此处,A0为构件的换算截面面积。
注:1 对预加力Np0引起的截面弯矩与外弯矩方向相同的情况,以及预应力混凝土连续梁和允许出现裂缝的预应力混凝土简支梁,均应取Vp为0;
2 先张法预应力混凝土构件,在计算预加力Np0时,应按本规范第7.1.9条的规定考虑预应力筋传递长度的影响。
6.3.5 当配置箍筋和弯起钢筋时,矩形、T形和I形截面受弯构件的斜截面受剪承载力应符合下列规定:
V≤Vcs+VP+0.8fyvAsbsinαs+0.8fpyApbsinαp [6.3.5]
式中:V——配置弯起钢筋处的剪力设计值,按本规范第6.3.6条的规定取用;
VP——由预加力所提高的构件受剪承载力设计值,按本规范公式(6.3.4—3)计算,但计算预加力Np0时不考虑弯起预应力筋的作用;
Asb、Apb——分别为同一平面内的弯起普通钢筋、弯起预应力筋的截面面积;
αs、αp——分别为斜截面上弯起普通钢筋、弯起预应力筋的切线与构件纵轴线的夹角。
6.3.6 计算弯起钢筋时,截面剪力设计值可按下列规定取用(图6.3.2a):
1 计算第一排(对支座而言)弯起钢筋时,取支座边缘处的剪力值;
2 计算以后的每一排弯起钢筋时,取前一排(对支座而言)弯起钢筋弯起点处的剪力值。
6.3.7 矩形、T形和I形截面的一般受弯构件,当符合下式要求时,可不进行斜截面的受剪承载力计算,其箍筋的构造要求应符合本规范第9.2.9条的有关规定。
V≤αcvftbh0+0.05Np0 [6.3.7]
式中:αcv——截面混凝土受剪承载力系数,按本规范第6.3.4条的规定采用。
6.3.8 受拉边倾斜的矩形、T形和I形截面受弯构件,其斜截面受剪承载力应符合下列规定(图6.3.8):

图6.3.8受拉边倾斜的受弯构件的斜截面受剪承载力计算

[6.3.8-1]

[6.3.8-2]
式中:M——构件斜截面受压区末端的弯矩设计值;
Vcs——构件斜截面上混凝土和箍筋的受剪承载力设计值,按本规范公式(6.3.4—2)计算,其中h0取斜截面受拉区始端的垂直截面有效高度;
Vsp——构件截面上受拉边倾斜的纵向非预应力和预应力受拉钢筋的合力设计值在垂直方向的投影:对钢筋混凝土受弯构件,其值不应大于fyAssinβ;对预应力混凝土受弯构件,其值不应大于(fpyAp+fyAs)sinβ,且不应小于σpeApsinβ;
zsv——同一截面内箍筋的合力至斜截面受压区合力点的距离;
zsb——同一弯起平面内的弯起普通钢筋的合力至斜截面受压区合力点的距离;
z——斜截面受拉区始端处纵向受拉钢筋合力的水平分力至斜截面受压区合力点的距离,可近似取为0.9h0;
β——斜截面受拉区始端处倾斜的纵向受拉钢筋的倾角;
c——斜截面的水平投影长度,可近似取为h0。
注:在梁截面高度开始变化处,斜截面的受剪承载力应按等截面高度梁和变截面高度梁的有关公式分别计算,并应按不利者配置箍筋和弯起钢筋。
6.3.9 受弯构件斜截面的受弯承载力应符合下列规定(图6.3.9):
M≤(fyAs+fpyAp)z+∑fyAsbzsb+∑fpyApbzpb+∑fyvAsvzsv (6.3.9一1)
此时,斜截面的水平投影长度c可按下列条件确定:
V=∑fyAsbsinαs+∑fpyApbsinαp+∑fyvAsv (6.3.9—2)
式中:V——斜截面受压区末端的剪力设计值;
z——纵向受拉普通钢筋和预应力筋的合力点至受压区合力点的距离,可近似取为0.9h0;
zsb、zpb——分别为同一弯起平面内的弯起普通钢筋、弯起预应力筋的合力点至斜截面受压区合力点的距离;
zsv——同一斜截面上箍筋的合力点至斜截面受压区合力点的距离。
在计算先张法预应力混凝土构件端部锚固区的斜截面受弯承载力时,公式中的fpy应按下列规定确定:锚固区内的纵向预应力筋抗拉强度设计值在锚固起点处应取为零,在锚固终点处应取为fpy,在两点之间可按线性内插法确定。此时,纵向预应力筋的锚固长度la应按本规范第8.3.1条确定。

6.3.10 受弯构件中配置的纵向钢筋和箍筋,当符合本规范第8.3.1条~第8.3.5条、第9.2.2条~第9.2.4条、第9.2.7条~第9.2.9条规定的构造要求时,可不进行构件斜截面的受弯承载力计算。
6.3.11 矩形、T形和I形截面的钢筋混凝土偏心受压构件和偏心受拉构件,其受剪截面应符合本规范第6.3.1条的规定。
6.3.12 矩形、T形和I形截面的钢筋混凝土偏心受压构件,其斜截面受剪承载力应符合下列规定:

[6.3.12]
式中:λ——偏心受压构件计算截面的剪跨比,取为M/(Vh0);
N——与剪力设计值V相应的轴向压力设计值,当大于0.3fcA时,取0.3fcA,此处,A为构件的截面面积。
计算截面的剪跨比λ应按下列规定取用:
1 对框架结构中的框架柱,当其反弯点在层高范围内时,可取为Hn/(2h0)。当λ小于1时,取1;当λ大于3时,取3。此处,M为计算截面上与剪力设计值V相应的弯矩设计值,Hn为柱净高。
2 其他偏心受压构件,当承受均布荷载时,取1.5;当承受符合本规范第6.3.4条所述的集中荷载时,取为α/h0,且当入小于1.5时取1.5,当λ大于3时取3。
6.3.13 矩形、T形和I形截面的钢筋混凝土偏心受压构件,当符合下列要求时,可不进行斜截面受剪承载力计算,其箍筋构造要求应符合本规范第9.3.2条的规定

