无缝钢管的重量计算公式 (焊接钢管理论重量计算公式)

这是一篇多年以前写的文章,原标题是《钢材知识不完全手册》。钢管的理论重量计算方法有两种,查五金手册和用公式计算。现重点介绍一下钢管的理论重量计算公式和它的推导过程,对从事这方面工作的人或许有帮助。

钢材知识不完全手册

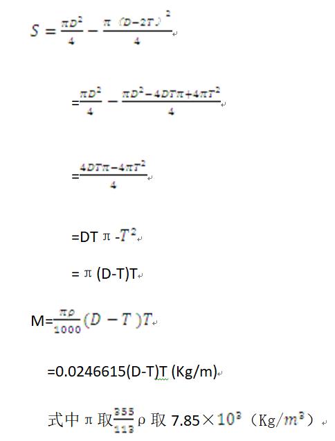
钢管理论重量的计算;1)查表法。2)公式法。M=0.0246615(D-T)T

式中M表示重量,单位kg/m,D表示钢管的外径,T表示钢管的壁厚。公式的原理是M=ρV(M表示重量,ρ表示密度,V表示体积)。求体积的关键是是求出钢管的截面积,即圆环的面积。

外架钢管重量计算公式,架子钢管重量计算公式

圆环的面积公式

下面是推导过程。

外架钢管重量计算公式,架子钢管重量计算公式

M是所求的理论重量,单位是公斤每米

计算实务举例:(计算D219×5的钢管1米长度的理论重量)

钢管的外径是219毫米,壁厚是5毫米,长度是1米,将数据代入公式得:

M=0.0246615(219-5)5

=0.0246615×214×5

=26.387805

≈26.388(Kg/m)

即所求钢管1米长度的理论重量是26.388公斤。

【举一反三】查五金手册,钢材的比重是7.85,不锈钢是7.93,求不锈钢管1米长度的理论重量的公式为:

M=0.0249128(D-T)T (Kg/m)

355÷113×7.93÷1000≈0.0249128

【举一反三】用此公式也能够求实心的圆钢棒的理论重量。

(计算直径50毫米的圆钢棒1米长度的理论重量,只需要把T=25代入公式M=0.0246615(D-T)T即可。

钢材往往是按重量计价,所以需要计算每米长度的理论重量。在手边没有五金手册的时候,这个公式用起来很方便,特此向大家推荐。

【中国大百科全书·光盘版】关于钢的介绍:

steel 是指含碳量一般在2 %以下并含有某些其他元素的可变形的铁碳合金.按组成元素不同,钢可分为碳素钢和合金钢.碳素钢只含有限量以内的碳元素,适量的硅、锰,以及某些残余元素和杂质.在碳素钢的基础上,为改善或获得某些性能而有意加入适量的一种或多种元素的钢称合金钢.加入钢中的元素种类很多,主要有铬、镍、钼、硅、锰、钒、钛、铌等.

在人类生产和使用钢铁的悠久历史过程中,“钢”这一名词的含义有过不少变化.早先,钢通常是指含有适量的碳元素、可以淬火硬化的铁及其合金,因此含碳少而不能淬火硬化的铁不算钢,而称为熟铁或软铁.随着现代钢铁工业的发展和钢铁使用范围的扩大,钢的含义有了新的变化.现在,一般可以通过金属塑性加工(锻、轧等)变形的、以铁为基础的合金都称为钢。一般说来,含碳量超过2 %的铁碳合金不能进行塑性加工,只能铸造成形,这样的铁称为生铁或铸铁.含碳量在2 %以下的铁及其合金则称为钢.

钢是社会生产和公众生活所必需的基本材料,所以人们常把钢和钢材的产量、品种、质量作为衡量一个国家工业、农业、国防和科学技术现代化的重要标志.中国是世界上最早掌握锻冶制钢技艺的国家之一。春秋末年已经有了人工制作的钢.考古发掘出土的战国时期的钢制兵器,已具有淬火马氏体组织.但是在漫长的历史进程中,虽然钢的制作技艺出现过不少改革,但钢的生产数量和质量都发展极慢.直到19 世纪后半叶,世界钢的生产才得到了较大的发展.这一方面是由于当时西欧的社会生产力和科学技术的进步,对钢的生产提出了要求;另一方面是由于各种炼钢的方法的发明,扩大了钢的生产规模和提高了钢材质量。然而世界钢生产的高速发展,却是从20 世纪5 0年*开代**始的.由于社会的需要和氧气转炉炼钢的发明与发展,到70 年代末,大约四分之一世纪里,全世界钢的年产量从2 . 1 亿吨增加到7 . 5 亿吨,其中氧气转炉钢的产量占二分之一左右.在钢产量大幅度增加的同时,还研制开发出许多具有不同用途和特殊性能的钢种,各工业国家的钢号和钢材品种规格都极其繁多.

