点击↑蓝字即可订阅
源 | 歪马剧本(ID:jb-jjr)
有些作家搭建世界时,习惯从一个又一个俗词开始;而有些作家则习惯拼 接一张又一张卡片。俗词是概念、套话、冗语;卡片则是印象、情绪、生命。纳博科夫的写作秘密就像他钻研蝴蝶一般,把想到的记在卡片上,许多人物躲在那些卡片里。

1、纳博科夫对卡片的偏爱
如果要评选二十世纪最伟大的作家,纳博科夫必然当选。他是那类作家中的作家,才华横溢,公认的文体大家。纳博科夫一生特立独行:
“我不属于任何俱乐部或团体,我不钓鱼,不烹饪,不跳舞,不吹捧同行,不签名售书,不签署宣言,不酗酒,不上教堂,不做心理治疗,不参加*威示***行游**。
同样,如果要评选一位二十世纪最热爱卡片的作家,非纳博科夫莫属。
就是这样一位超一流作家,在一生中为数不多的几次采访里,毫不掩饰自己对卡片的偏爱。试看三例:
“例1:BBC 电视台(1962)BBC:您怎样进行写作?您的创作方法是什么?
纳博科夫:我现在发现索引卡片真的是进行写作的绝佳纸张,我并不从开头写起,一章接一章地写到结尾。我只是对画面上的空白进行填充,完成我脑海中相当清晰的拼图玩具,这儿取出一块,那儿取出一块,拼出一角天空,再拼出山水景物,再拼出———我不知道,也许是喝得醉醺醺的猎手。
例2:《花花公子》(1964)《花花公子》:您能再给我们说说实际的创作过程吗?如萌发写一本书的想法,是因为读了一些随手写下的笔记,还是因为一部正在写的作品的片段?
纳博科夫:不说也罢。没必要对胎儿做探究性的手术,但我可以说点别的。这个盒子装着卡片,上面有我近来在不同时间写的笔记,而我在写《微暗的火》(Pale Fire)时又搁在一旁。这是一小沓弃之不用的卡片。
例3:《巴黎评论》(1967)《巴黎评论》:您能说一下您的写作习惯吗?您按事先准备好的大纲写吗?您是从一章到另一章跳着写,还是按顺序从开头写到结尾?
纳博科夫:作品的构思先于作品本身。就像玩字谜游戏,我随意在空白处填写。我在卡片上写下这些段落,直到完成整部小说,我的写作计划是灵活的,但我对写作工具则相对讲究:横格的布里斯托卡片、削得不太尖的橡皮铅笔。

