高中数学必背公式、常用结论
一.二次函数和一元二次方程、一元二次不等式
1.二次函数

的图象的对称轴方程是

,顶点坐标是

。
2.实系数一元二次方程

的解:
①若

,则

;
②若

,则

;
③若

,它在实数集

内没有实数根;在复数集

内有且仅有两个共轭复数根

.
3.一元二次不等式

解的讨论:
|
|
|
|
|
二次函数
(
)的图象 |
|||
|
一元二次方程
|
有两相异实根
|
有两相等实根
|
无实根 |
|
|
|
R |
|
|
|
|
二、指数、对数函数
1.运算公式
⑴分数指数幂:

;

(以上

,且

).
⑵.指数计算公式:

;

;

⑶对数公式:①

; ②

;
③

; ④

.
⑷.对数的换底公式:
.对数恒等式:

.
2.指数函数

的图象和性质
|
a>1 |
0<a<1 |
||
|
图 象 |
|
|
|
|
性 质 |
(1)定义域:R |
||
|
(2)值域:(0,+∞) |
|||
|
(3)过定点(0,1),即x=0时,y=1 |
|||
|
(4)x>0时,y>1;x<0时,0<y<1 |
(4)x>0时,0<y<1;x<0时,y>1. |
||
|
(5)在 R上是增函数 |
(5)在R上是减函数 |
||
3.对数函数

的图象和性质




三.常见函数的导数公式:
1. ①


;②

;③

;④

;
⑤

;⑥

;⑦

;⑧

。
2.导数的四则运算法则:

3.复合函数的导数:

四.三角函数相关的公式:
1.⑴角度制与弧度制的互化:

弧度

,

弧度,
弧度


⑵弧长公式:

;扇形面积公式:

。
2.三角函数定义:角

终边上任一点(非原点)P

,设

则:


3.三角函数符号规律:一全正,二正弦,三正切,四余弦;(简记为“全s t c”)
4.诱导公式记忆规律:“奇变偶不变,符号看象限”
5.⑴

对称轴:令

,得

对称中心:

;
⑵

对称轴:令

,得

;对称中心:

;
⑶周期公式:①函数

及

的周期

(A、ω、

为常数,
且A≠0).②函数

的周期

(A、ω、

为常数,且A≠0).
6.同角三角函数的基本关系:

7.三角函数的单调区间及对称性:
⑴

的单调递增区间为

,单调递减区间为

,对称轴为

,对称中心为


.
⑵

的单调递增区间为

,单调递减区间为

,
对称轴为

,对称中心为


.
⑶

的单调递增区间为

,对称中心为


.
8.两角和与差的正弦、余弦、正切公式:
①

;

;

.
②

;

.
③

=

(其中,辅助角

所在象限由点

所在的象限
决定,

).
9.二倍角公式:①

.

②

(升幂公式).

(降幂公式).
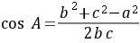
10.正、余弦定理:
⑴正弦定理:

(

是

外接圆直径 )
注:①

;②

;③

。
⑵余弦定理:

等三个;

等三个。
11.几个公式:⑴三角形面积公式:①

(

分别表示a、b、c边上的高);②

.
五。立体几何
1.表(侧)面积与体积公式:
⑴柱体:①表面积:S=S+2S;②侧面积:S=

;③体积:V=Sh
⑵锥体:①表面积:S=S+S;②侧面积:S=

;③体积:V=

Sh:
⑶台体:①表面积:S=S+

S;②侧面积:S=

;③体积:V=

(S+

)h;
⑷球体:①表面积:S=

;②体积:V=

.
2.空间中平行的判定与性质:
1)、直线和平面平行:

定义:若直线与平面没有公共点,则直线与平面平行。

判定定理:若a


,

且a‖

,则a‖

; 若

且

则有


性质定理:a‖

.且

则

2)、平面与平面平行的判定与性质:

定义:如果两个平面没有公共点则称两个平面平行。

判定定理:若

则

。
若

且

则

。

性质定理:若

则有a‖b
3.空间中垂直的判定与性质:
1)、直线与平面垂直:

定义:设

为平面

内的任意一条直线,

,则

。

判定定理:若

,且

,则

。
若

则


性质定理:若

,

则

。
2)、平面与平面垂直:

定义:如果两个平面所成的二面角的平面角为

,则称这两个平面互相垂直。

判定定理:若

,

,则有

。

性质定理:若

且

,则

。
若

则

。
六.解析几何:
1.斜率公式:

