高考物理难题集锦 (物理高考压轴题解题技巧大全)

高考物理临界问题解题技巧,高考物理难题集锦

高中物理试题中一般有两种类型的不对称性问题:

①由于“空缺”引起的不对称问题(简称为:“空缺型”)

②一般不对称性问题(简称为:“普通型”).

“空缺型”不对称问题的处理技巧

在分析这类不对称物理问题的时候,可以将研究对象进行补全和还原,从而使非理想化模型转化成理想化模型,使非对称体变成对称体,再根据所学知识进行处理;这种 “补全法”在物理解题中应用比较广泛,也是解决物理问题的重要方法之一.

高考物理临界问题解题技巧,高考物理难题集锦

(此处已添加圈子卡片,请到*今条头日**客户端查看)

经典真题

如图所示,P,Q为某地区水平地面上的两点.在P点正下方一球形区域内储藏有石油.假定区域周围岩石均匀分布,密度为ρ;石油密度远小ρ,可将上述球形区域视为空腔.如果没有这一空腔,则该地区重力加速度(正常值)沿竖直方向;当存在空腔时,该地区重力加速度的大小和方向会与正常情况有微小偏离.重力加速度在原竖直方向(即PO方向)上的投影相对于正常值的偏离叫做“重力加速度反常”.已知引力常数为G.

高考物理临界问题解题技巧,高考物理难题集锦

(1)设球形空腔体积为V,球心深度为d (远小于地球半径),PQ=x,求空腔所引起的Q

点处的重力加速度反常.

(2)若在水平地面上半径为L的范围内发现:重力加速度反常值在δ与kδ(k>1)之间

变化。且重力加速度反常的最大值出现在半径为L的范围中心.如果这种反常是由于地下

存在某一球形空腔造成的,试求此球形空腔球心的深度和空腔的体积.

详细解析

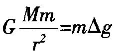
(1)如果将近地表的球形空腔填满密度为ρ的岩石,则该地区重力加速度便回到正常值.因此,重力加速度反常可通过填充后的球形区域产生的附加引力

高考物理临界问题解题技巧,高考物理难题集锦

计算,式中m是Q点处某质点的质量,M是填充后球形区域的质量,M=ρV,而r是球形空腔中心O至Q点的距离

高考物理临界问题解题技巧,高考物理难题集锦

△g在数值上等于由于存在球形空腔所引起的Q点处重力加速度改变的大小.Q点处重力加速度改变的方向沿OQ方向,重力加速度反常△g′是这一改变在竖直方向上的投影,

高考物理临界问题解题技巧,高考物理难题集锦

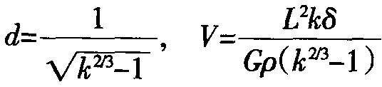
联立②③④式得,地下球形空腔球心的深度和空腔的体积分别为

高考物理临界问题解题技巧,高考物理难题集锦

更多小题30秒速解,大题高分模板视频讲解,可点击下图《高考物理考前20天突破100分》专栏查看,近50段秒杀视频,连环秒杀高考真题大招!