2、阅读、写作与修改
纳博科夫们这类超一流作家为什么偏爱使用卡片来写作?卡片写作背后的认知科学原理是什么?我们可以从一位作家写作的基本流程来梳理:阅读、写作与修改。
首先,用卡片来组织阅读心得,能帮助作家们更好地记忆。其次,用卡片来写作,能够帮助作家们提升创意密度。最后,基于卡片修改文章,能够改善作家们的远距联想能力。
为什么写读书卡片或者读书笔记,会更容易提升记忆?有什么特别需要注意的?在这里,需要介绍认知科学最新研究进展,超出多数人常识的一个原理:必要难度。
如果我们将人的大脑粗陋地比喻为一块硬盘。假设你的每次记忆,都是往这块硬盘中写入内容。我们可以近似地将人的记忆想象成无限容量,但是这些硬盘上的资讯会相互竞争。人的记忆有两种基本机制:存储与提取。
以前,人们的常识以为,记得越快,就是学习效果越好。简而言之,存储越容易,提取就会越快。但是近些年,最新实验发现了与常识相反的结论:存储与提取负相关。
也就是说,存入记忆容易,提取出来会不容易;反之,如果你有些吃力地存入,那么,提取会更牢靠。
比如,我们的常识是要在课堂上记笔记。但是必要难度原理建议,别在课堂上记笔记,老师边讲边记笔记,你会听得太明白,写入太容易,但是大脑那块硬盘未来会不易提取出来。过些日子,多数遗忘。
反之,如果我们略微增加一下写入难度,比如晚上回到宿舍或者第二天再写笔记,这样未来提取会更容易。也就是,你有些困难地存入,会记得更好并真正学会。
纳博科夫这类超一流作家,无不是通过自我修炼,无意中掌握了必要难度原理,所以,他们往往不会当时写笔记,而是时隔几个小时左右,再回去默写读书笔记或者写日记。
所以当记者问纳博科夫是否坚持长期写日记时,纳博科夫回答:“我是一个记忆力很差但热衷于记忆的人;我可以非常清晰地回想起景色、姿势、语调,以及无数的具体的细节,但记不住姓名和数字。”
其次,用卡片来写作,为什么能够帮助作家改善创意密度?这是善用大脑特点。一般作家是摊开一个长长的Word 文档,纳博科夫眼前则是小卡片。同样的心力,前者会将其分散到三千字上,后者聚集在更少内容上,创意密度更大,所以纳博科夫的文章常常妙语连珠。
当记者问: “您如何看待美国文学?”
纳博科夫回答道:“每代很少有两三个真正的一流作家同时存在。”超一流作家普遍意识到同一历史周期,只能诞生有限数量的天才。天才是什么?
对纳博科夫来说,天才必须用俄语来发音———Geniy,发音低沉,充满敬畏之意。因此,他们小心翼翼,“仔细研究历史上对手的作品,包括上帝的作品”,将自己的才华与心力压缩到一张小小的卡片中; 与之相反,平庸作家,则挥霍才华,将原本一张卡片的内容,稀释到一本又一本书上。
作家拖稿,举世公认。
阿兰·德波顿说:“当作家无所谓文章写得好不好,而是怕交不出稿子时,他们才开始动笔。”如果作家启动写作的思路有“我要写一本书”与“我要写好一张卡片”。显然,两者的认知负荷大不一样,后者更容易打破行为瘫痪,避免写作拖延。
最后是修改。作家如建筑师,用词汇去设计斑斓多彩和形式各异的建筑。当你将作家理解为建筑师,你就明白,为何每次盖房子,比起从水泥等粗活干起,直接用预制材料来搭房子会更快更稳。

普通人每次写作在干粗活,纳博科夫等则是拼接卡片。我们的大脑,一方面先天具备贪婪的模式处理能力,当看到一幅未完成的,缺了一条边的正方形,我们会试图补上; 然而另一方面,创作性却常在于远距联想能力。
好作家应当创作前所未有的阅读体验。纳博科夫如是说:“想象是记忆的一种形式。意象取决于联想的力量,联想则由记忆提供和促动。”所以大脑的模式处理能力与创意需要的远距联想能力,构成了写作的基本矛盾。
当纳博科夫修改稿件时,打乱不同卡片顺序,在玩一个以卡片为基础的拼图游戏,而常人修改稿件时,还是在一个词汇、一个句子地修改。相对一般写作者来说,纳博科夫们从词汇到卡片,再一次,激发了远距联想能力的可能性。
“例4:《花花公子》(1964)《花花公子》:您怎么会想到记录和收集这些互不相关的印象和材料?
纳博科夫:我所知道的是,在一部小说写作初期,我很想储备一些稻草、绒毛、衔些小石子,没人知道一只鸟对它未来的巢和巢里的蛋有多清晰的设想,或者鸟压根就不去设想。
我写小说从不从头写起,我写第四章前还没写到第三章,我没有义务按顺序从这一页写到下一页;不,我这儿挑一点,那儿挑一点,直到填满纸上全部空白。这就是为什么我喜欢在卡片上写我的短篇小说和长篇小说。
当整部作品完成,我稍后再给这些卡片编号。每张卡片改写过多次。大约三张卡片可以打出一页纸。
所有上述认知科学原理:必要难度、创意密度与远距联想能力,都反映了认知科学的一个基本原理:组块。什么是组块?
在认知科学中,为了方便记忆,我们把一些需要记忆的东西加以分类或加工使之成为一个小的整体,就称之为组块。卡片就是相对传统写作的“词汇”、“段落”来说,更大、更便于记忆、更有意义的一个组块。
对它来进行记忆、创作与修改,而非对最原始的词汇进行记忆、创作与修改,是超一流作家掌握的写作秘笈。
超一流作家偏爱卡片,习惯同样来之不易。在纳博科夫年轻时,他像每一位青年作家一样,只是用练习本写。当他38岁时,开始写《天赋》(The Gift)时,他突然开悟了,改用卡片写作。
“例5:《威斯康星研究》(1967)
在30年代后期,我开始写《天赋》,也许是需要许多的笔记,我就改用另一种方法,也更实用的方法———用橡皮铅笔在索引卡片上写。
因为我向来在一开始就对整部小说有一种奇妙而清晰的前瞻,我发现卡片用起来尤为方便,因为不必按照章节的逻辑顺序,而可以在小说的任何一个部分进行替换,随时填补空白,我恐怕和柏拉图混淆起来,我并不在意他,但我确实认为,就我的情况来说这是真的:

整部小说,还没写,就似乎在另外的某个空间完美地准备好了。有时清晰,有时模糊,我的工作就是尽量把我所理解的写出来,尽可能准确地写出来。
3、纳博科夫如何创作
此外,每位卡片上万的超一流作家背后,必有一位默默整理卡片的人,正如杨绛之于钱钟书,薇拉之于纳博科夫。
“例6:《巴黎评论》(1967) 《巴黎评论》:“您能说一下您夫人跟您的合作吗?”
纳博科夫:“她是我的顾问和法官,……我的所有短篇和长篇小说,我都至少对她读两遍。她打字的时候要重读这些作品,清样出来后要进行校对。”
杨绛与钱钟书,薇拉与纳博科夫。棋逢对手、一生坚守。不同文化,同样一个关乎爱与创造力的故事。正如低调的钱钟书在《写在人生边上》扉页用“赠予季康”来表达对杨绛的爱一样,纳博科夫能做的就是,在一生每本书的扉页写上:献给薇拉。
美国国会图书馆与康奈尔大学都收藏有纳博科夫的卡片。遗憾的是,纳博科夫将《洛丽塔》草稿阶段的卡片全部毁掉,只保留了大约100张准备阶段的卡片。纳博科夫晚年最后一部未完成的作品是《劳拉的原型》。因为作品并不完美,在遗嘱中他同样要求销毁这部作品。然而幸运的是,在瑞士银行的保险箱里保存了30多年后,这份写在150张卡片上的神秘手稿终于面世,并于2009年出版。
——选自《离线》杂志
纳博科夫认为,最理想的作家是讲故事的人、教育家和魔法师。「一个大作家集三者于一身,但魔法师是其中最重要的因素,他之所以成为大作家,得力于此。」
纳博科夫擅长卡片魔法。
我现在发现索引卡片真的是进行写作的绝佳纸张,我并不从开头写起,一章接一章地写到结尾。我只是对画面上的空白进行填充,完成我脑海中相当清晰的拼图玩具,这儿取出一块,那儿取出一块,拼出一角天空,再拼出山水景物,再拼出 —— 我不知道,也许是喝得醉醺醺的猎手。
1938 年,纳博科夫开始使用索引卡创作,这种与以往不同的卡片写作给他带来了全新的创作体验,让他在此后的 39 年创作生涯中持续使用,成为他一生最爱的创作利器。
卡片创作不单是指在卡片上书写灵感,还包括在已写作好的卡片之间寻找「交互」的可能性,这种卡片的创作与交互,正是纳博科夫的卡片魔法。

