当支付周期和利息周期不一致时,如利息率为年利息率、年金按月结转,这时的年金称为一般年金。
1、一年支付 m 次的 n 年年金
I、期初付年金
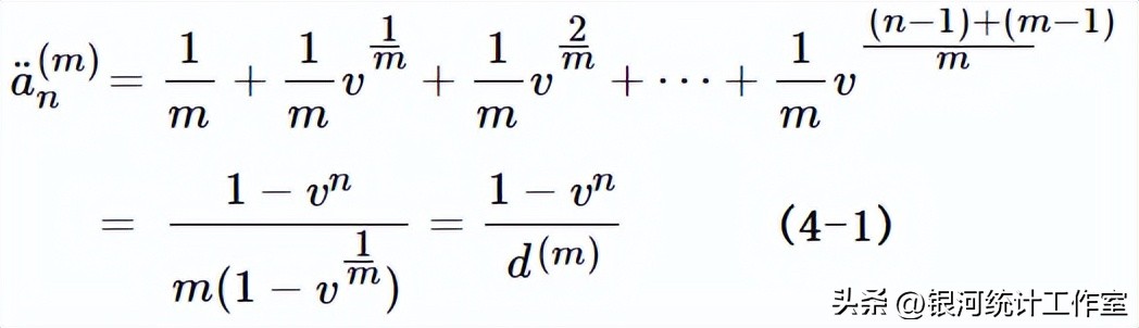
设一年支付 m 次,每年期初支付 1/m ,期限为 n 年,年利率为 i 。
该年金现值为,

该年金终值为,

一般年金与基本年金的关系为:


II、期末付年金
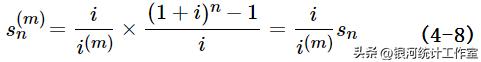
设一年支付 m 次,每年期末支付 1/m ,期限为 n 年,年利率为 i 。
该年金现值为,

该年金终值为,

一般年金与基本年金的关系为:


【例4.1】某人计划在30岁时每年年初存入6000元建立个人账户,年利率为2%。该人60岁退休,问在20年内,
a 、每年可领取多少钱? b 、每月可领取多少钱(利息周期和支付周期不一致)?
解 :
a 、每年领取额为 X ,

解得 X=14886.06X=14886.06 (元/年)。
b 、解法一:首先计算实际利息率。 (1+j)^12 = 1.02 ⇔ j =0.001651581 ,每月领取额为 X ,则有,

b 、解法二:

【例4.2】某人计划在30岁时每月月初存入500元建立个人账户,年利率为2%。该人60岁退休,问在20年内,
a 、每年可领取多少钱? b 、每月可领取多少钱?
解:
a 、每年领取额为 X ,

b 、每月领取额为 X ,

2、一年结转k次的年金
I、期初付年金
设一年结转k次利息,每次利息结转周期的实际利息率为j,每年年初支付1元,共支付n年。
该年金现值为,

该年金终值为,

II、期末付年金
设一年结转k次利息,每次利息结转周期的实际利息率为j,每年年末支付1元,共支付n年。
该年金现值为,

该年金终值为,

【例4.3】某人向银行*款贷**20000元,年利率5%,期限为10年。约定每年年初还款,每年结转4次利息,求每年还款额。
解、 再 每年还款额为 X,
月利息率 j : (1+j)^4 = 1.05 ⇔ j = 0.012272234。

解得X = 2467(元)。
3、连续年金的现值和终值
支付频率无限大(即连续支付,在一般年金中,令 m→∞ )的年金称为连续年金。设连续支付 n 个计息期,每个计息期的支付额为1元。
该年金现值为,

该年金终值为,

4、永续年金的现值
支付次数没有限制,永远持续的年金称为永续年金。如股票中不能赎回的优先股,其固定红利的付给就是永续年金的形式。由于支付没有终点时刻,永续年金的终值不存在。当 n→∞ 时,每年支付1元的永续年金现值为:

参考文章:
- 基本年金 - 利息理论(3)