[6.3.13]
式中:剪跨比λ和轴向压力设计值N应按本规范第6.3.12条确定。
6.3.14矩形、T形和I形截面的钢筋混凝土偏心受拉构件,其斜截面受剪承载力应符合下列规定:

[6.3.14]
式中:N——与剪力设计值V相应的轴向拉力设计值;
λ——计算截面的剪跨比,按本规范第6.3.12条确定。

6.3.15 圆形截面钢筋混凝土受弯构件和偏心受压、受拉构件,其截面限制条件和斜截面受剪承载力可按本规范第6.3.1条~第6.3.14条计算,但上述条文公式中的截面宽度b和截面有效高度h0应分别以1.76r和1.6r代替,此处,r为圆形截面的半径。计算所得的箍筋截面面积应作为圆形箍筋的截面面积。
6.3.16 矩形截面双向受剪的钢筋混凝土框架柱,其受剪截面应符合下列要求:

[6.3.16-1]

[6.3.16-2]
式中:Vx——x轴方向的剪力设计值,对应的截面有效高度为h0,截面宽度为b;
Vy——y轴方向的剪力设计值,对应的截面有效高度为b0,截面宽度为h;
θ——斜向剪力设计值V的作用方向与x轴的夹角,θ=arctan(Vy/Vx)。
6.3.17矩形截面双向受剪的钢筋混凝土框架柱,其斜截面受剪承载力应符合下列规定:

[6.3.17-1]

[6.3.17-2]
X轴、y轴方向的斜截面受剪承载力设计值Vux、Vuy应按下列公式计算:

[6.3.17-3]

[6.3.17-4]
式中:λx、λy——分别为框架柱x轴、y轴方向的计算剪跨比,按本规范第6.3.12条的规定确定;
Asvx、Asvy——分别为配置在同一截面内平行于x轴、y轴的箍筋各肢截面面积的总和;
N——与斜向剪力设计值V相应的轴向压力设计值,当N大于0.3fcA时,取0.3fcA,此处,A为构件的截面面积。
在计算截面箍筋时,可在公式(6.3.17-1)、公式(6.3.17-2)中Vux/Vuy等于1计算。
6.3.18矩形截面双向受剪的钢筋混凝土框架柱,当符合下列要求时,可不进行斜截面的受剪承载力计算,其构造箍筋要求应符合本规范第9.3.2条的规定。

[6.3.18-1]

[6.3.18-2]
6.3.19 矩形截面双向受剪的钢筋混凝土框架柱,当斜向剪力设计值V的作用方向与x轴的夹角θ在0°~10°或80°~90°时,可按单向受剪构件进行截面承载力计算。
6.3.20 钢筋混凝土剪力墙的受剪截面应符合下列条件:

[6.3.20]
6.3.21 钢筋混凝土剪力墙在偏心受压时的斜截面受剪承载力应符合下列规定:

[6.3.21]
式中:N——与剪力设计值V相应的轴向压力设计值,当N大于0.2fcbh时,取0.2fcbh;
A——剪力墙的截面面积;
Aw——T形、I形截面剪力墙腹板的截面面积,对矩形截面剪力墙,取为A;
Ash——配置在同一截面内的水平分布钢筋的全部截面面积;
Sv——水平分布钢筋的竖向间距;
λ——计算截面的剪跨比,取为M/Vh0;当小于1.5时,取1.5;当大于2.2时,取2.2;此处,M为与剪力设计值V相应的弯矩设计值;当计算截面与墙底之间的距离小于h0/2时,λ可按距墙底h0/2处的弯矩值与剪力值计算。
当剪力设计值V不大于公式(6.3.21)中右边第一项时,水平分布钢筋可按本规范第9.4.2条、9.4.4条、9.4.6条的构造要求配置。
6.3.22 钢筋混凝土剪力墙在偏心受拉时的斜截面受剪承载力应符合下列规定:

[6.3.22]
当上式右边的计算值小于时

,取等于

。
式中:N——与剪力设计值V相应的轴向拉力设计值;
λ——计算截面的剪跨比,按本规范第6.3.21条采用。
6.3.23 剪力墙连梁的斜截面受剪承载力计算,采用和普通框架梁一致的截面承载力计算方法。
6.4 扭曲截面承载力计算
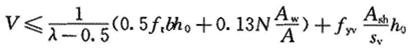
6.4.1 在弯矩、剪力和扭矩共同作用下,hw/b不大于6的矩形、T形、I形截面和hw/tw不大于6的箱形截面构件(图6.4.1),其截面应符合下列条件:
当hw/b(或hw/tw)不大于4时

当hw/b(或hw/tw)大于4但小于6时,按线性内插法确定。
式中:T——扭矩设计值;
b——矩形截面的宽度,T形或I形截面取腹板宽度,箱形截面取两侧壁总厚度2tw;
Wt——受扭构件的截面受扭塑性抵抗矩,按本规范第6.4.3条的规定计算;
hw——截面的腹板高度:对矩形截面,取有效高度h0;对T形截面,取有效高度减去翼缘高度;对I形和箱形截面,取腹板净高;
tw——箱形截面壁厚,其值不应小于bh/7,此处,bh为箱形截面的宽度。
注:当hw/b大于6或hw/tw大于6时,受扭构件的截面尺寸要求及扭曲截面承载力计算应符合专门规定

图6.4.1受扭构件截面
1-弯矩、剪力作用平面
6.4.2在弯矩、剪力和扭矩共同作用下的构件,当符合下列要求时,可不进行构建受剪扭承载力计算,但应按本规范第9.2.5条、第9.2.9条和第9.2.10条的规定配置构造纵向钢筋和箍筋。


式中:Np0——计算截面上混凝土法向预应力等于零时的预加力,按本规范第10.1.13条规定计算,当Npo大于0.3fcAo时,取0.3fcAo,此处,Ao为构件的换算截面面积;
N——与剪力、扭矩设计值V、T相应的轴向压力设计值,当N大于0.3fcA时,取0.3fcA,此处,A为构件的截面面积。
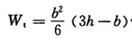
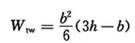
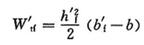
6.4.3 受扭构件的截面受扭塑性抵抗距可按下列规定计算:
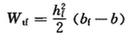
1 矩形截面