,其中

、

.
直线的方向向量

,则直线的斜率为

=

.
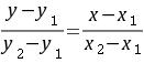
2.直线方程的五种形式:
(1)点斜式:

(直线

过点

,且斜率为

).
(2)斜截式:

(

为直线

在

轴上的截距).
(3)两点式:

(

、


,

).
(4)截距式:

(其中

、

分别为直线在
轴、

轴上的截距,且

).
(5)一般式:

(其中A、B不同时为0).
3.两条直线的位置关系:
(1)若

,

,则:
①

∥


,

; ②

.
(2)若

,

,则:
①

且

;②

.
4.求解线性规划问题的步骤是:
(1)列约束条件;(2)作可行域,写目标函数;(3)确定目标函数的最优解。
5.两个公式:
⑴点P(xy)到直线Ax+By+C=0的距离:

;
⑵两条平行线Ax+By+C=0与 Ax+By+C=0的距离

6.圆的方程:
⑴标准方程:①

;②

。
⑵一般方程:

(

注:Ax+Bxy+Cy+Dx+Ey+F=0表示圆

A=C≠0且B=0且D+E-4AF>0
⑶参数方程:

7.圆的方程的求法:⑴待定系数法;⑵几何法。
8.点、直线与圆的位置关系:(主要掌握几何法)
⑴点与圆的位置关系:(

表示点到圆心的距离)
①

点在圆上;②

点在圆内;③

点在圆外。
⑵直线与圆的位置关系:(

表示圆心到直线的距离)
①

相切;②

相交;③

相离。
⑶圆与圆的位置关系:(

表示圆心距,

表示两圆半径,且

)
①

相离;②

外切;③

相交;
④

内切;⑤

内含。
9.直线与圆相交所得弦长

10.椭圆、双曲线、抛物线
|
椭圆 |
双曲线 |
抛物线 |
||
|
定义 |
1.到两定点F,F的距离之和为定值2a(2a>|FF|)的点的轨迹 |
1.到两定点F,F的距离之差的绝对值为定值2a(0<2a<|FF|)的点的轨迹 |
||
|
2.与定点和直线的距离之比为定值e的点的轨迹.(0<e<1) |
2.与定点和直线的距离之比为定值e的点的轨迹.(e>1) |
与定点和直线的距离相等的点的轨迹. |
||
|
图形 |
||||
|
方 程 |
标准方程 |
(
>0) |
(a>0,b>0) |
y=2px |
|
参数方程 |
|
|
(t为参数) |
|
|
范围 |
─aundefinedxundefineda,─bundefinedyundefinedb |
|x| undefined a,yundefinedR |
xundefined0 |
|
|
中心 |
原点O(0,0) |
原点O(0,0) |
||
|
顶点 |
(a,0), (─a,0), (0,b) , (0,─b) |
(a,0), (─a,0) |
(0,0) |
|
|
对称轴 |
x轴,y轴; 长轴长2a,短轴长2b |
x轴,y轴; 实轴长2a, 虚轴长2b. |
x轴 |
|
|
焦点 |
F(c,0), F(─c,0) |
F(c,0), F(─c,0) |
|
|
|
焦距 |
2c (c=
) |
2c (c=
) |
||
|
离心率 |
|
|
e=1 |
|
|
准线 |
x=
|
x=
|
|
|
|
渐近线 |
y=±
x |
|||
|
焦半径 |
|
|
|
|
|
通径 |
|
|
2p |
|
|
焦参数 |
|
|
P |
|
七.等差、等比数列:
|
等差数列 |
等比数列 |
||
|
定义 |
|
|
|
|
通项公式 |
=
+(n-1)d=
+(n-k)d=
+
-d |
|
|
|
求和公式 |
|
|
|
|
中项公式 |
A=
推广:2
=
|
。推广:
|
|
|
性质 |
1 |
若m+n=p+q则
|
若m+n=p+q,则
。 |
|
2 |
若
成A.P(其中
)则
也为A.P。 |
若
成等比数列 (其中
),则
成等比数列。 |
|
|
3 |
.
成等差数列。 |
成等比数列。 |
|
|
4 |
|
,
|
|
2.看数列是不是等差数列有以下三种方法:
①

;②2

(

)
③

(

为常数).
3.看数列是不是等比数列有以下2种方法:
①

;②

(

,

)
4.数列{

}的前

项和

与通项

的关系:

