
1-6年级例题和课后练习题。部分年级习题后面附有答案,个别年级习题无答案。
一年级奥数速算、巧算方法及习题





练习题:




二年级奥数速算、巧算方法及习题
1、 凑整:43+88+57
2、 带符号搬家:43+88-33
3、 变加为乘: 8+8+8+8+8+8+8+7
4、 加减抵消: 92-16+23-23+16
5、 减法巧算: 100-36-24,88-(28+15)
6、 找基准数: 52+50+49+46
7、 分组: 90-89+88-87+86-85+84-83
8、 等差数列(高斯公式): 1+2+3+……+998+999+1000
单数项的等差数列: 3+5+7+9+11 = 7×5
金字塔数列: 1+2+3+……+98+99+100+99+98+……+3+2+1
速算第一步: 观察!
(是否能用公式,数字有什么特点,符号有什么特点,是否有别的简便方法……)
速算思想:
1、 “整”比“散”好! (100+200 比 156+288好算)
2、 “小”比“大”好! (1+2 比 1257+3658好算)
掌握理论:
(理论对于三年级的孩子来说比较晦涩,通过简单的例子让他们记忆深刻,会用就可以了)
1、 加法交换律:1+2 = 2+1
2、 加法结合律:(1+2)+3 = 1+(2+3)
3、 带符号搬家: 加减法中数字就像逛超市,每人推着自己的小车,去哪儿都推着(即符号在前面) 43+88-33 = 43-33+88 = 88+43-33
4、加括号: 5+3-2 = 5+(3-2),5-3-2 = 5-(3+2)
5、减括号:5+(3-2)= 5+3-2, 5-(3+2)=5-3-2=5-(3+2)
【括号前为+,添/去括号后不变,
括号前为-,添/去括号后括号内要变号】
一、 分组凑整法
例:(1350+249+468)+(251+332+1650)
=1350+249+468+251+332+1650
=(1350+1650)+(249+251)+(468+332)
=3000+500+800
=4300
894-89-111-95-105-94
=(894-94)-(89+111)-(95+105)
=800-200-200
=400
567+231-267+269
=(567-267)+(231+269)
=300+500
=800
2000-99-9-98-8-97-7-96-6-95-5-94-4-93-3-92-2-91-1
=2000-(99+9+98+8+97+7+96+6+95+5+94+4+93+3+92+2+91+1)
=2000-[(99+1)+(98+2)+(97+3)+(96+4)+(95+5)+(94+6)+(93+7)+(92+8)+(91+9)]
=2000-900
=1100
1+2-3-4+5+6-7-8+9+……+1998-1999-2000+2001
=1+(2-3-4+5)+(6-7-8+9)+……+(1998-1999-2000+2001)
=1
一、 加补凑整法
适用于:接近于整百(整千……)的数
例:165+199 或
=165+200-1 =164+1+199
=364 =364
198+96+297+10
=200+100+300-2-4-3+10 注:也可将10拆成2、4、3与198、96、297凑整,最后剩1
=600-9+10
=601
895-504-97
=900-5-500-4-100+3 在减法中,孩子很容易将-504拆成-500+4,将-97拆成-100-3。
=300-5-4+3 可比喻为花钱,-504就是付504元钱,-500还不够,还要再-4
=300-6
=294
98-96-97-105+102+101
本题速算解法很多!因为各数都接近于整百,故加补凑整法肯定可以,这里略去,
仅列举其他两种方法以启发孩子思维。
=98-96-97-3-102+102+101
=(98-96)-(97+3)-102+102+101
=2-100+101
=3
或=(101-96)+(102-97)+98-105
=5+5+98-105 观察到减去两个连续的数,又加上两个连续的数,可先做运算
=108-105 得到两个相同的较小数以简化运算
=3
195+196+197+198+199 观察是等差数列,个数为单
=200+200+200+200+200-5-4-3-2-1 故,还可用中间数×个数
=1000-15 =197×5
=985 =985
89 + 899 + 8999 + 89999 + 899999
=90+900+9000+90000+900000-1-1-1-1-1
=999990-5
=999985
一、 位值原理
适用于:各数位有特点,按数位相加(即千位加千位,百位加百位)更简便
1234 + 3142 + 4321 + 2413
分析:经观察,个位上1、2、3、4各出现一次,十位上也是,百位、千位也是,分数位相加更简单。
千位:1+2+3+4=10 ,即10个千,就是10000
百位:1+2+3+4=10 ,即10个百,就是1000
十位:1+2+3+4=10 ,即10个十,就是100
个位:1+2+3+4=10 ,即10个一,就是10
原式=10000+1000+100+10=11110
123 + 234 + 345 + 456 + 567 + 678 + 789
分析:各数位有特点,所以分数位相加更简单
百位:1+2+……+7=28,即28个百
十位:2+3+……+8=35,即35个百
个位:3+4+……+9=42,即42个一
原式=2800+350+42= 2800+200+150+42=3192
注:本题也是一个单数项的等差数列,所以还可以直接=456×7
123 + 234 + 345 - 456 + 567 - 678 + 789
=123+234+345+(567-456)+(789-678)
=234×3+111+111
=702+222
=924

