对于随机振动试验中,许多人不了解总均方根加速度Grms及功率谱密度PSD之间如何转换,现介绍一下简单的计算方法,为大家做一个参考。

随机振动目标谱图例
振动试验中关于Grms值的计算,对于判定现有设备能否满足试验要求及开展是必需的。
一
随机振动及其参数
随机振动是一种波形杂乱,给定时刻其瞬时值不确定,波形随时间呈不规律变化的振动。
随机振动是由若干正弦振动组成,各正弦振动的振幅与相位变化随时间变化具有不可预测性。不能用振动测量中常用的振动幅、频率、相位等来表示,通常随机振动试验的试验条件(严酷等级)是由试验频率范围 (Hz)、功率谱密度 (g²/Hz)、功率谱密度的频谱、总均方根加速度 (Grms)、试验时间四个参数组成。
二
相关概念
- 方根均值:在f1 和f2 区间内单值函数的方均根值,是在该区间内的函数值的平方的平均值的平方根值。通常用rms表示。
- 总均方根加速度 (Grms):均方根加速度指,通过频谱曲线下面的面积开根号的值。一般振动试验标准中会提供相关值做参考。
- 功率谱密度 (PSD):功率谱密度指,随机信号的各个频率分量所包含的功率(或称能量)在频域上是怎样分布的,通常用PSD表示,单位为g²/Hz。它在频域上分布的曲线图称谱图(简称谱)。横坐标为频率,纵坐标为功率谱密度g²/Hz(称功率谱)。
- 加速度谱密度 (ASD):表示随机信号的各个频率分量所包含的加速度方均值在频域上是怎样分布的。通常用ASD表示,单位:m²/s³或是(m/s²)²/Hz。
加速度谱密度与功率谱密度换算关系:

三
计算Grms


多边形谱
上图中含有平直谱 (A1),梯形谱 (A1+A3),上升谱 (A2),下降谱 (A3)。
1. 平值谱的计算,PSD值乘以频率之差得到A1 的面积。

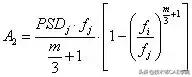
2. 上升谱面积A2计算公式

式中,功率谱密度:PSDj =0.1;初始频率:fi =10;末端频率:fj =100;斜率:m =3。

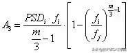
3. 下降谱面积A3计算公式

式中,功率谱密度:PSDi =0.1;初始频率:fi =1000;末端频率:fj =2000;斜率:m=6。

总面积:

上述值经过开方可以得到:

这几个公式可以在EXCEL表中输入,在需要用的时候只要将相关数据输入即可直接得到。
参考资料:
郑志国、王宇峰 2009《随机振动中的参数介绍及计算方法》
来源:可靠性与环境试验微信公众号(ID:kkaoxhj)
-END-