陕西师范大学方志敏&冯江山&刘生忠团队Angew:氟助力的表面梯度钝化实现高效宽带隙钙钛矿太阳能电池

【文章信息】
氟助力的表面梯度钝化实现高效宽带隙钙钛矿太阳能电池
第一作者:严楠
通讯作者:方志敏*,冯江山*,刘生忠*
单位:陕西师范大学
【研究背景】
带隙为1.68 eV的宽带隙钙钛矿是两端钙钛矿/硅叠层太阳电池的重要前电池吸光材料。然而,这类宽带隙钙钛矿太阳电池中存在大量缺陷诱导的非辐射电荷复合,导致器件开路电压( V OC)远低于理论值,严重限制了器件效率的进一步提升。
【文章简介】
近日, 陕西师范大学方志敏&冯江山&刘生忠团队 在国际知名期刊 Angewandte Chemie International Edition 上发表了题为 “Wide-Bandgap Perovskite Solar Cell Using a Fluoride-Assisted Surface Gradient Passivation Strategy” 的研究工作。在该工作中,研究人员通过采用氟化物辅助表面梯度钝化的策略获得了效率高达21.63%,开路电压达1.239 V ( V OC损失低至441 mV)的宽带隙钙钛矿太阳电池。

【本文要点】
要点一:钙钛矿薄膜中存在大量负电缺陷
该团队首先通过UPS测试,深能级瞬态谱测试以及DFT理论计算得出,在宽带隙钙钛矿薄膜中存在着大量的受体缺陷(IPb,IA反位缺陷),这类深能级缺陷极大地限制了器件 V OC的提升。铵盐类添加剂可用作缺陷钝化剂引入钙钛矿薄膜去钝化这些受体缺陷。
要点二:p-FPEAI对钙钛矿薄膜中的负电缺陷钝化效果最佳
该团队通过DFT理论计算结果发现,使用F取代苯乙胺碘(PEAI)苯环中不同位置(邻、间、对)的H,即 o -FPEAI, m -FPEAI和 p -FPEAI,可以显著提高-NH3+末端的正电性,从而明显提高FPEA+在带负电的IA和IPb缺陷上的吸附性,其中 p -FPEAI的吸附性最强,使其具有最好的缺陷钝化效果。实验结果进一步证实,相比于PEAI, o -FPEAI和 m -FPEAI,采用 p -FPEAI钝化钙钛矿薄膜后,钙钛矿薄膜的质量提高最为显著。 p -FPEAI修饰后的器件性能最优,与理论计算结果一致。

图 1. 钝化剂与宽带隙钙钛矿表面的相互作用:(a) -NH3+正电性(Charge=QFPEA-QPEA);(b)铵阳离子中-NH3+与钙钛矿中受体缺陷(IPb和IA)的吸附能(E ad = Ead (FPEA)- Ead (PEA));(c)IPb,(d) IA铵阳离子与受体样缺陷相互作用示意图。

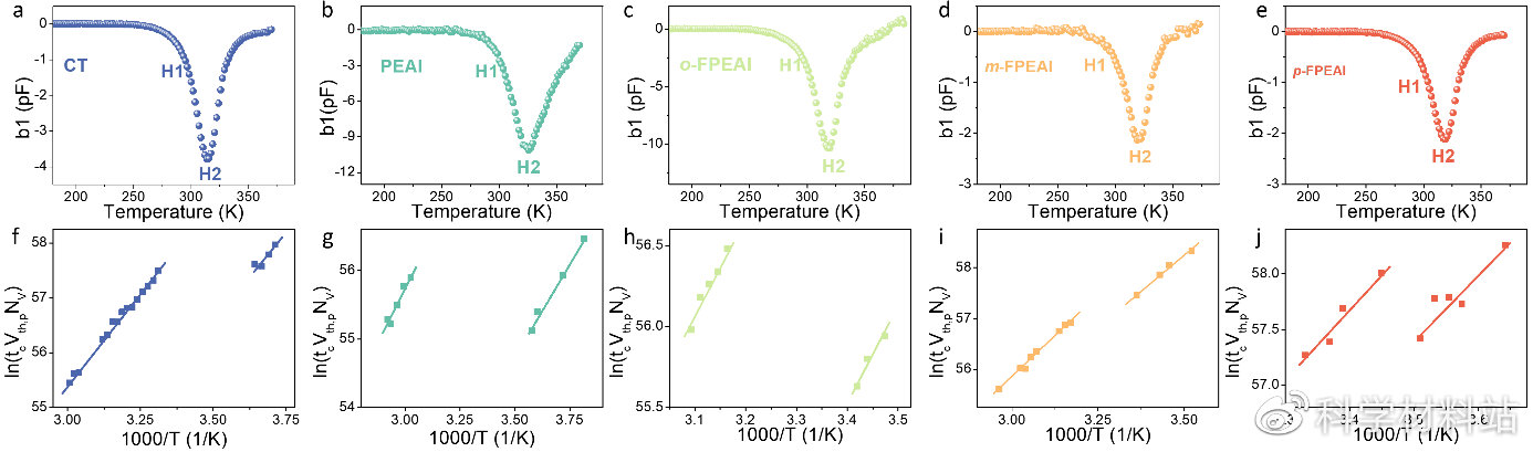
图 2. 深层缺陷表征:不同样品的深能级瞬态光谱(a~e)和(f~j)相应的Arrhenius图。