[6.4.3-1]
式中:b、h——分别为矩形截面的短边尺寸、长边尺寸。
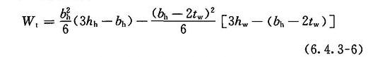
2 T形和I形截面

[6.4.3-2]
腹板、受压翼缘及受拉翼缘部分的矩形截面受扭塑性抵抗矩Wtw、W’tf和Wtf,可按下列规定计算:
1)腹板

(6.4.3-3)
2)受压翼缘

(6.4.3-4)
3)受拉翼缘

(6.4.3-5)
式中:b、h——分别为截面的腹板宽度、截面高度;
b'f、bf——分别为截面受压区、受拉区的翼缘宽度;
h'f、hf——分别为截面受压区、受拉区的翼缘高度。
计算时取用的翼缘宽度尚应符合b'f不大于b+6h'f及bf不大于b+6hf的规定。
3 箱形截面

式中:bh、hh—分别为箱形截面的短边尺寸、长边尺寸。
6.4.4 矩形截面纯扭构件的受扭承载力应符合下列规定:

[6.4.4-1]

(6.4.4-2)
偏心距ep0不大于h/6的预应力混凝土纯扭构件,当计算

的值不小于1.7时,取1.7,并可在公式(6.4.4-1)的右边增加预加力影响项0.05

Wt,此处,Np0的取值应符合本规范第6.4.2条的规定。
式中:ζ——受扭的纵向普通钢筋与箍筋的配筋强度比值,ζ值不应小于0.6,当ζ大于1.7时,取1.7;
Astl——受扭计算中取对称布置的全部纵向普通钢筋截面面积;
Ast1——受扭计算中沿截面周边配置的箍筋单肢截面面积;
fyv——受扭箍筋的抗拉强度设计值,按本规范第4.2.3条采用;
Acor——截面核心部分的面积,取为bcorhcor,此处,bcor、hcor分别为箍筋内表面范围内截面核心部分的短边、长边尺寸;
ucor——截面核心部分的周长,取2(bcor+hcor)。
注:当ζ小于1.7或ep0大于h/6时,不应考虑预加力影响项,而应按钢筋混凝土纯扭构件计算。
6.4.5 T形和I形截面纯扭构件,可将其截面划分为几个矩形截面,分别按本规范第6.4.4条进行受扭承载力计算。每个矩形截面的扭矩设计值可按下列规定计算:
1 腹板

[6.4.5-1]
2 受压翼缘

[6.4.5-2]
3 受拉翼缘

[6.4.5-3]
式中:Tw---腹板所承受的扭矩设计值;
T’f 、Tf--- 分别为受压翼缘、受拉翼缘所承受的扭矩设计值。
6.4.6 箱形截面钢筋混凝土纯扭构件的受扭承载力应符合下列规定:

[6.4.6-1]

[6.4.6-2]
式中:
αh——箱形截面壁厚影响系数,当αh大于1.0时,取1.0。
ξ——同本规范第6.4.4条。
6.4.7 在轴向压力和扭矩共同作用下的矩形截面钢筋混凝土构件,其受扭承载力应符合下列规定:

[6.4.7]
式中:N——与扭矩设计值T相应的轴向压力设计值,当N大于0.3fcA时,取0.3fcA;
ξ——同本规范第6.4.4条。
6.4.8 在剪力和扭矩共同作用下的矩形截面剪扭构件,其受剪扭承载力应符合下列规定:
1 一般剪扭构件
1)受剪承载力

[6.4.8-1]

(6.4.8-2)
式中:Asv——_受剪承载力所需的箍筋截面面积;
βt——一般剪扭构件混凝土受扭承载力降低系数:
当βt小于0.5时,取0.5;当βt大于1.0时,取1.0.
2)受扭承载力

[6.4.8-3]
式中:
ξ——同本规范第6.4.4条。
2 集中荷载作用下的独立剪扭构件
1)受剪承载力

[6.4.8-4]

(6.4.8-5)
式中:λ——计算截面的剪跨比,按本规范第 6.3.4条的规定取用;
βt——集中荷载作用下剪扭构件混凝土受扭承载力降低系数:当βt小于0.5时,取0.5;当βt大于1.0时,取1.0。
2)受扭承载力
受扭承载力仍应按公式(6.4.8—3)计算,但式中的βt应按公式(6.4.8—5)计算。
6.4.9 T形和I形截面剪扭构件的受剪扭承载力应符合下列规定:
1 受剪承载力可按本规范公式(6.4.8—1)与公式(6.4.8—2)或公式(6.4.8—4)与公式(6.4.8—5)进行计算,但应将公式中的T及Wt分别代之以Tw及Wtw;
2 受扭承载力可根据本规范第6.4.5条的规定划分为几个矩形截面分别进行计算。其中,腹板可按本规范公式(6.4.8—3)、公式(6.4.8—2)或公式(6.4.8—3)、公式(6.4.8—5)进行计算,但应将公式中的T及Wt分别代之以Tw及Wtw;受压翼缘及受拉翼缘可按本规范第6.4.4条纯扭构件的规定进行计算,但应将T及Wt分别代之以T’f及W’tf或Tf及Wtf。
6.4.10 箱形截面钢筋混凝土剪扭构件的受剪扭承载力可按下列规定计算:
1一般剪扭构件
1)受剪承载力

[6.4.10-1]
2)受扭承载力

[6.4.10-2]
式中:
βt——按本规范公式(6.4.8-2)计算,但式中的Wt应代之以αhWt;
αh——按本规范第6.4.6条的规定确定;
ξ——按本规范第6.4.4条的规定确定。
2 集中荷载作用下的独立剪扭构件
1)受剪承载力

