一、材料要求
1 金属配电箱(盘):箱体应有一定的机械强度,周边平整无损伤,漆面无脱落,二层底板厚度不小于1.5mm,不得用阻燃型塑料板做二层底板,箱内各种器具应安装牢固,导线排列整齐,压接牢固,并有产品合格证。
2 阻燃型塑料配电箱(盘):箱体应有一定的机械强度,周边平整无损伤,绝缘二层底板厚度不应小于8mm,并有产品合格证。
3 镀锌材料:角钢、扁铁、铁皮、机螺丝、木螺丝、螺栓、垫圈、圆钉等。
4 绝缘导线:导线的规格型号必须符合设计要求,并有产品合格证或"CCC"认证。
5 其他材料:电气仪表、熔丝(或熔片)、端子板、绝缘嘴、卡片框、软塑料管、塑料带、黑胶布、防锈漆、焊锡、焊剂、电焊条、水泥、砂子。
二、主要机具
1 铅笔、卷尺、方尺、水平尺、钢板尺、线坠、桶、刷子、灰铲、高凳等。
2 手锤、錾子、钢锯、锯条、木铿、扁挫、圆锉、剥线钳、尖嘴钳、压接钳、活扳子、套筒扳子、内六角扳子、锡锅、锡勺等。
3 台钻、手电钻、钻头、木钻、台钳、案子、电炉、电气焊工具、绝缘手套、铁剪子、点冲子、兆欧表、工具袋、工具箱、高凳等。
三、作业条件
1 随土建结构预留好暗装配电箱的安装位置。
2 装配电箱盘面时,抹灰、喷浆、油漆应全部完成。
四、操作工艺
(一)工艺流程:

(二)配电箱(盘)安装要求:
1 配电箱(盘)应安装在安全、干燥、易操作的场所,配电箱安装时底口距地面一般为1.5m, 在同一建筑物内,同类盘的高度应一致,允许偏差为10mm。
2 安装配电箱(盘)所需的木砖及铁件等均应预埋,预埋的各种铁件均应刷防锈漆,并做好明显可靠的接地。挂式配电箱(盘)应采用金属膨胀螺栓固定。
3 金属配电箱(盘)带有器具的门均应有明显可靠的裸软铜线接地。
4 配电箱(盘)上配线须排列整齐,绑扎成束,在活动部位的两端应有卡子固定。盘面引出及引进的导线应留用适当余度,以便于检修。
5 导线剥削处不应损伤线芯或线芯过长 ,导线压头应牢固可靠,多股导线不应盘圈压接,应加装压线端子用顶丝压接时,多股线应刷锡后再压接,不得减少导线股数。
6 配电箱(盘)的盘面上安装的各种手控、控电器等,当处于断路状态时,刀片可动部分均不应带电(特殊情况除外)。
7 垂直装设的电器一般均应上端接电源,下端接负荷:横装者左侧(面对盘面),右侧接负荷。
8 配电箱(盘)上的电源批示灯,其电源应接至总开关的外侧,并应单独装熔断器(电源侧)。盘面闸具应与支路相对应,其下面应装设卡片框,标明路别及容量。
9 TN—C中的零线应在进户π接箱线处做好重复接地。
10 配电箱(盘)上分别设置零线(N)和保护地线(PE)汇流排,零线和保护地线经汇流排配出,压接点使用内六角螺丝。
11 磁插式熔断器底座中心明露螺丝孔应填充绝缘物,以防止对地放电。磁插保险不得裸露金属螺丝,应填满火漆或硅橡胶。
12 当设计无要求时,当PE线所用材质与相线相同时,应按热稳定要求选择截面不小于下表中所列的数值。

1 3配电箱(盘)上的母线应涂有黄A相(L1),绿B相(L2),红C相(L3),淡蓝(N零线)等颜色,黄绿相间双色线为PE线。
14 配电箱(盘)上电具、仪表应牢固、平正、整洁、间距均匀、端子无松动,启闭灵活,零部件齐全。
15 配电箱(盘)安装应牢固、平正,其垂直度允许偏差为1.5‰。
16 立式箱柜应设在专用房内或加装栅栏,铁栅栏应做接地;背面距墙不小于800mm(特殊情况按设计);基础型钢安装前应调直后埋设固定,其水平误差每米应不大于1mm,全长总误差不大于5mm。盘面底口距地面不应小于500mm。
(三)弹线定位:根据设计要求找出配电箱(盘)位置,并按照箱(盘)的外形尺寸进行弹线定位;弹线定位的目的是对有预埋木砖或铁件的情况,可以更准确地找出预埋件,或者可以找出金属胀管螺栓的位置。
(四)明装配电箱(盘):
