我们之前文章里介绍的卡方检验运用于分类数据的问题,数据是离散的。今天我们要讨论有关连续性数据的检验问题,是与最重要的正态分布有关的。
u检验和t检验
我们使用例子:工厂供给用户一种产品,要求的规格是每袋100千克。现用户对这项规格是否达到有怀疑,决定抽取若干袋进行检查,来看看这种怀疑是否有根据。
若以X记从该厂随机抽取的一袋产品的重量,则X为随机变量。检验步骤如下:
(1)设定如下前提
1) 假定X服从正态分布,这形式上是一个纯粹的数学性假定,但正如我们以前文章里介绍正态分布时提到的,它有一定的理论和经验上的根据
2) 在X~N(a,σ^2)的前提下,我们把要检验的原假设表示为:a=100(首先,因有随机因素的干扰,不论厂方主观上如何努力,也不能做到每袋恰为100千克,因此,所提规格应解释为:X的均值为100(千克);另外,原假设不表示为a不等于100,是因为在没有实地检查前不好先天地认为它不合规格,且在正常情况下,厂方也会努力做到合规格。因此,在得出“不合规格”的结论时,应当更为慎重)
(2)抽样并在原假设的前提下算出样本的拟合优度(对于拟合优度以及检验水平的解释详见卡方检验一章)
设从工厂产品中抽取n袋,以x1,…,xn记它们的重量,则`x=∑xi/n是均值a的良好估计。若原假设成立,则a=100,故|`x-100|应倾向于小。因此,我们自然地把那些满足条件

的样本(X1,…,Xn)看作比`x更背离原假设。在原假设下算出这些样本的概率,即为样本的拟合优度。则

(3)假定方差已知。使用u检验法
因为

有标准正态分布,记此变量为Y~N(0,1)。则拟合优度的计算式可改写为

由样本和已知的方差值算出

然后就可由正态分布表查出拟合优度的值(等于下图中斜线部分的面积)。

给定水平α后,按照要求


(4)假定方差未知。使用t检验法
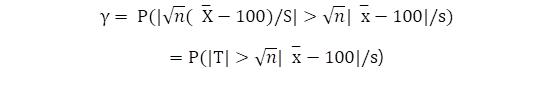
在方差未知时,我们引进样本方差s2(总体方差的估计),用如下准则表示样本(X1,…,Xn)比`x更背离原假设

当原假设成立时,统计量

服从自由度为n-1的t分布tn-1。由此可知拟合优度

由样本和样本方差s2算出

然后就可由t分布表查出拟合优度。
对于给定水平α,按照要求,当且仅当

即

亦即


假设检验与区间估计的关系
对正态总体N(a,σ^2)的均值a,我们讨论过它的区间估计和假设检验问题。将其结果作一比较,会发现一件有趣而重要的事实。
先看方差已知的情况:
设样本为x1,…,xn,`x为样本均值

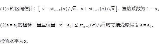
比较二者可看出,当且仅当a0落在(1)中的那个区间内时,原假设a=a0才被接受。这就在区间估计和假设检验之间建立了一个密切联系,使知其一便可推出其他。当然,这一切都是在同一个α之下进行的(检验水平为α,置信系数为1-α)。
再看方差未知的情况,以s 2 记样本方差。

情况与方差已知时完全类似:当且仅当a0落在(1)中的区间之内时,才接受a=a0。