[6.4.10-3]
式中:βt——按本规范公式(6.4.8—5)计算,但式中的Wt应代之以αhWt。
2)受扭承载力
受扭承载力仍应按公式(6.4.10—2)计算,但式中的βt值应按本规范公式(6.4.8—5)计算。
6.4.11 在轴向拉力和扭矩共同作用下的矩形截面钢筋混凝土构件,其受扭承载力可按下列规定计算:

[6.4.11]
式中:ζ——按本规范第6.4.4条的规定确定;
Ast1——受扭计算中沿截面周边配置的箍筋单肢截面面积;
Astl——对称布置受扭用的全部纵向普通钢筋的截面面积;
N——与扭矩设计值相应的轴向拉力设计值,当N大于1.75ftA时,取1.75ftA;
Acor——截面核心部分的面积,取bcorhcor,此处bcor、hcor为箍筋内表面范围内截面核心部分的短边、长边尺寸;
ucor——截面核心部分的周长,取2(bcor+hcor)。
6.4.12 在弯矩、剪力和扭矩共同作用下的矩形、T形、I形和箱形截面的弯剪扭构件,可按下列规定进行承载力计算:
1 当V不大于0.35ftbh0或V不大于0.875ftbh0/(λ+1)时,可仅计算受弯构件的正截面受弯承载力和纯扭构件的受扭承载力;
2 当T不大于0.175ftWt或T不大于0.175αhftWt时,可仅验算受弯构件的正截面受弯承载力和斜截面受剪承载力。
6.4.13 矩形、T形、I形和箱形截面弯剪扭构件,其纵向钢筋截面面积应分别按受弯构件的正截面受弯承载力和剪扭构件的受扭承载力计算确定,并应配置在相应的位置;箍筋截面面积应分别按剪扭构件的受剪承载力和受扭承载力计算确定,并应配置在相应的位置。
6.4.14 在轴向压力、弯矩、剪力和扭矩共同作用下的钢筋混凝土矩形截面框架柱,其受剪扭承载力可按下列规定计算:
1 受剪承载力

[6.4.14-1]
2 受扭承载力

[6.4.14-2]
式中:λ——计算截面的剪跨比,按本规范第6.3.12条确定;
βt——按本规范第6.4.8条计算并符合相关要求;
ζ——按本规范第6.4.4条的规定采用。
6.4.15 在轴向压力、弯矩、剪力和扭矩共同作用下的钢筋混凝土矩形截面框架柱,当T不大于(0.175ft+0.035N/A)Wt时,可仅计算偏心受压构件的正截面承载力和斜截面受剪承载力。
6.4.16 在轴向压力、弯矩、剪力和扭矩共同作用下的钢筋混凝土矩形截面框架柱,其纵向普通钢筋截面面积应分别按偏心受压构件的正截面承载力和剪扭构件的受扭承载力计算确定,并应配置在相应的位置;箍筋截面面积应分别按剪扭构件的受剪承载力和受扭承载力计算确定,并应配置在相应的位置。
6.4.17 在轴向拉力、弯矩、剪力和扭矩共同作用下的钢筋混凝土矩形截面框架柱,其受剪扭承载力应符合下列规定:

6.4.18 在轴向拉力、弯矩、剪力和扭矩共同作用下的钢筋混凝土矩形截面框架柱,当T≤(0.175ft-0.1N/A)Wt时,可仅计算偏心受拉构件的正截面承载力和斜截面受剪承载力。
6.4.19 在轴向拉力、弯矩、剪力和扭矩共同作用下的钢筋混凝土矩形截面框架柱,其纵向普通钢筋截面面积应分别按偏心受拉构件的正截面承载力和剪扭构件的受扭承载力计算确定,并应配置在相应的位置;箍筋截面面积应分别按剪扭构件的受剪承载力和受扭承载力计算确定,并应配置在相应的位置。
6.5 受冲切承载力计算
6.5.1 在局部荷载或集中反力作用下,不配置箍筋或弯起钢筋的板的受冲切承载力应符合下列规定(图6.5.1):

[6.5.1-1]
公式(6.5.1-1)中的系数η,应按下列两个公式计算,并取其中较小值:

[6.5.1-2]

[6.5.1-3]

图6.5.1 板受冲切承载力计算
1-冲切破坏锥体的斜截面;2-计算截面
3-计算截面的周长;4-冲切破坏锥体的底面线
式中:Fl——局部荷载设计值或集中反力设计值;板柱节点,取柱所承受的轴向压力设计值的层间差值减去柱顶冲切破坏锥体范围内板所承受的荷载设计值;当有不平衡弯矩时,应按本规范第6.5.6条的规定确定;
βh——截面高度影响系数:当h不大于800mm时,取 βh为1.0;当h不小于2000mm时,取 βh为0.9,其间按线性内插法取用;
σpc.m——计算截面周长上两个方向混凝土有效预应力按长度的加权平均值,其值宜控制在1.0N/mm2~3.5N/mm2范围内;
μm——计算截面的周长,取距离局部荷载或集中反力作用面积周边ho/2处板垂直截面的最不利周长;
h0——截面有效高度,取两个方向配筋的截面有效高度平均值;
ηl——局部荷载或集中反力作用面积形状的影响系数;
η2——计算截面周长与板截面有效高度之比的影响系数;
βs——局部荷载或集中反力作用面积为矩形时的长边与短边尺寸的比值,s不宜大于4;当s小于2时取2;对圆形冲切面,s取2;
αs——柱位置影响系数:中柱,αs取40;边柱,αs取30;角柱,αs取20。
6.5.2 当板开有孔洞且孔洞至局部荷载或集中反力作用面积边缘的距离不大于6h0时,受冲切承载力计算中取用的计算截面周长um,应扣除局部荷载或集中反力作用面积中心至开孔外边画出两条切线之间所包含的长度(图6.5.2)。

6.5.3在局部荷载或集中反力作用下,当受冲切承载力不满足本规范第6.5.1条的要求且板厚受到限制时,可配置箍筋或弯起钢筋,并应符合本规范第9.1.11条的构造规定。此时,受冲切截面及受冲切承载力应符合下列要求:
1 受冲切截面

