素数原根定理如下:



比如:

图1


按照上述说明,ψp(d)的意义就是使得a^d=1 mod p 这个方程的解的个数,也就是a的个数。
对比欧拉定理:
对于互质的正整数 a 和 p ,有 a^φ(p) ≡ 1 mod p 。
我们看到,两者并不相同。欧拉定理并没有要求p一定是素数,而原根定理则是相对于素数而言的。
当p是素数时,满足欧拉定理的a的个数一定是p-1,它不一定就是原根的个数,虽然
φ(p)=p-1,但原根要求的则是 a^d=1 mod p 中最小的d=p-1。
欧拉定理的重点在于指数幂φ(p),而原根定理在于a的个数。
参看作者在《模运算中幂次方程解的构成》一文中的说明,由图1可以得到:

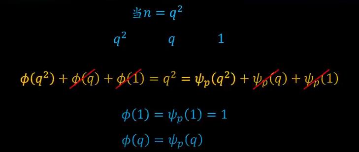
下面证明等式

第一种情况:

因为

所以

第二种情况:



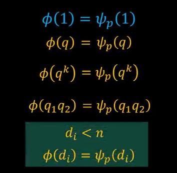
以上是d<n的情形。





这篇文章的最终目的就是为了证明一个素数p的原根个数,就等于φ(p-1)。
证明的思路就是将待证明的整数n分为若干种情况:素数、完全平方数、素数的幂、两个素数的乘积,等等。在考虑了所有的情况以后,再假设n=p-1,从而问题得证。