1 铁架固定配电箱(盘):将角钢调直,量好尺寸,画好锯口线,锯断煨弯,钻孔位,焊接。煨弯时用方尺找正,再用电(气)焊,将对口缝焊牢,并将埋注端做成燕尾形,除锈、刷防锈漆,按标高用高标号水泥砂浆将铁架燕尾端埋注牢固,埋入时要注意铁架的平直程度和孔间距离,应用线坠和水平尺测量准确后再稳注铁架,待水泥砂浆凝固后方可进行配电箱(盘)的安装。
2 金属膨胀螺栓固定配电箱(盘):采用金属膨胀螺栓可在混凝土墙或砖墙上固定配电箱(盘)。其方法是根据第9.4.3条的弹线定位,找出准确的固定点位置,用电钻或冲击钻在固定点位置钻孔,其孔径应刚好将金属膨胀螺栓的胀管部分埋入墙内,且孔洞应平直,不得歪斜。
(五)配电箱(盘)的固定:
1 在混凝土墙或砖墙上固定明装配电箱(盘)时,采用暗配管及暗分线盒和明配管两种方式。如有分线盒,先将盒内杂物清理干净,然后将导线理顺,分清支路和相序,按支路绑扎成束。待箱(盘)找准位置后,将导线端头引至箱内,剥削导线端头,再逐个压接在器具上,同时将保护地线和中性线压在PE汇流排和N汇流排上,并将箱(盘)调整平直后进行固定。在电具、仪表较多的盘面板安装完毕后,应先用仪表校对有无差错,调整无误后试送电,并将卡片框内的卡片填写好部位、编号。
2 在木结构或轻钢龙骨护板墙上进行固定配电箱(盘)时,应采用加固措施。如配管在护板墙内暗敷设,并有暗接线盒时,要求盒口应与墙面平齐,在木制护板墙处应做防火处理:可涂防火漆进行防护。除以上要求外,有关固定方法同上所述。
3 暗装配电箱的固定。根据预留孔洞尺寸先将箱体找好标高及水平尺寸,将箱体固定好,然后用水泥砂浆填实周边并抹平齐,待水泥砂浆凝固后再安装盘面和贴脸。如箱底与外墙平齐时,应在外墙固定金属网后再做墙面抹灰。不得在箱底板上抹灰。安装盘面要求平整,周边间隙均匀对称,贴脸(门)平正,不歪斜,螺丝垂直受力均匀。
(六)绝缘摇测:配电箱(盘)安装完毕后,用1kv兆欧表对线路进行绝缘摇测。摇测项目包括相线与相线之间,相线与零线之间,相线与地线之间,零线与地线之间。两人摇测,做好记录,纳入技术资料存档。
五、质量标准
(一)主控项目:
1 箱的金属框架及基础型钢应与保护导体可靠连接;对于装有电器的可开启门,门和金属框架的接地端子间应选用截面积不小于4mm²的黄绿色绝缘铜芯软导线连接,并应有标识。
2 柜、台、箱、盘等配电装置应有可靠的防电击保护;装置内保护接地导体(PE)排应有裸露的连接外部保护接地导体的端子,并应可靠连接。当设计未做要求时,连接导体最小截面积应符合现行国家标准《低压配电设计规范》GB 50054 的规定。
3 对于低压成套配电柜、箱及控制柜(台、箱)间线路的线间和线对地间绝缘电阻值,馈电线路不应小于0.5MΩ,二次回路不应小于lMΩ;二次回路的耐压试验电压应为lOOOV,当回路绝缘电阻值大于10MΩ时,应采用2500V兆欧表代替,试验持续时间应为1min或符合产品技术文件要求。
4 直流柜试验时,应将屏内电子器件从线路上退出,主回路线间和线对地间绝缘电阻值不应小于0.5MΩ,直流屏所附蓄电池组的充、放电应符合产品技术文件要求;整流器的控制调整和输出特性试验应符合产品技术文件要求。
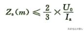
5 低压成套配电柜和配电箱(盘〉内末端用电回路中,所设过 电流保护电器兼作故障防护时,应在回路末端测量接地故障回路阻抗,且因路阻抗应满足下式要求:

式中:Zs(m)——实测接地故障回路阻抗(Ω);
U0一一相导体对接地的中性导体的电压(V);
Ia一一保护电器在规定时间内切断故障回路的动作电流(A)。
6 配电箱(盘)内的剩余电流动作保护器(RCD)应在施加额 定剩余动作电流(I△n)的情况下测试动作时间,且测试值应符合设计要求。
7 柜、箱、盘内电涌保护器(SPD)安装应符合下列规定:
(1)SPD的型号规格及安装布置应符合设计要求;
(2)SPD的接线形式应符合设计要求,接地导线的位置不宜靠近出线位置;
(3)SPD的连接导线应平直、足够短,且不宜大于0.5m。
