基本养老保险,你有吗?养老保险能给你多少养老钱?够吗?这些,您想过没有?
人变老是必然的,这是人的生物规律所决定,不可改变。与传统依靠土地而终老的农业社会不同,现代化大工业的生产模式已经彻底改变了人类的生活方式。对于变老这一确定会发生的社会风险,现代社会的应对方案就是国家在全社会范围内举办社会养老保险。
我们国家的养老保险从上世纪九十年代初开始建立,经过长期改革和努力,形成了今天的两大制度体系的基本格局:城镇职工基本养老保险和城乡居民基本养老保险。
一、城镇职工基本养老保险
直到2015年以前,还专指针对“城镇企业职工”而建立的基本养老保险,其基本特征是企业职工和工作单位缴纳养老保险费,到满足退休条件办理退休手续后可以领取养老保险金。与此同时,机关事业单位职工的养老保障不采取社会保险运作模式,而是在原单位领取,且与企业职工的养老金待遇水平不断拉大,形成了著名的“*轨双**制”不公。2015年我国基本养老保险“并轨”改革,就是将机关事业单位职工的养老保障统一纳入社会养老保险,构成“城镇职工基本养老保险”,面向包括机关事业单位和企业职工的全体城镇职工。我们大家缴纳的“五险一金”或者“三险一金”,扣钱最多的就是它了!
扣多少呢? 大家看看自己的工资条就知道了。政策规定是按照本人缴费工资的8%按月扣缴养老保险。缴费工资,各地方存在口径差异。如果你觉得扣了好多钱有点心疼,想想你的单位或企业,扣得更多,会按照20%左右来缴纳。近年来我国开始降低社保缴费比例,不少地方企业缴费降低到19%~16%之间。
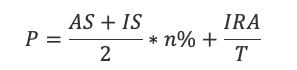
能领多少呢? 根据养老金计发公式

城镇职工基本养老保险计发公式
其中,P代表退休后每月领取的养老金,AS是退休时所在地的社会平均工资,IS是你整个生命周期的平均缴费工资,n是缴费年限,IRA是个人账户,T代表计发月数。是不是有点蒙?不要紧,给大家个容易理解和比较的例子。
如果你的月工资与社会平均工资差不多,缴费30年,60岁退休,那么你大概能领你所在地社会平均工资50%左右的养老金;如果缴费15年(这是最低缴费年限,不少人按照这个最低期限交),大概能领25%多一点。2019年山东省职工月平均工资5761元,那么山东退休职工大概每月能领1500元~3000元。但是,如果你60岁以前就退休了,n,T,和个人账户积累都会变小,因此养老金自然更少。
如果你是高收入者,一直按照社会平均工资的三倍缴纳社保(这是社保缴费的基数上限),那么在缴费30年60岁退休时可以领取的养老金大约是1.2倍的当地社会平均工资,如果缴费15年则只有60%左右的社会平均工资。仍然以山东省职工为例,最牛掰的职工(从一参加工作就按照三倍社平工资缴费),他2019年退休可以领取的养老金大约为3500(交15年)~7000元(交30年)/月。
大家一算可能觉得不划算了,一个月薪超过1.7万的职工,退休后的基本养老金只有这么多~ 这就是我们基本养老保险互助共济、富帮穷的基本特征。
二、城乡居民基本养老保险
我国几千年来农民都是靠土地过活、生老病死。直到2009年,国家顺应时代发展,为农民建立了新型农村基本养老保险制度;2010年建立了城镇居民基本养老保险,为没有工作单位不参加职工保险的居民提供了养老保障渠道。2014年在城乡统筹发展的战略思路下,新农保和城居保合并,成为“城乡居民基本养老保险”,构成我国养老保险制度的另外一翼。缴费是分档次由城乡居民自主选择缴纳。通常按年缴纳,缴费标准较低。当然待遇领取也是相当之低。最早的新农保,为年满60周岁的农村居民提供55元/月的基础养老金。后来中央和地方基础养老金标准均有所提高,但仍然是非常低。到底一个农村居民缴费多年以后可以领多少养老金呢?根据居民基本养老保险待遇计算公式,其养老金大约相当于社会平均工资收入水平的城镇职工养老金的8.3%(缴费30年)~15%(缴费15年)。如果你是山东省的城乡居民,领取的基本养老金大约在400元~800元/月。如果前期没有缴费,年满60周岁即可领取的国家提供的基础养老金大约是社平工资的2%~3%之间,即110~170元/月。山东省2019年城乡居民基础养老金为118元。
上述是我国的制度化养老保险的简要情况。您可以对照看看自己属于哪一类。无论是城镇职工,还是城乡居民,退休后的养老金够花吗?您应该会有自己的判断了。“多乎哉,不多也”。
那老了咋办呢?——还有其他的养老钱来源啊~ 且听下回分解。