[6.5.3-1]
2 配置箍筋、弯起钢筋时的受冲切承载力

[6.5.3-2]
式中:fyv——箍筋的抗拉强度设计值,按本规范第4.2.3条的规定采用;
Asyu——与呈45°冲切破坏锥体斜截面相交的全部箍筋截面面积;
Asbu——与呈45°冲切破坏锥体斜截面相交的全部弯起钢筋截面面积;
α——弯起钢筋与板底面的夹角。
注:当有条件时,可采取配置栓钉、型钢剪力架等形式的抗冲切措施。
6.5.4 配置抗冲切钢筋的冲切破坏锥体以外的截面,尚应按本规范第6.5.1条的规定进行受冲切承载力计算,此时,um应取配置抗冲切钢筋的冲切破坏锥体以外0.5h0处的最不利周长。
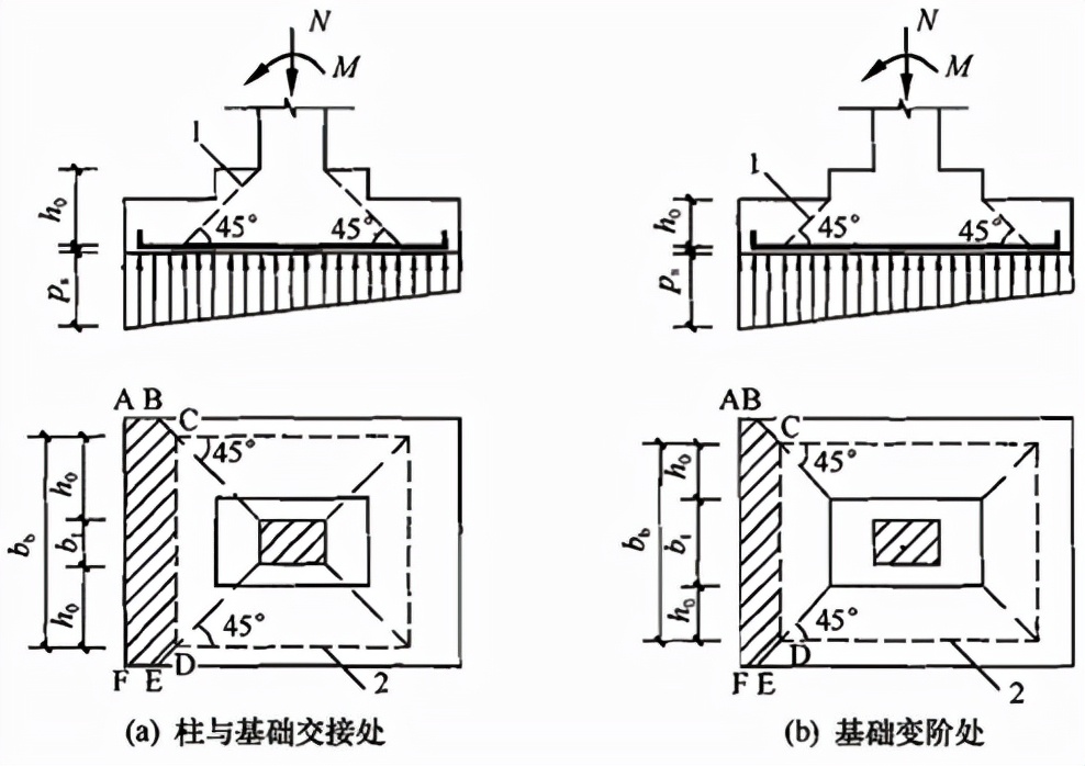
6.5.5 矩形截面柱的阶形基础,在柱与基础交接处以及基础变阶处的受冲切承载力应符合下列规定(图6.5.5):

[6.5.5-1]

[6.5.5-2]

(6.5.5-3)
式中:h0——柱与基础交接处或基础变阶处的截面有效高度,取两个方向配筋的截面有效高度平均值;
ps——按荷载效应基本组合计算并考虑结构重要性系数的基础底面地基反力设计值(可扣除基础自重及其上的土重),当基础偏心受力时,可取用最大的地基反力设计值;
A——考虑冲切荷载时取用的多边形面积(图6.5.5中的阴影面积ABCDEF);
bt——冲切破坏锥体最不利一侧斜截面的上边长:当计算柱与基础交接处的受冲切承载力时,取柱宽;当计算基础变阶处的受冲切承载力时,取上阶宽;
bb——柱与基础交接处或基础变阶处的冲切破坏锥体最不利一侧斜截面的下边长,取bt+2h0。

图6.5.5 计算阶形基础的受冲切承载力截面位置
1-冲切破坏锥体最不利一侧的斜截面;2-冲切破坏锥体的底面线
6.5.6 在竖向荷载、水平荷载作用下,当考虑板柱节点计算截面上的剪应力传递不平衡弯矩时,其集中反力设计值Fl应以等效集中反力设计值Fl,eq代替,Fl,eq可按本规范附录F的规定计算。
6.6 局部受压承载力计算
6.6.1 配置间接钢筋的混凝土结构构件,其局部受压区的截面尺寸应符合下列要求:

[6.6.1-1]

(6.6.1-2)
式中:Fl——局部受压面上作用的局部荷载或局部压力设计值;
fc——混凝土轴心抗压强度设计值;在后张法预应力混凝土构件的张拉阶段验算中,可根据相应阶段的混凝土立方体抗压强度f`cu值按本规范表4.1.4—1的规定以线性内插法确定;
βc——混凝土强度影响系数,按本规范第6.3.1条的规定取用;
βl——混凝土局部受压时的强度提高系数;
Al——混凝土局部受压面积;
Aln——混凝土局部受压净面积;对后张法构件,应在混凝土局部受压面积中扣除孔道、凹槽部分的面积;
Ab——局部受压的计算底面积,按本规范第6.6.2条确定。
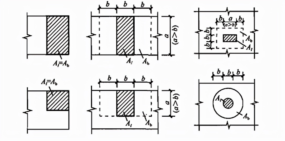
6.6.2 局部受压的计算底面积Ab,可由局部受压面积与计算底面积按同心、对称的原则确定;常用情况,可按图6.6.2取用。

