
这段时间关于年金险怎么算单利这件事被问的太多了,索性写一篇文章,手把手教大家怎么算年金险的单利。
一、公式
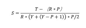
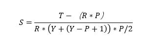
之前的年金险的作用机理的文章中曾经给出过一个简化公式,这里给出准确公式
假设年化单利为S,总收益(到某一年的现金+领取)为T,期缴保费为R,保单年度为Y,缴费期间为P(比如3年交,P=3),则有第Y个保单年度末的年化单利为如下公式:

二、举例
这里用瑞华颐悦无忧终身护理险举个例子,30岁男性,五年交,期缴10万,第10年的现金价值为652332元。

解得年金险年化单利为3.8083%。
三、推导
这里还是以瑞华颐悦无忧终身护理险举例,男性,30岁,五年交,期缴10万,第十年现金价值为652332元,年金险年化单利为S=3.8083%
推导过程如下:
1、年化单利的作用机理
年金险的年化单利计算并不是像银行定期存款一样,直接给你一个数字,比如3.5%,然后你存10万,一年之后利息是100000*3.5%=3500,本息和就是100000+3500=103500。而是根据年金险现金价值表给出一个到某一年年末年金险的现金价值(类比于存款就是本息和),再通过年金险现金价值反推年化单利。
用瑞华颐悦无忧举例的话就是,你每年交10万,交了5年,然后第十年末现金价值是652332元,而这10年中,每一年的年金险年化单利是一样的。这个每年一样的年金险年化单利就是前面公式中的S。你投入的每一笔10万元,每年都会产生10万*S的利息,这些利息加起来,就是现金价值和总保费之间的差值。
2、计算
先给大家一个表格。

从表格中我们可以看出第一年投入的10万元,在之后的10年中每年产生100000*S的利息,第二年投入的10万元,在之后的9年中每年产生100000*S的利息,以此类推,一直到第五年投入的10万保费,在之后的6年中每年产生100000*S的利息。
这里需要特别说明一下,第五年交的保费为什么是放了6年,而不是简单的“10-5=5年”。
原因在于:第五年的保费是第五年初交进去的,而统计现金价值是用第十年末的数据。
举个例子,今天是2021年4月29日,我交了年金险第1年的保费10万元,那么我可以退保拿到652332元的时间是2031年4月29日,这中间相隔了10年时间,而我交第五次保费的时间是2025年4月29日,距离2031年4月29日,还有6年时间。
回到表格中,我们可以看出100000*S,也就是每一年产生的利息一共出现了(10+9+8+7+6)=40次。这样我们把公式变形一下就是S=(652332-(5*100000))/100000*(10+9+8+7+6)=0.038083=3.8083%
这里因为10+9+8+7+6是一个等差数列,可以套入等差数列求和公式(首项(保单年度)+末项(保单年度-缴费期+1))*项数(保单年度)/2。
这样得到了年化单利计算公式:

代入文章开头的定义:
假设年金险年化单利为S,总收益(到某一年的现金+领取)为T,期缴保费为R,保单年度为Y,缴费期间为P(比如3年交,P=3),则有第Y个保单年度末的单利为如下公式:

写在最后
虽然我们一般认为内部收益率是最直观的考察一项长期投资,比如年金险的最有效指标,但是因为日常生活中我们接触到的理财方式都是以单利计息的,所以将一份保单的收益折算单利的形式还是有实际意义的。