2021高考志愿如何填?为了帮助全国高考生及家长了解,向学霸进军整理2020浙江高考一段各院校录取投档线,供2021高考志愿填报参考。
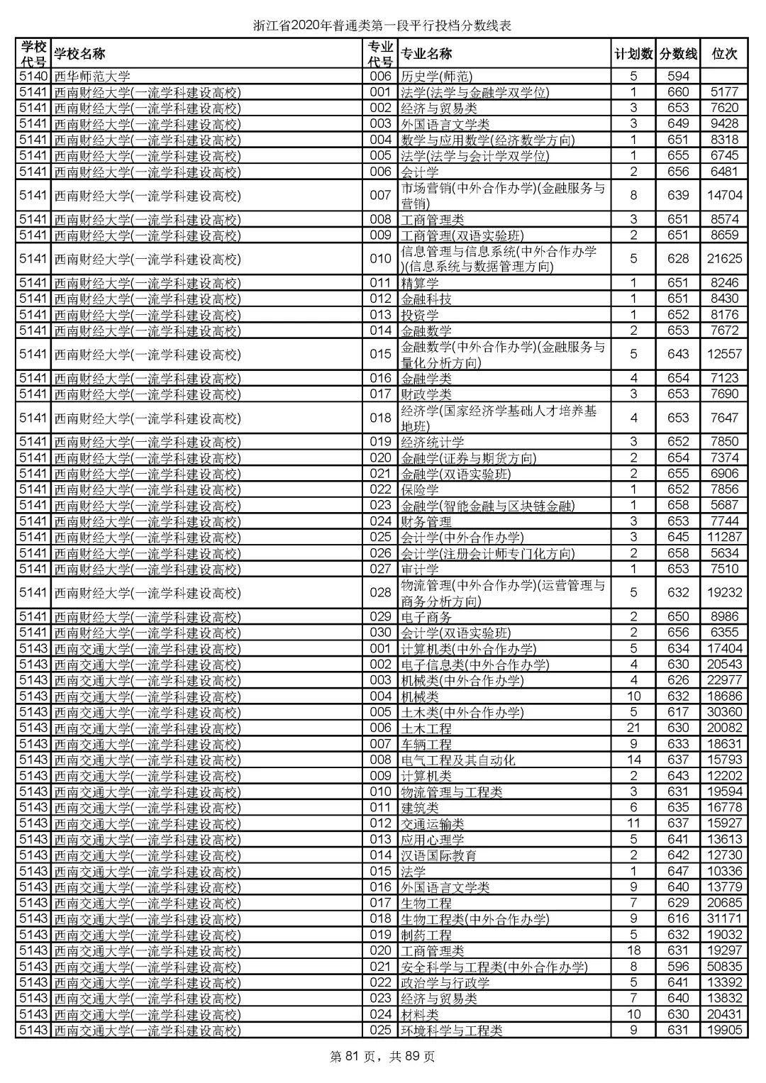
浙江省2020年普通类第一段平行投档分数线
注:位次栏目为空的,表示该学校专业本轮投档人数未满。

































































































































浙江省2020年艺术类第二批第一段平行投档分数线



























































浙江省2020年体育类第一段平行投档分数线





来源:浙江省教育考试院、浙江考试,由公众号《向学霸进军》整理编辑
2021高考志愿如何填?为了帮助全国高考生及家长了解,向学霸进军整理2020浙江高考一段各院校录取投档线,供2021高考志愿填报参考。
浙江省2020年普通类第一段平行投档分数线
注:位次栏目为空的,表示该学校专业本轮投档人数未满。

































































































































浙江省2020年艺术类第二批第一段平行投档分数线



























































浙江省2020年体育类第一段平行投档分数线





来源:浙江省教育考试院、浙江考试,由公众号《向学霸进军》整理编辑