二年级奥数速算、巧算方法及习题
1.37+56+63+44
2.284+178
3.89+91+90+92+88+87+93+92+87
4.4996+3993+2992+1991+98
5.1800-90-176-10-24
6.125x13x4x8x25x5x2
7.1999+999x999
8.321x654÷987÷654x987÷321
9.9999x2222+3333x3334
10.1-2+3-4+5-6+…+1991-1992+1993
11.947+(372-447)-572
12.2997x729÷(81÷81)
13.(46+56)x(172÷4)+14
14.(91x48x75)÷(25x13x16)
———————————答 案—————————————
1. 200
原式=(37+63)+(56+44)
=100+100
=200
2. 462
原式=(300-16)+(200-22)
=(300+200)-(16+22)
=500-38
=462
3. 809
原式=(90-1)+(90+1)+90+(90+2)+(90-2)+(90-3)+(90+3)+(90+2)+(90-3)
=90´9-1+1+2-2-3+3+2-3
=810-1
=809
4. 14070
原式=(5000-4)+(4000-7)+(3000-8)+(2000-9)+(100-2)
=5000+4000+3000+2000+100-4-7-8-9-2
=14100-30
=14070
5. 1500
原式=1800-(90+10)-(176+24)
=1800-100-200
=1500
6. 13000000
原式=(125x8)x(25x4)´(5x2)x13
=1000x100x10x13
=13000000
7. 1000000
原式=1000+999+999x999
=1000+999x(1+999)
=1000+999x1000
=1000x(1+999)
=1000´1000=1000000
8. 1
原式=(321÷321)x(654÷654)x(987÷987)
=1x1x1=1
9. 33330000
原式=3333x3x2222+3333x3334
=3333x6666+3333x3334
=3333x(6666+3334)
=3333x10000
=33330000
10. 997
原式=1+(3-2)+(5-4)+…+(1991-1990)+(1993-1992)
=1+1x996
=997
11. 300
原式=947+372-447-572
=(947-447)-(572-372)
=500-200
=300
12. 650000÷169x13
原式=650000÷(169÷13)
=650000÷13
=50000
13. 4400
原式=102x43+14
=(100+2)x43+14
=4300+86+14
=4300+(86+14)
=4300+100
=4400


三年级奥数速算、巧算方法及习题
例1、在合适的地方填上+、-、或×,使等式成立。
(1)1 2 3 4 5=1
(2) 1 2 3 4 5=0
练习1 、在合适的地方填上+、-、或×,使等式成立。
(1) 3 3 3 3=3
(2) 3 3 3 3=9
例2、下面两道算式需要填四个运算符号,每个符号只用一次,该怎样填呢?
(1) 9 3 7=20
(2)14 2 5=12
练习2、下面算式等号两边分别用什么运算符号,两边才能相等。
(1)2 5 6=13
(2)5 13=9 2
例3在□里填上合适的数字。