5. 常用公式:①1+2+3 …+n =

;②

;
③

;④

; ⑤

八。复数
1.复数的四则运算法则:
(1)

;(2)

;
(3)

;
(4)

.
2.复平面上的两点间的距离公式 :

(

,

).
3.几个重要的结论:

;⑶

;⑷

⑸

性质:T=4;

;

4.模的性质:⑴

;⑵

;⑶

。
九。向量
|
运算类型 |
几何方法 |
坐标方法 |
运算性质 |
|
加 法 |
1.平行四边形法则 2.三角形法则 |
|
|
|
减 法 |
三角形法则 |
|
,
|
|
数 乘 向 量 |
1.
是一个向量,满足:
2.
>0时,
同向;
<0时,
异向;
=0时,
. |
|
|
|
向 量 的 数 量 积 |
是一个数 1.
时,
. 2.
|
|
|
2.重要定理、公式
(1)平面向量基本定理
e,e是同一平面内两个不共线的向量,那么,对于这个平面内任一向量,有且仅有一对实数λ,λ,使a=λe+λe.
(2)两个向量平行的充要条件:

∥



=λ


;
(3)两个向量垂直的充要条件:


(


)


·

=0

九.不等式
1.不等式的基本性质
(1)

(对称性);(2)

(传递性)
(3)

(加法单调性)
(4)

(同向不等式相加);
(5)

(异向不等式相减)
(6)

;(7)

(乘法单调性)
(8)

(同向不等式相乘);

(异向不等式相除)

(倒数关系);(11)

(平方法则)
(12)

(开方法则)
2.均值不等式:

注意:①一正二定三相等;②变形:

。
3.极值定理:已知

都是正数,则有:
(1)如果积

是定值

,那么当

时和

有最小值

;
(2)如果和

是定值
,那么当

时积

有最大值

.
十.概率和统计:
1.概率
⑴互斥事件(有一个发生)概率公式:P(A+B)=P(A)+P(B);
⑵古典概型:

;
⑶几何概型:

;
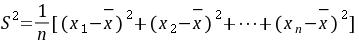
2.总体特征数的估计:
⑴样本平均数

;
⑵样本方差


;
⑶样本标准差

=

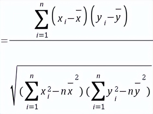
3.相关系数(判定两个变量线性相关性):


注:⑴

>0时,变量

正相关;

<0时,变量

负相关;⑵当
越接近于1,两个变量的线性相关性越强;当
越接近于0时,两个变量之间几乎不存在线性相关关系。
4. 回归直线方程

,其中

十一。理科选修部分
1.排列、组合和二项式定理:
⑴排列数公式:

=n(n-1)(n-2)…(n-m+1)=

(m≤ n, m、n∈N*),
当m=n时为全排列

=n·(n-1)·(n-2)·…·3·2·1= n!
⑵组合数公式:
=

=

=

(

,
∈N,且

)
⑶组合数性质:

⑷二项式定理:

①通项:

②注意二项式系数与系数的区别
2.随机变量
⑴随机变量的分布列:①随机变量分布列的性质:p≥ 0, i=1,2,3,…; p+p+…=1;
②离散型随机变量:
|
X |
x |
X |
… |
X |
… |
|
P |
P |
P |
… |
P n |
… |
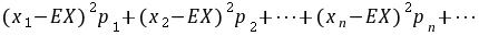
均值(又称期望):EX= xp+ xp+ … + xp+ … ;
方差:DX=

;
注:

;
③二项分布(独立重复试验):若X~B(n , p),则EX=n p, DX=n p(1- p) 注:

。
⑵条件概率:称

为在事件A发生的条件下,事件B发生的概率。注:0

P(B|A)

1
⑶独立事件同时发生的概率:P(AB)=P(A)P(B)。
⑷正态总体的概率密度函数:

式中

是参数,分别表示总体的平均数(期望值)EX与标准差

;

正态曲线的性质:①曲线位于x轴上方,与x轴不相交;②曲线是单峰的,关于直线x=

对称;③曲线在x=

处达到峰值

;④曲线与x轴之间的面积为1;
1当

一定时,曲线随

值的变化沿x轴平移;
2当

一定时,曲线形状由

确定:

越大,曲线越“矮胖”,表示总体分布越分散;

越小,曲线越“高瘦”,表示总体分布越集中。
注:P

=0.6826;P

=0.9544
P

=0.9974
W8YOgbgahhh2






































































































