面对现在市场与房价,相信大部分敢于买房的人都选择采用*款贷**方式,而*款贷**购房分公积金*款贷**和商业*款贷**。其中公积金的利率最为合适。而很多没有公积金或者公积金不足的人只能选择商业*款贷**或者是组合*款贷**。大部分人都知道,商业*款贷**分为等额本息和等额本金。但是月供该怎么算呢?今天我就和大家分享一下,怎么计算月供,如何自己制作月供系数表,从而方便计算月供。

等额本息
等额本息就是每月还款本息相同,即每个月还银行的月供都是一样的意思,把银行的本息平均分摊到每个月的还款日还款。适合有一定存款,但收入可能持平或下降,生活负担日益加重,并且无打算提前还款的人群。如果购房者手头资金不足,考虑到经济压力和准备提前还款,或者所能承受到的月供不是很多,等额本息是个不错的选择。这种还款方式适合刚需族,年轻人。言归正传,我们先说等额本息的月供计算公式,就是下面这个
我们假设S表示本金利息和(即本息),P表示本金,y代表按揭者每月要偿还的等额月供,那么根据复利公式,银行要获得的本息为
S=P×(1+i)n
按揭者每月要偿还的等额月供也要计息,每个月产生的月供及月供的复利利息
第1个月y×(1+i)n-1
第2个月y×(1+i)n-2
第3个月y×(1+i)n-3
第4个月y×(1+i)n-4
…
第n个月y×(1+i)0=y
这些月供、利息和也要等于银行的本息S
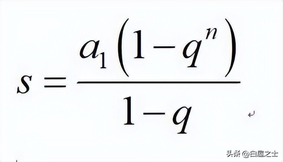
S= y×(1+i)n-1 + y×(1+i)n-2 + y×(1+i)n-3 +…+ y×(1+i)2 + y×(1+i)+ y
=

PS.这里用了等比数列求和公式

同时又有银行本息 S= P×(1+i)n
因此,就容易得到(月供计算中最难计算的)等额本息的月供计算公式:

y:表示月供,是月字的首个拼音字母
P:表示本金,假如你*款贷**100万,30年,P就是1 000 000
i:表示月息,假如你商业*款贷**基准(4.5%)上浮10%,i=4.5×(1+10%)÷12=0.4125
n:表示月供的期数,假如你*款贷**30年,一年12个月,月供期数就是360
等额本金
等额本金的意思是每月还款的本金相同,月供的组成分为两部分,每月所还的本金相同,再加上未还本金使用一个月的利息。因此,如果借款人本金还得比较快,利息付的就少。但是前期的还贷额度较大,比较适合当前收入高或者预计将来收入会大幅提升的并且有提前还贷打算的人群。
月供为y(每月递减),每月所还本金为p=P÷n,其中P为本金,n为月供期数。
第1个月,本金p,需偿还利息P×i,其中i为月利率,月供为p+P×i;
第2个月,本金p,需偿还利息(P-p)×i,月供为p+(P-p)×i;
第3个月,本金p,需偿还利息(P-2p)×i,月供为p+(P-2p)×i;
……
第n个月,本金p,需偿还利息[P-(n-1)p]×i=p×i,月供为p+p×i;
所以,等额本金的规律是每个月的差额就是p×i,第一个月的月供最高,第一个月的月供为p+P×i(其中p=P÷n,P为*款贷**本金总额,n为*款贷**月供期数,i为*款贷**月利率),以后的月供逐月等额递减,递减额为p×i。

等额本金和等额本息不分好坏各有千秋,前者利息少,但前期还款压力较大;后者每月还款额固定,但是利息较多,优点是每月还款压力较小。单从利息金额来考虑等额本金比较合适。所以,购房者在选择*款贷**的时候首先要根据自身的实际情况选择适合的*款贷**方式。其次,自己也要学会计算一下每个月要承担的月供是多少,是否自己在承受范围之内,以免将来出现捉襟见肘的情况。
PS:在过去的8月中国人民银行最新一期的*款贷**利率(LPR)为:1年期LPR为3.65%(上月为3.7%),5年期以上LPR为4.3%(上月为4.45%)。