图6.6.2 局部受压的计算底面积
At-混凝土局部受压面积;Ab-局部受压的计算底面积
6.6.3 配置方格网式或螺旋式间接钢筋(图6.6.3)的局部受压承载力应符合下列规定:

[6.6.3-1]
当为方格网式配筋时(图6.6.3a),钢筋网两个方向上单位长度内钢筋截面面积的比值不宜大于1.5,其体积配筋率ρv应按下列公式计算:

[6.6.3-2]
当为螺旋式配筋时(图6.6.3b),其体积配筋率ρv应按下列公式计算:

[6.6.3-3]
式中:βcor——配置间接钢筋的局部受压承载力提高系数,可按本规范公式(6.6.1-2)计算,但公式中Ab应代之以Acor,且当Acor大于Ab时,Acor取Ab;当Acor不大于混凝土局部受压面积Al的1.25倍时,βcor取1.0;
α——间接钢筋对混凝土约束的折减系数,按本规范第6.2.16条的规定取用;
fyv——间接钢筋的抗拉强度设计值,按本规范第4.2.3条的规定采用;
Acor——方格网式或螺旋式间接钢筋内表面范围内的混凝土核心截面面积,应大于混凝土局部受压面积Al,其重心应与Al的重心重合,计算中按同心、对称的原则取值;
ρv——间接钢筋的体积配筋率;
n1、As1——分别为方格网沿l1方向的钢筋根数、单根钢筋的截面面积;
n2、As2——分别为方格网沿l2方向的钢筋根数、单根钢筋的截面面积;
Assl——单根螺旋式间接钢筋的截面面积;
dcor——螺旋式间接钢筋内表面范围内的混凝土截面直径;
s——方格网式或螺旋式间接钢筋的间距,宜取30mm~80mm。
间接钢筋应配置在图6.6.3所规定的高度h范围内,方格网式钢筋,不应少于4片;螺旋式钢筋,不应少于4圈。柱接头,h尚不应小于15d,d为柱的纵向钢筋直径。

6.7 疲劳验算
6.7.1 受弯构件的正截面疲劳应力验算时,可采用下列基本假定:
1 截面应变保持平面;
2 受压区混凝土的法向应力图形取为三角形;
3 钢筋混凝土构件,不考虑受拉区混凝土的抗拉强度,拉力全部由纵向钢筋承受;要求不出现裂缝的预应力混凝土构件,受拉区混凝土的法向应力图形取为三角形;
4 采用换算截面计算。
6.7.2 在疲劳验算中,荷载应取用标准值;吊车荷载应乘以动力系数,并应符合现行国家标准《建筑结构荷载规范》GB 50009的规定。跨度不大于12m的吊车梁,可取用一台最大吊车的荷载。
6.7.3 钢筋混凝土受弯构件疲劳验算时,应计算下列部位的混凝土应力和钢筋应力幅:
1 正截面受压区边缘纤维的混凝土应力和纵向受拉钢筋的应力幅;
2 截面中和轴处混凝土的剪应力和箍筋的应力幅。
注:纵向受压普通钢筋可不进行疲劳验算。
6.7.4 钢筋混凝土和预应力混凝土受弯构件正截面疲劳应力应符合下列要求:
1 受压区边缘纤维的混凝土压应力

2 预应力混凝土构件受拉区边缘纤维的混凝土拉应力

3 受拉区纵向普通钢筋的应力幅

4 受拉区纵向预应力筋的应力幅


注:当纵向受拉钢筋为同一钢种时,可仅验算最外层钢筋的应力幅。
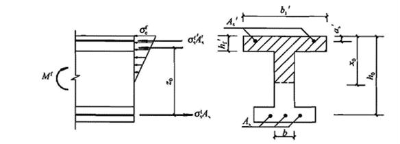
6.7.5 钢筋混凝土受弯构件正截面的混凝土压应力以及钢筋的应力幅应按下列公式计算:
1 受压区边缘纤维的混凝土压应力

[6.7.5-1]
2 纵向受拉钢筋的应力幅

[6.7.5-2]

(6.7.5-3)

(6.7.5-4)

6.7.6 钢筋混凝土受弯构件疲劳验算时,换算截面的受压区高度和惯性矩应按下列公式计算:


图6.7.6 钢筋混凝土受弯构件正截面疲劳应力计算

6.7.7 钢筋混凝土受弯构件斜截面的疲劳验算及剪力的分配应符合下列规定:
1 当截面中和轴处的剪应力符合下列条件时,该区段的剪力全部由混凝土承受,此时,箍筋可按构造要求配置;

[6.7.7-1]

6.7.8 钢筋混凝土受弯构件中轴处的剪应力应按下列公式计算:

6.7.9 钢筋混凝土受弯构件斜截面上箍筋的应力幅应按下列公式计算:

6.7.10 预应力混凝土受弯构件疲劳验算时,应计算下列部位的应力、应力幅:
1 正截面受拉区和受压区边缘纤维的混凝土应力及受拉区纵向预应力筋、普通钢筋的应力幅;
2 截面重心及截面宽度剧烈改变处的混凝土主拉应力。
注:1 受压区纵向钢筋可不进行疲劳验算;
2 一级裂缝控制等级的预应力混凝土构件的钢筋可不进行疲劳验算。
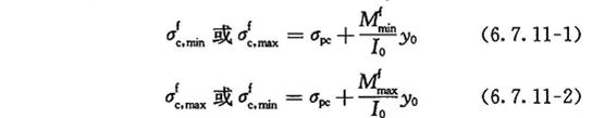
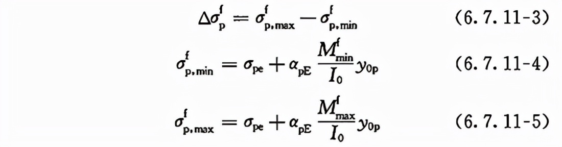
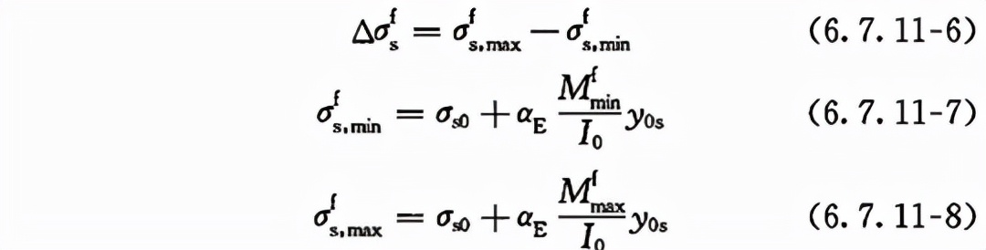
6.7.11 要求不出现裂缝的预应力混凝土受弯构件,其正截面的混凝土、纵向预应力筋和普通钢筋的最小、最大应力和应力幅应按下列公式计算:
1 受拉区或受压区边缘纤维的混凝土应

