✍️〔查里•芒格思维模型〕
101-78:排列组合思维模型
“ 排列组合是 组合学 最基本的概念。
所谓 排列 ,就是指从给定 m 个数的元素中取出指定 n 个数的元素,进行排序。
组合 则是指从给定 m 个数的元素中仅仅取出指定 n 个数的元素,不考虑排序。
排列组合 的中心问题是研究给定要求的排列和组合可能出现的情况总数。
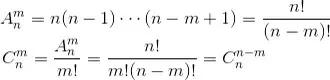
基本公式描述:

公式中A(n,m)为排列数公式,C(n,m)为组合数公式。排列与组合定义相近,它们的区别在于是否考虑 顺序 。 ”

ps:
(1) 排列组合寻求最优解。 生活和工作中难免会遇到一些复杂棘手的问题,这时可以尽可能多的列出其影响因素和解决方案,通过排列组合的方式寻找出最优解决方案。
(2) 排列组合促进目标管理。 对于一个大目标的达成,往往不能一蹴而就,这时需要将目标分解,并进行阶段性排序,从而规划出实现目标的最合理化路径。