练习3、在□里填上合适的数字。

例4.在□里填上合适的数字。

练习4、填一填。


课后练习
1.把1~9这9个数字分别填入下面的○中,正好组成一道算式。

2.把494、495、496、497、498、499、501、502、503、504、505、506这十二个数分别填入下面的方格中,使等式成立。(每个数只能用一次)

3.在同样的图形中填入同样的数字。


4.在数字之间填上合适的运算符号或括号,使等式成立。
(1)1 2 3 4=1
(2)1 1 1 1=1
(3)5 5 5 5=15
(4)5 5 5 5=25
(5)1 2 3 4 5 6 =12
5.算式8×5-42÷7+25,计算时( )可以同时计算。
A.乘法和除法 B.减法和加法
6.在下面的五个“8”之间已经填上适当的运算符号或括号,请你添上最后的一个运算符号或括号,使下面的各算式成立。
(1)8+8 8+8+8=24
(2)8+8+8÷8×8=24
(3)8×8÷8+8=24
(4)8 8+8+8+8=24
7.在下面各式添上合适的运算符号和括号,使各算式成立。
(1)2 2 2 2 2=0 (4)2 2 2 2 2=5
(2)2 2 2 2 2=6 (5) 2 2 2 2 2=9
(3)2 2 2 2 2=7 (6)2 2 2 2 2=8
基础训练;
1.用竖式计算
860÷5= 920÷9= 484÷8= 6.4-5.8=
45×14= 68×86= 70×97= 7.5+2.6=
2、列式计算。
(1)14与72的积,减去900除以3所得的商,差是多少?
(2)甲数是34507,比乙数少10895,乙数是多少?
(3)900减去86的75倍,再加上590,和是多少?
3.解决问题:
(1)我校从8:00上早操到11:50放学,下午从15:00开始上课到17:30放学,这一天在校时间是多少小时?
(2)果园工人给果树剪枝,每人每天可以剪8棵,照这样计算,7个人3天可以剪多少棵?
(3)气象小组测得某一周中每天最高气温的摄氏度分别是:30、31、33、32、29、32、30。这一周的平均最高气温是多少摄氏度?


四年级奥数速算、巧算方法及习题





(1). 你能从上面的计算中,总结出个位数字的和等于10、十位数相同的两位数相乘的简便算法吗?



五年级奥数速算、巧算方法及习题
数的概念
自然数:0,1,2,3,4……叫自然数。
整数:正整数,0,负整数统称整数。
……-4,-3,-2,-1,0,1,2,3,4……
1、 整除:
整数a除以整数b,如果除得的商是整数,而余数为0,我们就说a能被b整除,或者说b能整除a。
如果整数a能被整数b整除(b不等于0),a就叫b的倍数,b就叫a的约数(因数)。
2、 整除的条件:
(1)、除数被除数都是整数
( 2 )、被除数除以除数,商是整数,而且余数为零,除数不为零。
3、整除的特征:
(1)、0能整除任意非零的整数,1能整除任意整数
(2)、能被2整除的数的特征:一个数的末尾数字是0,2,4,6,8
(3)、能被3(或9)整除的数的特征:各位数字的和能被3(或9)整除
(4)、能被4(或25)整除的数的特征:末尾两位能被4(或25)整除
(5)、能被5整除的数的特征:一个数的末尾是0或5
(6)、能被6整除的数的特征:同时能被2或3整除
(7)、能被7整除的数的特征:去掉个位数字,再从剩下的数中减去个位数字的2倍,差是7的倍数
(8)、能被8(或125)整除的数的特征:末尾3位能被8(或125)整除
(9)、能被10整除的数的特征:末尾数字是0
(10)、能被11整除的数的特征:奇位上的数字的和与偶位上数字的和的差能被11整除
(11)、能被7、11、13整除的数的特征:一个整数,如果他的末三位数与末三位以前的数字所组成的数的差能被7、11、13整除
(12)、能被16(或625)整除的数的特征:末尾四位数能被16或625整除。