2 受拉区纵向预应力筋的应力及应力幅

3 受拉区纵向普通钢筋的应力及应力幅




6.7.12 预应力混凝土受弯构件斜截面混凝土的主拉应力应符合下列规定:

7 正常使用极限状态验算
7.1 裂缝控制验算
7.1.1 钢筋混凝土和预应力混凝土构件,应按下列规定进行受拉边缘应力或正截面裂缝宽度验算:
1 一级裂缝控制等级构件,在荷载标准组合下,受拉边缘应力应符合下列规定:
σck—σpc≤0 (7.1.1—1)
2 二级裂缝控制等级构件,在荷载标准组合下,受拉边缘应力应符合下列规定:
σck—σpc≤ftk (7.1.1—2)
3 三级裂缝控制等级时,钢筋混凝土构件的最大裂缝宽度可按荷载准永久组合并考虑长期作用影响的效应计算,预应力混凝土构件的最大裂缝宽度可按荷载标准组合并考虑长期作用影响的效应计算。最大裂缝宽度应符合下列规定:
wmax≤wlim (7.1.1—3)
对环境类别为二a类的预应力混凝土构件,在荷载准永久组合下,受拉边缘应力尚应符合下列规定:
σcq—σpc≤ftk (7.1.1—4)
式中:σck、σcq——荷载标准组合、准永久组合下抗裂验算边缘的混凝土法向应力;
σpc——扣除全部预应力损失后在抗裂验算边缘混凝土的预压应力,按本规范公式(10.1.6—1)和公式(10.1.6—4)计算;
ftk——混凝土轴心抗拉强度标准值,按本规范表4.1.3—2采用;
wmax——按荷载的标准组合或准永久组合并考虑长期作用影响计算的最大裂缝宽度,按本规范第7.1.2条计算;
wlim——最大裂缝宽度限值,按本规范第3.4.5条采用。
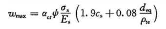
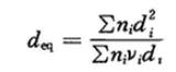
7.1.2 在矩形、T形、倒T形和I形截面的钢筋混凝土受拉、受弯和偏心受压构件及预应力混凝土轴心受拉和受弯构件中,按荷载标准组合或准永久组合并考虑长期作用影响的最大裂缝宽度可按下列公式计算:

[7.1.2-1]

(7.1.2-2)

(7.1.2-3)

(7.1.2-4)


表7.1.2-1 构件受力特征系数

表7.1.2-2 钢筋的相对粘结特性系数

注:对环氧树脂涂层带肋钢筋,其相对粘结特性系数应按表中系数的80%取用。
7.1.3 在荷载准永久组合或标准组合下,钢筋混凝土构件、预应力混凝土构件开裂截面处受压边缘混凝土压应力、不同位置处钢筋的拉应力及预应力筋的等效应力宜按下列假定计算:
1 截面应变保持平面;
2 受压区混凝土的法向应力图取为三角形;
3 不考虑受拉区混凝土的抗拉强度;
4 采用换算截面。
7.1.4 在荷载准永久组合或标准组合下,钢筋混凝土构件受拉区纵向普通钢筋的应力或预应力混凝土构件受拉区纵向钢筋的等效应力也可按下列公式计算:
1 钢筋混凝土构件受拉区纵向普通钢筋的应力
1)轴心受拉构件

[7.1.4-1]
2)偏心受拉构件

[7.1.4-2]
3)受弯构件

[7.1.4-3]
4)偏心受压构件

[7.1.4-4]

(7.1.4-5)

(7.1.4-6)

(7.1.4-7)

(7.1.4-8)

2预应力混凝土构件受拉区纵向钢筋的等效应力
1)轴心受拉构件

[7.1.4-9]
2)受弯构件

[7.1.4-10]

[7.1.4-11]

[7.1.4-12]

7.1.5 在荷载标准组合和准永久组合下,抗裂验算时截面边缘混凝土的法向应力应按下列公式计算:
1 轴心受拉构件

[7.1.5-1]

[7.1.5-2]
2 受弯构件

[7.1.5-3]

[7.1.5-4]
3 偏心受拉和偏心受压构件

[7.1.5-5]

[7.1.5-6]
式中:A0----构件换算截面面积;
W0构件换算截面受拉边缘的弹性抵抗矩。
7.1.6 预应力混凝土受弯构件应分别对截面上的混凝土主拉应力和主压应力进行验算;
1 混凝土主拉应力
1)一级裂缝控制等级构件,应符合下列规定:

[7.1.6-1]
2)二级裂缝控制等级构件,应符合下列规定:

[7.1.6-2]
2 混凝土主压应力
对一、二级裂缝控制等级构件,均应符合下列规定:

[7.1.6-3]
式中:σtp、σcp分别为混凝土的主拉应力、主压应力,按本规范第7.1.7条确定。
此时,应选择跨度内不利位置的截面,对该截面的换算截面重心处和截面宽度突变进行验算。
注:对允许出现裂缝的吊车梁,在静力计算中应符合公式(7.1.6-2)和公式(7.1.6-3)的规定。
7.1.7 混凝土主拉应力和主压应力应按下列公式计算;

