光凭什么是电磁波?因为我算出来的呀|王木头讲科学

本文由公众号 “把科学带回家” 提供

给孩子最好的科学教育

音频在哪里?音频在这里。

今天是王木头讲科学的第14期节目。

光凭什么是电磁波?因为我算出来的呀|王木头讲科学

来自北京大学的木头哥哥是把科学带回家的明星主持人,他最擅长给孩子讲有趣的科学。

▼ 用听的 ▼ ▼

用看的 ▼ ▼

因为惠更斯的数学和迈克尔逊的实验,光的波动学说取得了一场巨大的胜利。当时很多的人都认为,光的粒子学说应该没有办法翻身了。可是,波动说并不完美,它仍然是有机可乘的。

光既然是一种波,那它到底是一种什么波呢?当时所有已知的波都有一个特点,比如水波,要有水才行,水分子的上下有规律的震动产生了水波;声波要有空气才行,空气有规律的压缩和震动产生了声波。这些波能产生,都是要依赖一些物质的,这些物质叫做介质。这在当时看来有波就必然有介质,如果没有介质是不可能有波的。

光凭什么是电磁波?因为我算出来的呀|王木头讲科学

可是光却非常的特别。太阳光和星光都是从宇宙中照射到地面的,宇宙可几乎是真空的,什么东西也没有,当然也不可能有光传播所能被依赖的物质。那光是不是压根就不需要介质呢?不需要介质,光还能是波吗?这件事情当时的科学家们可是搞不明白的,所以他们为了让光是波这件事更靠谱一些,那就需要想象出来了一种物质。这个物种充满了整个宇宙,光就是在这种物质上进行传播的。它的名字叫做以太,可以的以,太阳的太。这是根据外国单词的发音翻译的,汉字并没有实际的意义。

直到后来出现了一位科学家——麦克斯韦,它最后解决了这个问题。这个过程还非常地具有戏剧性。与其说麦克斯韦是一位科学家,其实他更像是一位数学家,比起做实验他更擅长用笔去做计算。最后让他流芳百世,成为与牛顿和爱因斯坦比肩的科学家的正是大名鼎鼎的麦克斯韦方程组。

光凭什么是电磁波?因为我算出来的呀|王木头讲科学

这是四个描述四种现象的数学公式。很有趣的是,这四个现象没有一个是麦克斯韦自己发现的,都是别人已经研究过的成果。不过麦克斯韦却很神奇的把四个公式结合在了一起,然后通过自己扎实的数学能力做出了重大的发现。更神奇的是,最开始的时候,所有人包括麦克斯韦自己本身都认为自己所研究的是电和磁,最后没想到它能揭开光线的本质。

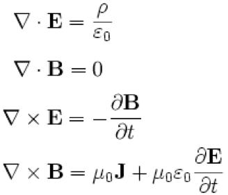
大家如果非常好奇麦克斯韦方程到底长什么样子的话,下面的图上有这四个方程。

光凭什么是电磁波?因为我算出来的呀|王木头讲科学

大家一定是看不懂的,甚至觉得除了乘号啊,等号啊根本就不像是数学公式,连个数字都没有。看不懂是很正常的,只有专门研究这些的人才会知道那些奇形怪状的符合代表什么意思。

这四个方程本身所表达的现象其实并不复杂,无非就是在说电场是有起点和终点的;磁场是首尾相连的环,没有起点和终点;电场变化可以产生磁场,磁场变化同样可以产生电场。可就是这几个简单的原理,可以用来解释所有的电和磁的现象。就比如说,发电机为什么能发电啊,电磁铁为什么通电产生磁场啊等等全部都可以解释。

不过如果说靠这个能解释光的现象,当时的人是没有人会相信的。直到麦克斯韦发现了这四个公式的一个奇怪组合,组合后具体的公式我就不给大家看了,反正也是不懂。不过这个公式有一个特点,那就是它看起来很像是一个波。

一个公式像一个波,大家会不会觉得很奇怪,感觉这两个东西都不挨着啊,怎么能说它们像呢?至少应该是说一个公式像另一个公式吧。还真是这个样子。像是水波啊、声波啊。这些常见的波呢,很早就被科学家们研究了,甚至经过很多科学家们的努力,发现了通过一个数学公式就可以把所有类型的波都描述清楚了。这个公式就叫做波动方程。麦克斯韦通过四个方程推导出的那个很特别的方程,就是怎么看都像是一个波动方程的样子。

光凭什么是电磁波?因为我算出来的呀|王木头讲科学

于是麦克斯韦就突然想通了,也许电和磁也是可以组成一种波的。因为电可以变成磁,磁可以变成电,电和磁的这种相互转化和震荡不就是一种波吗?就像是水和空气震荡一样,只不过电磁波很特别,因为它是依靠自身的转化,所以非常有可能根本就不需要介质,这样在宇宙的真空中也是可以传播的。

即使到了这里,麦克斯韦仍然没有把电磁波和光联系在一起,直到他通过电磁波波动方程来计算电磁波的传播速度。不算不知道,一算吓一跳,这个速度竟然是和光速非常一致,一致到很难让人相信这仅仅是一个巧合。于是麦克斯韦才做出了一个大胆的假设,光并没那么特殊,它只是一种电磁波而已。

于是,麦克斯韦成了人类第一个发现光和电磁波的人。也正是麦克斯韦通过数学的方式进行有理有据的猜想,才为后来光的发展和研究开拓了新思路。不过这还没有完,毕竟现在还仅仅是猜想,并没有实验证明。只要实验还没有被证明,他就有可能是错的,也许他真的就是一个巧合而已。还好,后来有科学家最后验证了光和电磁有着密不可分的关系。这些实验本身并不复杂,只是从来也没有人把光和电磁波联系起来,正是麦克斯韦完成了这一步重大的飞跃。

《王木头讲科学》的时光机

热门活动

不过瘾,请戳

把科学带回家 ID:bringsciencehome

给孩子最好的科学教育

转载请联系 kids@huanqiukexue.com

长按二维码关注我们