练习
1:(1)、判断下列哪些数能被2整除?
21 44 56 65 98
(2)、判断下列哪些数能被3整除
111 135 186 1539 5739
(3)、判断下列哪些数能被4整除?
84 200 1984 1978 2008 2009
12456 37212 7800 5408
(4)、判断下列哪些数能被5整除?
135 65 80 4246 15360 95556 50058
(5)、判断下列哪些数能被25整除?
75 125 7800 178 197 2050 2029 2350 65325
(6)、判断下列哪些数能被10整除?
9060 4140 1531 95856 56340
(7)、判断下列哪些数能被100整除?
1200 170 110 200 2029
(8)、判断下列哪些数能被7整除?判断下列哪些数能被11整除?判断下列哪些数能被13整除?
128114 94146 64152 238231 413412 242231 439417
(9) 判断下列哪些数能被8整除?判断下列哪些数能被125整除?
1880 1978 1997 2008 2009 178 197 2250 2029
672520 333640 78500 987000 333420
(10)、判断下列哪些数能被9整除?
1161 4248 15310 95856 56349 73265 64585 6723 66123
2:
(1)、在___中填入合适的数字,使组成的数能被4整除
78___4 7653___ 863___ ___
(2)、在___中填入合适的数字,使组成的数能被25整除
98___5 765___ 667___ 874___0
(3)、在___中填入合适的数字,使组成的数能被8整除
32___80 789___2___ 664___
(4)、在___中填入合适的数字,使组成的数能被125整除
662___0 887___0 4525___ ___ 6673___ ___
(5)、在___中填入合适的数字,使组成的数能被9整除
78___3 68___4 322___
(6)、在___中填入合适的数字,使852___7能被7整除,7630___2能被11整除,890___能被13整除。
3:
(1)、1877至少加上一个什么样数就能被8整除,至少减去一个什么数能被125整除?
(2)、87564至少减去一个什么样的数就能够被9整除?

-----------------------练习答案----------------------
1、(1)44 56 98
(2)111 135 186 1539 5739
(3)84 200 1984 2008 12456 37212 7800 5408
(4)135 65 80 15360
(5)75 125 7800 2050 2350 65325
(6)9060 4140 56340
(7)1200 200
(8)能被7整除:128114 238231
能被11整除:64152 242231 439417
能被13整除:94146
(9)能被8整除:1880 2008 672520 333640 987000
能被125:2250 78500 987000
(10)1161 4248 56349 6723 66123
2
(1)答案不唯一7804 76536 86312
(2)答案不唯一9825 7650 6675 87400
(3) 答案不唯一32080 789720 6640
(4)66250 88750 452500 667375
(5) 答案不唯一7803 6804 3222
(6)85267 (267-85)÷7=26
763092 (763-92)÷11=61
8905 (905-8)÷13=69
3、(1)1877+3=1880 880÷8=110
1877-2=1875 875÷125=7
(2)87564-3=87561
8+7+5+6+4=30 30-3=27 27÷9=3


六年级奥数速算、巧算方法及习题
一、认真思考,对号入座:(共30分)
(1)一个圆的周长是6.28米,半径是( )。
(2)一块周长是24分米的正方形铁板,剪下一个最大的圆,圆的面积是( )。
(3)一项工程,甲单独做要6小时完成,乙单独做要9小时完成。甲、乙合做2小时,完成了这项工程的( ),余下的由甲单独做,还要( )小时完成。
(4)以“万”为单位,准确数5万与近似数5万比较最多相差( )。
(5)在推导圆的面积公式时,将圆等分成若干份,拼成一个近似的长方形,已知长方形的长比宽多6.42厘米,圆的面积是( )平方厘米。
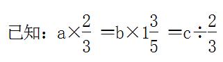
(6)