[7.1.7-1]

[7.1.7-2]

[7.1.7-3]

7.1.8 对预应力混凝土吊车梁,在集中力作用点两侧各0.6h的长度范围内,由集中荷载标准值Fk产生的混凝土竖向压应力和剪应力的简化分布可按图7.1.8确定,其应力的最大值可按下列公式计算:

[7.1.8-1]

[7.1.8-2]

(7.1.8-3)

(7.1.8-4)

图7.1.8 预应力混凝土吊车梁集中力作用点附近的应力分布
7.1.9 对先张法预应力混凝土构件端部进行正截面、斜截面抗裂验算时,应考虑预应力筋在其预应力传递长度ltr范围内实际应力值的变化。预应力筋的实际应力可考虑为线性分布,在构件端部取为零,在其预应力传递长度的末端取有效预应力值σpe(图7.1.9),预应力筋的预应力传递长度ltr应按本规范第10.1.9条确定。

图7.1.9 预应力传递长度范围内有效预应力值的变化
7.2 受弯构件挠度验算
7.2.1 钢筋混凝土和预应力混凝土受弯构件的挠度可按照结构力学方法计算,且不应超过本规范表3.4.3规定的限值。
在等截面构件中,可假定各同号弯矩区段内的刚度相等,并取用该区段内最大弯矩处的刚度。当计算跨度内的支座截面刚度不大于跨中截面刚度的2倍或不小于跨中截面刚度的1/2时,该跨也可按等刚度构件进行计算,其构件刚度可取跨中最大弯矩截面的刚度。
7.2.2 矩形、T形、倒T形和I形截面受弯构件考虑荷载长期作用影响的刚度B可按下列规定计算:
1 采用荷载标准组合时

[7.2.2-1]
2采用荷载准永久组合时

[7.2.2-2]
式中:Mk——按荷载的标准组合计算的弯矩,取计算区段内的最大弯矩值;
Mq——按荷载的准永久组合计算的弯矩,取计算区段内的最大弯矩值;
Bs——按荷载准永久组合计算的钢筋混凝土受弯构件或按标准组合计算的预应力混凝土受弯构件的短期刚度,按本规范第7.2.3条计算;
θ——考虑荷载长期作用对挠度增大的影响系数,按本规范第7.2.5条取用。
7.2.3 按裂缝控制等级要求的荷载组合作用下,钢筋混凝土受弯构件和预应力混凝土受弯构件的短期刚度Bs,可按下列公式计算:
1钢筋混凝土受弯构件

[7.2.3-1]
2预应力混凝土受弯构件
1)要求不出现裂缝的构件

[7.2.3-2]
2)允许出现裂缝的构件

[7.2.3-3]

(7.2.3-4)

(7.2.3-5)

(7.2.3-6)

(7.2.3-7)
式中:Ψ——裂缝间纵向受拉普通钢筋应变不均匀系数,按本规范第7.1.2条确定;
αE——钢筋弹性模量与混凝土弹性模量的比值,即Es/Ec;
ρ——纵向受拉钢筋配筋率:对钢筋混凝土受弯构件,取为As/(bh0);对预应力混凝土受弯构件,取为(α1Ap+As)/(bh0),对灌浆的后张预应力筋,取α1=1.0,对无粘结后张预应力筋,取α1=0.3;
I0——换算截面惯性矩;
γf——受拉翼缘截面面积与腹板有效截面面积的比值;
bf、hf——分别为受拉区翼缘的宽度、高度;
kcr——预应力混凝土受弯构件正截面的开裂弯矩Mcr与弯矩Mk的比值,当kcr>1.0时,取kcr=1.0;
σpc——扣除全部预应力损失后,由预加力在抗裂验算边缘产生的混凝土预压应力;
γ——混凝土构件的截面抵抗矩塑性影响系数,按本规范第7.2.4条确定。
注:对预压时预拉区出现裂缝的构件,BS应降低10%。
7.2.4 混凝土构件的截面抵抗矩塑性影响系数γ可按下列公式计算:

[7.2.4]
式中:rm_____混凝土构件的截面抵抗矩塑性影响系数基本值,可按正截面应变保持平面的假定,并取受拉区混凝土应力图形为梯形、受拉边缘混凝土极限拉应变2ftk/Ec确定;对常用的截面形状,rm值可按表7.2.4取用;
h_____截面高度(mm):当h<400时,取h=400;当h>1600时,取h=1600;对圆形、环形截面,取h=2r,此处,r为圆形截面半径或环形截面的外环半径。
表7.2.4 截面抵抗矩塑性影响系数基本值


注:
1 对b`f>bf的I形截面,可按项次2与项次3之间的数值采用;对b`f<b的I形截面,可按项次3与项次4之间的数值采用;
2 对于箱形截面,b系指个肋宽度的总和;
3 r1位环形截面的内环半径,对圆形截面取r1为零。
7.2.5 考虑荷载长期作用对挠度增大的影响系数θ可按下列规定取用:
1 钢筋混凝土受弯构件

对翼缘位于受拉区的倒T形截面,θ应增加20%。
2 预应力混凝土受弯构件,取θ=2.0。
7.2.6 预应力混凝土受弯构件在使用阶段的预加力反拱值,可用结构力学方法按刚度EcI0进行计算,并应考虑预压应力长期作用的影响,计算中预应力筋的应力应扣除全部预应力损失。简化计算时,可将计算的反拱值乘以增大系数2.0。
对重要的或特殊的预应力混凝土受弯构件的长期反拱值,可根据专门的试验分析确定或根据配筋情况采用考虑收缩、徐变影响的计算方法分析确定。
7.2.7 对预应力混凝土构件应采取措施控制反拱和挠度,并宜符合下列规定:
1 当考虑反拱后计算的构件长期挠度不符合本规范第3.4.3条的有关规定时,可采用施工预先起拱等方式控制挠度;
2 对永久荷载相对于可变荷载较小的预应力混凝土构件,应考虑反拱过大对正常使用的不利影响,并应采取相应的设计和施工措施。