图 3.宽带隙钙钛矿太阳能电池的光伏性能:(a)不同钝化剂修饰的器件光伏参数;(b)每种条件器件的最优 J - V 曲线;(c)瞬态光电压;(d) V OC光强依赖曲线;(e)暗态 J - V 曲线;以及(f)最大功率点(MPP)稳定输出对比。
要点三:表面梯度钝化策略钝化效果显著
通过对比三种钝化方式,即体相钝化(bulk passivation, BP),后处理钝化(post-treatment passivation, PTP)以及表面梯度钝化(surface gradient passivation, SGP),发现当使用SGP方式引入 p -FPEAI钝化剂时,缺陷钝化效果最好,电荷传输性能最佳,从而实现了最优的器件性能。最终,有效面积为0.09 cm2的刚性电池效率为21.63%, V OC损失为441 mV,相同面积柔性电池效率为21.02%。此外,当电池有效面积增加到1 cm2后,效率仍高达19.31%。该工作有助于为开发高效宽带隙钙钛矿太阳电池提供理论指导和实验支持。

图6.使用不同钝化剂引入方式制备的钙钛矿器件光伏性能:(a)每种器件的最优J-V曲线;(b)最优SGP器件的 J - V 曲线及统计图;(c)最优电池的输出稳定性。(d)最优柔性电池和(e)具有1 cm2活性面积的器件的 J - V 曲线。(f)最优器件的EQE积分曲线。

图7.不同钝化剂引入方式制备的钙钛矿薄膜表征:(a)单电子传输层器件的暗J-V曲线;(b)钙钛矿薄膜的XRD图;(c)钙钛矿薄膜的UV-vis光谱(插图为Tauc曲线);(d~g)SGP和BP膜的TOF-SIMS表征。
【文章链接】
Wide-Bandgap Perovskite Solar Cell Using a Fluoride-Assisted Surface Gradient Passivation Strategy
https://doi.org/10.1002/anie.202216668
【通讯作者简介】
刘生忠: 教授,博士生导师,国家特聘专家,创建了陕西师范大学新能源高等技术研究院、陕西省能源新材料与器件重点实验室和陕西省能源新技术工程实验室,以国际先进材料的发展前沿为导向,以新型光电功能材料与器件研究为主线,是物理、化学、材料、信息、能源、环境等多学科高度交叉融合的研究基地。
方志敏: 陕西师范大学材料科学与工程学院(新能源高等技术研究院)师资博士后,主要从事钙钛矿及钙钛矿叠层太阳电池研究。在 Angewandte Chemie-International Edition, Advanced Functional Materials, InFoMat, Science Bulletin等 期刊发表论文10余篇。
冯江山: 陕西师范大学材料科学与工程学院(新能源高等技术研究院)副研究员,主要从事新能源材料及钙钛矿太阳电池制备与研究工作,在 Advanced Materials, Energy & Environmental Science, Nano Energy, Angewandte Chemie-International Edition, Materials,等 期刊发表论文40余篇。Frontiers in Materials 期刊客座主编, Materials期刊客座编辑,多家知名期刊审稿人。
【第一作者介绍】
严楠: 陕西师范大学材料科学与工程学院2020级博士研究生,研究方向为高效反式钙钛矿太阳能电池的制备。主持博士自由探索项目一项。目前在 Angew. Chem. Int. Ed.、Adv. Funct. Mater. 发表相关论文各一篇。
【课题组介绍】
陕西师范大学新能源高等技术研究院在薄膜材料、太阳能光伏器件、光电薄膜等研究领域已取得了一系列国际领先的研究成果,拥有齐全的钙钛矿太阳电池制备与表征设备。团队在低温制备高效稳定钙钛矿器件方面取得了众多国际领先的研究成果。2014年以来,刘生忠教授团队在钙钛矿领域已经发表,包括 Energy Environ. Sci.、Joule、Matter、Adv. Mater.、Nat. Commun.、J. Am. Chem. Soc.等 SCI论文200余篇,其中四十多篇论文入选ESI高被引论文和热点论文。申请专利一百余项。