钢的组织和性能 铁是钢的基本组成元素,它具有两种晶体结构:一种是体心立方点阵(存在于两个温度范围内,912 ℃ 以下称α铁;1 394 ℃ 以上称δ铁);另一种是面心立方点阵(存在于912 ~ 1394 ℃ 之间,称γ铁).碳是钢中另一主要组成元素,对钢的组织和性能起着重要作用.碳在钢中主要有两种存在形式,一种是溶入铁中与铁形成固溶体;另一种和铁形成铁碳化合物C ,称渗碳体。 碳固溶于α铁( Fe )中称铁素体,室温时其溶解度只有0.008 % ,碳固溶于γ铁(Fe )中称奥氏体,最大溶解度达2 .11 % .工业用钢中的含碳量一般都高于在铁素体中的固溶量,在钢的冷却过程中,过饱和的奥氏体发生分解,形成铁素体和渗碳体.这两种分解产物,呈游离状态,叫做游离铁素体和游离渗碳体;有的铁素体和渗碳体组成的混合物呈片状、有规则地相间排列,称珠光体,根据片层的粗细,可分为珠光体、细珠光体和极细珠光体.在回火或等温转变中形成的铁素体和渗碳体的混合组织,较细的又称索氏体,极细的又称屈氏体(见过冷奥氏体转变图。一般碳素钢在室温下的金相组织(见铁碳平衡图,基本上是由铁素体、珠光体和渗碳体组成,碳素钢的性能也随该些组成相的体积分量和分布情况而变化。一般是,碳含量增加,钢的强度增加,塑性下降。

在碳素钢的基础上加入各种合金元素,如硅、锰、铬、镍、钨、钼、钒、钛、铌、硼和锆等,可制成各种合金钢.这些元素的原子,有的进入铁素体和奥氏体中形成固;容体;有的置换渗碳体的铁原子而成为合金渗碳体,有的和碳化合成为合金碳化物,这些元素相互作用,影响并改变钢中的相组成和组织结构,促使其发生所需性能的变化.除合金元素的影响外,金属热处理也是改变钢的组织结构的主要手段.把合金化和热处理相结合,可使钢获得不同的组织和多种性能.如高的强度和韧性的配合,良好的工艺性能(焊接性、冷加工性、热加工性和被切削性等),以及某些特殊的物理、化学性能。如耐热、耐蚀等性能.

钢的分类对于钢的分类世界上许多国家均有自己特有的分类方法,中国常用的有以下五种分类方法:

按冶炼方法分类

按炉型分:① 平炉钢酸性平炉钢,碱性平炉钢.

② 转炉钢空气转炉钢(贝氏炉钢、托马斯炉钢),氧气转炉钢.

③ 电炉钢电弧炉钢,特种治炼法钢(电;查炉钢、感应炉和真空感应炉钢、真空自耗炉钢、电子束炉钢). 按脱氧程度和钢锭结构分:沸腾钢,镇静钢,半镇静钢.

按质分类即按硫、磷和气体、夫杂物含量分类:

① 普通钢(P 簇。.。舫%、s 簇。.055 % )甲类普通碳素钢(保证力学性能),乙类普通碳素钢(保证化学成分)。特类普通碳素钢(保证化学成分和力学性能),部分低合金高强度钢.

② 优质钢(s 、P 簇0 . 035 % ) . ③ 高级优质钢(s 、P 簇。.03 % ) . 按化学成分分类

① 碳素钢工业纯铁(C 簇。.040 % ) ,低碳钢(C 毛。.25 % ) ,中碳钢(c 。.25 ~。.60 % ) ,高碳钢(C >。.60 % ) . ② 合金钢低合金钢(合金元素总含量簇5 % ) ,中合金钢(合金元素总含量5 ? 10 % ) ,高合金钢(合金元素总含量> 10 % ) . 按金相组织分类

① 退火状态亚共析钢(铁素体加珠光体组织),共析钢(珠光体组织),过共析钢(碳化物加珠光体组织),莱氏体钢(碳化物加奥氏体的共晶体). ② 正火状态珠光体钢,贝氏体钢,马氏体钢,奥氏体钢.

③ 无固态相变或部分固态相变铁素体钢,奥氏体钢,双(复)相钢(奥氏体加铁素体钢或铁素体加马氏体钢). 按用途分类

① 建筑及工程用钢普通碳素钢(主要包括甲类、乙类和特类的低碳部分),低合金高强度钢,专业用钢(包括钢筋、钢轨、船舶、桥梁、压力容器、锅炉用钢等). ② 机械制造用钢调质结构钢,表面硬化结构钢(包括渗碳钢、渗氮钢、感应加热表面淬火用钢等),冷塑性成型用钢(包括冷冲压、冷墩、冷挤压用钢等),弹簧钢,滚动轴承钢.

③ 工具钢刃具钢,量具钢,模具钢.

④ 特殊性能钢不锈耐酸钢,耐热钢(包括抗氧化钢、高温耐蚀钢和热强钢),电热合金。易切削钢,低温钢,电工钢,超高强度钢等。

此外按供货前的主要加工工艺可分轧、锻钢材和铸钢等.这些分类方法都不是绝对的,适用于不同的目的,通常根据需要和管理上的方便采用某种分类,如科学研究时常按钢的金相组织分类,统计钢的产量时常按钢的冶炼方法分类;也可为用户选材方便按用途分类,有时还把几种分类方法混合、交错使用.

科学尚未普及,媒体还需努力。感谢阅读,再见。