且a、b、c都不等于0,则a、b、c中最小的数是( )。
(7)甲是乙的1/5,乙是丙的1/5,则甲是丙的( )。
(8)六年级共有学生180人,选出男生的1/13和5名女生参加数学比赛,剩下的男女人数相等。六年级有男生( )人。
(9)今年王萍的年龄是妈妈的1/3,二年前母子年龄相差24岁,四年后小萍的年龄是( )岁。
(10)六(1)班男生的一半和女生的1/4共16人,女生的一半和男生的1/4共14人,这个班( )人。
(11)把一个最简分数的分母缩小到原来的1/3,分子扩大到原来的3倍,这个分数的值15/2,这个最简分数是( )。
(12)一个真分数,分子和分母的和是33,如分子减2,分母增加4,约简后是2/3,原分数是( )。
(13)一件工作,甲做3天,乙做5天可完成1/2;甲做5天,乙做3天可完成1/3。那么,甲乙合做( )天可完成。
(14)把20克药粉放入180克水中,药粉占药水的( )。
(15)

空桶重( )千克?
二、看清题目,巧思妙算:(共27分)
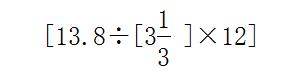
(1)计算下列各题
[28÷[7.8]×5]
[7×[9.3]-2.3]

(2)3000以内有多少个数能被11整除?
(3)有13个自然数,它们的平均值精确到小数点后一位数是18.6,那么精确到小数点后三位数是多少?
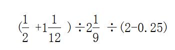
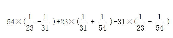
(4)用最简便的方法计算。






三、面积计算。(共8分)
(1)如图,圆的周长为6π厘米,梯形中位线为8厘米。阴影面积是多少平方厘米?

(2)图中扇形的半径OA=OB=6厘米,∠AOB=45°, AC垂直OB于C,那么图中阴影部分的面积是多少平方厘米?

四、走进生活,解决问题:(共35分)
(1)某小学学生中3/8是男生,男生比女生少328人,该小学共有学生多少人?
(2)有两袋米,甲比乙少18千克。如果再从甲倒入乙6千克,这时甲的米是乙的5/8,甲原来有多少千克米?
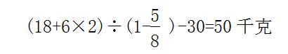
(3)一项工程,甲单独做12天可以完成。如果甲单独做3天,余下工作由乙去做,乙再用6天可以做完。若甲单独做6天,余下工作乙要做几天?
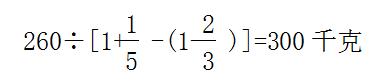
(4)食堂有一批大米,用去总重量的2/3后,又运进260千克,现存大米比原来还多1/5,现存大米多少千克?
(5)加工一批零件,甲单独做3天完成,乙单独做4天完成。两人同时加工完成任务时,甲比乙多做24个。这批零件有多少个?
(6)一个半圆的周长是102.8厘米,这个半圆的面积是多少平方厘米?
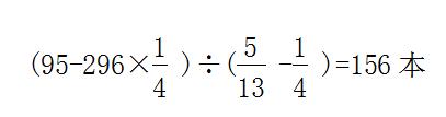
7)甲、乙两班各有一个图书室,共有296本书。已知甲班图书的5/13 和乙班图书的1/4 合在一起是95本,那么甲班图书有多少本?
(8)一项工作,甲乙两队合作9天完成,乙丙两队合作12天完成,甲丙两队合作需18天完成,现在三队合作需多少天完成?
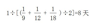
(9)一项工程,甲单独做10日可完成,乙单独做15日可完成。今甲、乙合作,但因乙休息了若干日,则用了8日完成。问乙休息了几日?

———————————答 案—————————————
一、认真思考,对号入座:
(1) 1米
(2)28.26平方分米
(3)5/9 8/3
(4) 0.5万
(5)28.26
(6) b
(7)1/25
(8) 91
(9) 16
(10)40
(11) 5/6
(12)16/17
(13)9.6
(14)1/10
(15) 5/4
二、看清题目,巧思妙算:
(1) 20 60 55
(2) [3000/11]=272
(3)
18.55×13‹13个自然数的和‹18.64×13
241.15‹13个自然数的和‹242.32
242÷13≈18.615
(4) 7/8 450 1.976 21/16 13.25 1
三、面积计算。
(1)8×6-3×3×3.14=19.74平方厘米
(2)6×6×3.14×45/360-6×3÷2=5.13平方厘米
四、走进生活,解决问题:

(1)

(2)

(3)

(4)

(5)

(6)

(7)

(8)

(9)