8 照明配电箱(盘)安装应符合下列规定
(1)箱(盘)内配线应整齐、无绞接现象;导线连接应紧密、不伤线芯、不断股垫圈下螺丝两侧压的导线截面积应相同,同一电器器件端子上的导线连接不应多于2根,防松垫圈等零件应齐全;
(2)箱(盘)内开关动作应灵活可靠;
(3)箱(盘)内宜分别设置中性导体(N)和保护接地导体(PE)汇流排,汇流排上同一端子不应连接不同回路的N或PE。
(二)一般项目:
1 基础型钢安装允许偏差应符合下表的规定。

2 柜、台、箱、盘的布置及安全间距应符合设计要求。
3 柜、台、箱相互间或与基础型钢间应用镀辞螺栓连接,且防松零件应齐全;当设计有防火要求时,柜、台、箱的进出口应做防火封堵,并应封堵严密。
4 室外安装的落地式配电(控制)柜、箱的基础应高于地坪,周围排水应通畅,其底座周围应采取封闭措施。
5 箱、盘应安装牢固,且不应设置在水管的正下方。柜、台、箱、盘安装垂直度允许偏差不应大于1.5‰,相互间接缝不应大于2mm,成列盘面偏差不应大于5mm
6 柜、台、箱、盘内检查试验应符合下列规定:
(1)控制开关及保护装置的规格、型号应符合设计要求;
(2)闭锁装置动作应准确、可靠;
(3)主开关的辅助开关切换动作应与主开关动作一致;
(4)柜、台、箱、盘上的标识器件应标明被控设备编号及名称或操作位置,接线端子应有编号,且清晰、工整、不易脱色;
(5)回路中的电子元件不应参加交流工频耐压试验,50V以下回路可不做交流工频耐压试验。
7 柜、台、箱、盘问配线应符合下列规定:
(1)二次回路接线应符合设计要求,除电子元件回路或类似回路外,回路的绝缘导线额定电压不应低于450/750V ;对于铜芯绝缘导线或电缆的导体截面积,电流回路不应小于2.5mm2,其他回路不应小于1.5mm2。
(2)二次回路连线应成束绑扎,不同电压等级、交流、直流线路及计算机控制线路应分别绑扎,且应有标识;固定后不应妨碍于车开关或抽出式部件的拉出或推人。
(3)线缆的弯曲半径不应小于线缆允许弯曲半径。
(4)导线连接不应损伤线芯。
8 柜、台、箱、盘面板上的电器连接导线应符合下列规定:
(1)连接导线应采用多芯铜芯绝缘软导线,敷设长度应留有适当裕量;
(2)线束宜有外套塑料管等加强绝缘保护层;
(3)与电器连接时,端部应绞紧、不松散、不断股,其端部可采用不开口的终端端子或搪锡;
(4)可转动部位的两端应采用卡子固定。
9 照明配电箱(盘)安装应符合下列规定:
(1)箱体开孔应与导管管径适配,暗装配电箱箱盖应紧贴墙 面,箱(盘)涂层应完整;
(2)箱(盘)内回路编号应齐全,标识应正确;
(3)箱(盘)应采用不燃材料制作;
(4)箱(盘)应安装牢固、位置正确、部件齐全,安装高度应符合设计要求,垂直度允许偏差不应大于1.5‰。
六、成品保护
1 配电箱(盘)安装后,应采取保护措施,避免碰坏、脏污电具、仪表。
2 安装箱(盘)面板(或贴脸)时,应注意保持墙面清洁。
七、应注意的问题
1 配电箱(盘)的标高或垂直度超出允许偏差:由于测量定位不准确或者是地面高低不平造成,应及时进行修正。
2 铁架不方式:在安装铁架之前未进行调直找正,或安装时固定点位置偏移造成的,应用吊线重新找正后再进行固定。
3 盘面电具、仪表不牢固、平整或间距不匀、压头木不牢、压头伤线芯,多股导线压头未装压线端子,闸具下方未装卡片框:螺丝不紧的应拧紧,间距应按要求调整均匀,找平整;伤线芯的部分应剪掉重接,多股线应装上压线端子,卡片框应补装。
4 保护地线截面不够,保护地线串接:应按规范要求纠正。
5 配线排列不整齐:应按支路绑扎成束,固定美观。
6 配电箱(盘)缺零部件:应配齐各种安装所需零部件。
7 铁制箱用电、气焊开长孔:应一管一孔,不应用电气焊开孔,管入箱应整齐,锁母、护口齐全。
8 箱体稳注周边缝隙过大:应用水泥砂浆将箱、管注实、牢固。
9 铁箱内壁焊点锈蚀:应补刷防锈漆。