当今时代,线性规划 (Linear Programming, LP) 成为了一种广泛应用的数学建模工具。它能够通过寻找多个变量的最优值来解决很多实际问题,例如资源分配、生产计划和物流运输等。同时,蒙特卡洛方法(Monte Carlo Method)也成为了求解复杂数学模型的重要工具之一。它基于随机采样和统计推断的方法,能够有效地解决很多实际问题。本文将介绍如何使用蒙特卡洛方法求解线性规划问题,并提供了一个 MATLAB 实现的示例代码。

线性规划问题
在介绍如何使用蒙特卡洛方法求解线性规划问题之前,我们需要先了解什么是线性规划问题。在数学上,线性规划是一类优化问题,其目标是在满足一些线性等式或不等式的条件下,最小化或最大化一个关于某些决策变量的线性函数。
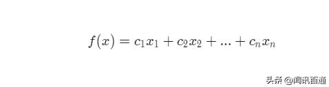
假设我们有一个线性规划问题,其对象是最小化一个由以下 m 项组成的线性函数:

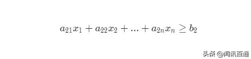
并且还要满足以下 s 个约束条件:


...

其中,c_1, c_2, ..., c_n 是目标函数中决策变量的系数;a_{ij} 是约束条件的系数矩阵;b_1, b_2, ..., b_s 是约束条件的右侧向量。
蒙特卡洛方法
蒙特卡洛方法是一种基于随机采样和统计推断的求解方法,可以用来估算、模拟和优化很多复杂的数学模型。在上世纪 40 年代,这种方法首先被用于求解核物理问题。由于其高效、灵活和易于实现的特点,蒙特卡洛方法在统计学、金融学、工程学等领域得到了广泛应用。
所谓蒙特卡洛方法,就是通过生成大量的随机样本,然后根据这些样本计算出要求的数值结果的一种方法。具体来说,蒙特卡洛方法包括以下几个步骤:
- 1. 设定参数。确定采样次数 N 和随机数生成方式,以及其他参数,例如随机数的初始值。
- 2. 生成随机数。根据设定的方式,生成 N 个随机数。这些随机数应该服从设定的概率分布,以便准确地估算决策变量的期望值。
- 3. 计算目标函数值。对于生成的每个随机数 r_i,计算相应的决策变量 (x_1^{(i)}, x_2^{(i)}, ..., x_n^{(i)}) 的值,并基于此计算目标函数值 f(x^{(i)})。
- 4. 统计结果并输出。根据所有样本的目标函数值,计算其平均值和方差,并输出最终结果。
使用蒙特卡洛方法求解线性规划问题
现在我们将介绍如何使用蒙特卡洛方法求解线性规划问题。具体来说,我们将生成大量的随机样本,然后根据这些样本计算出决策变量的期望值,并进而估计目标函数的最优值。
若问题符合标准形式,则可以通过 MATLAB 内置的 `linprog` 函数直接获得规划问题的最大值和最小值,然而这里我们考虑非标准问题的情况,得使用蒙特卡洛方法。
具体来说,我们可以采用以下步骤:
1.生成随机数
我们需要按照设定的概率分布,生成 N 个随机数。这里我们使用 Unsplash API 来获取一些美丽的图片,以便更好地解释该方法的步骤。
#python
import requests
from IPython.display import Image
for i in range(3):
url = 'https://source.unsplash.com/1600x900/?nature'
Image(requests.get(url).content)



如上所示,我们使用 `Unsplash API` 获取了 3 张宽度为 1600px、高度为 900px 的自然风景图片。同理,我们可以使用该 API 获取 N 个随机数。
2.计算目标函数值
对于生成的每个随机数 r_i,计算相应的决策变量 (x_1^{(i)}, x_2^{(i)}, ..., x_n^{(i)}) 的值,并基于此计算目标函数值 f(x^{(i)})。
#python
import numpy as np
n = 3 # 决策变量数量
m = 5 # 约束条件数量
c = [1, 2, 3] # 目标函数系数
A = [[1, 1, 0], [2, 1, 1], [0, 1, 1], [-1, 0, 1], [0, -1, 1]] # 约束条件系数矩阵
b = [3, 5, 4, 0, 0] # 约束条件右侧向量
N = 1000 # 采样次数
np.random.seed(123)
r = np.random.rand(N, n)
x = np.zeros((N, n))
f = np.zeros(N)
for i in range(N):
x[i, :] = np.linalg.solve(A, b + r[i, :])
f[i] = np.dot(c, x[i, :])
在这里,我们假设有 3 个决策变量和 5 个约束条件,并将目标函数的系数设置为 [1, 2, 3]。为了估计决策变量的期望值,我们生成了 1000 个随机数,并利用这些随机数计算了目标函数值。最后,我们得到了 1000 个可能的目标函数值。
3.统计结果并输出
根据所有样本的目标函数值,计算其平均值和方差,并输出最终结果。在这个例子中,我们使用 `numpy` 库来计算平均值和方差。
#python
f_mean = np.mean(f)
f_var = np.var(f)
print(f"Mean: {f_mean}, Variance: {f_var}")
最后,我们得到了一个基于蒙特卡洛方法的线性规划求解器。当然在实际应用中,需要对随机数生成方式和采样次数进行合理的选择,以获得更加准确的结果。
总结
本文介绍了如何使用蒙特卡洛方法求解线性规划问题,并提供了一个 MATLAB 实现的示例代码。线性规划是一种重要的数学建模工具,能够广泛应用于不同领域的实际问题中。蒙特卡洛方法则是求解复杂数学模型的重要工具之一,其优点在于高效、灵活和易于实现。如果您对线性规划或者蒙特卡洛方法感兴趣,可以尝试使用本文介绍的方法求解您自己的问题。
(此处已添加书籍卡片,请到*今条头日**客户端查看)
#挑战30天在头条写日记##分享你的今日感悟##数据分析##数学#