
本题是云师大附中2023届高考适应性月考卷数学(八)的第20题,题目出得很新颖,但第二问的解决要用到一个很不常见的不等式 ,学生在考场上几乎是不可能想到的,这里提供一个比较正常的解法。我们先看一下参考答案的方法。

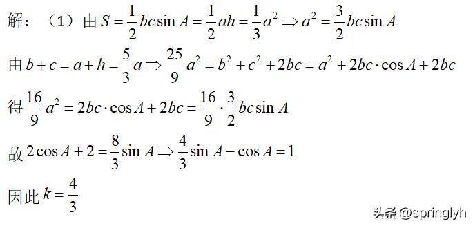
这是第一问的解法,想法自然,由三角形的高出发,想到面积,结合余弦定理处理。方法很常规也很重要,学生应该是可以想到的。

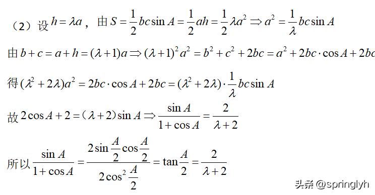
到这里,方法都还是很自然的,完全模仿第(1)问的处理思路,其中用到半角的正切公式,学生可能不太熟练,通过这道题复习一下也是很好的。当然,这里给我们的启示也很重要,对于比较难处理的第(2)问,要学会从第(1)问中找灵感,由特殊到一般。但下面的方法就有点玄乎了。这里要先证明一个“卡脖子”的不等式。

这个方法很巧妙,但不等式 知道的学生应该很少,就算知道,在这个地方能想到的学生可能就更少了,所以这种方法在考场上几乎是不会有学生用的。下面的方法可能就正常一些了,其实难度也并不大。

这里之所以要证明角B,C为锐角,是要说明点D一定在BC上。通过锐角三角函数的定义,在直角三角形中,把边的关系转化成角的问题,这是这个方法的重点,同时也是一个很重要、很常规的处理手法,学生是必须要掌握的。有了上面的基础,下面的步骤就没有太多的难度了。
