短路计算
高压短路计算

图1. 高压配电原理图
假设建筑市电1供电系统图如图3.7所示,变压器S1TM1,S2TM1,S2TM3分列运行,举例计算1k-1, 1k-2,1k-3,1k-4三相短路电流计算
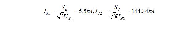
(1)取基准容量Sd=100(MVA),基准电压Ud1=10.5(kV),基准电压Ud2=0.4(kV)

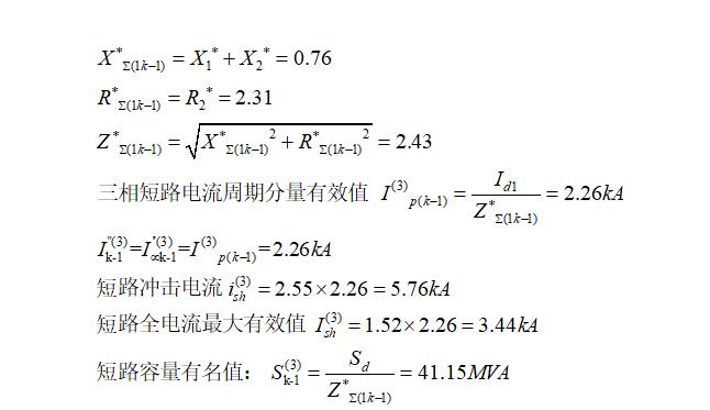
(2)计算各元件阻抗标幺值

(3)求1k-1点三相短路电流和短路容量

(4)求1k-2, 1k-3, 1k-3点三相短路电流和短路容量

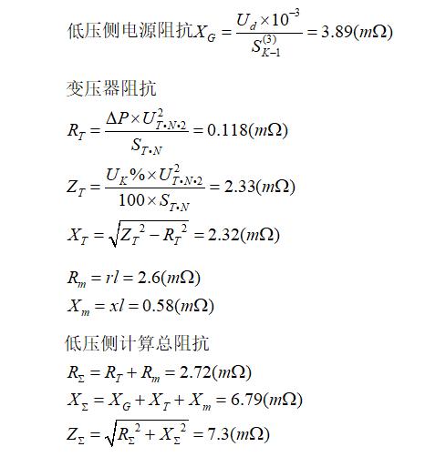
低压短路计算
以某一干线回路为例,设低压干线从变配电室到一层强电间距离为20m, 根据前面导线选择,该回路选择的是XLA-ll 0151型号母线,单位电阻值为r=0.13,单位电抗值为x=0.029