实践卡片创作法
像纳博科夫一样创作,该如何实践呢?
1列出大纲
卡片创作的第一步:尝试在一张卡片上写出文章的主题大纲。

在写大纲卡时,你可以思考以下这三个问题:
为什么要写?
读者是谁?
你的预期结果是什么?
使用大纲卡创作尤其需要注意:使用卡片创作并不是在卡片上写文章。大纲卡的使用原则是简洁清晰,你只能在上面写关键词句,这些关键词句可以涵盖这篇文章 80% 的内容。
2编辑成文
纳博科夫曾经详细分享过他的创作体验:
在小说创作进展的最初阶段,我极渴望储存些草屑绒毛,吃些小卵石。没有人会发现一只鸟会多清楚地预见(假如它有预见的话)未来的巢和巢里的蛋。
等我事后想起是什么促使我记下事物的正确名字或事物的点滴时,我所谓灵感已经开始工作了,它默不作声地指向这儿指向那儿,让我积累已知的材料为未知的结构服务。
等突然意识到「这正是我所写的」之后,小说自身便开始成长了;这一过程是在脑中进行的,而不是在纸上。这个阶段在特定的时刻自然回来到,所以我不用对每个准确的词语有过强的自觉意识。
我感到故事在脑中不慌不忙地进展着铺陈着,我知道细节己在那儿了,事实上如果近看就能看个真切;假如我把机器停下来,打开它的内部,也能看个真切。
但是,我喜欢等,等到灵感为我完成这项任务。我内心会在某个时刻告诉我整个结构完成了。我现在所要做的只是用铅笔或钢笔一记下。既然脑中依稀出现的整个结构已跟画差不多,既然用不着逐渐地从左到右来规划它的适当模样,我便可在写下它的时候把闪光灯指向这个画面的任何部分。
我着手写小说不是从头往下写的,……不是依序一页一页往下写的。我是这儿一点那儿一点地下手,直到纸上的空处都填完。

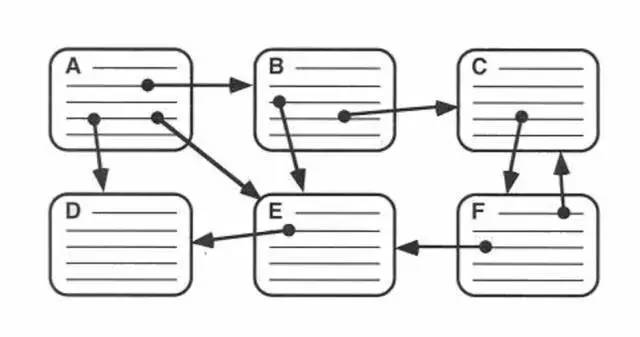
写完扩展卡片,并非意味着创作的结束。远距联想完成 A > B > C > D > E 卡片的链接,只是简单的一次创作,远距联想完成 A > E / B > D / C > A ……的链接,那才是卡片创作的乐趣。
当你在正以为在干体力活将扩展卡形成文字时,你的大脑会像纳博科夫说的那样,创造力会悄悄迸发,故事/逻辑/情感/鲜活证据 会慢慢铺陈,慢慢会体验到有一种莫名的想法在脑中流淌,神经与神经之间的沟壑会渐渐连通,会突然想到白雪与沙漠之白,杜鹃与热火之红,天空与绸布之蓝……
实践经验证明,大部分的神来之笔大多出自将卡片编辑成文的过程,因为其中蕴含着创造大量远距联想的机会。
3检查修改
修改是写作的核心。采用卡片写作法,你必须习惯快写慢改。写卡片很快,编辑成文也很快,但检查修改就必须慢。
一旦你拧开了大脑水龙头,灵感飞溅而出,千万不要试图关上,也千万别想着下次还可以拧开,你需要做的,就是拿起卡片承载,接下多少是多少,那将是大脑最好的馈赠。
E / N / D
首届编剧嘉年华
9月23日开幕,合作请加微信gangqinshi01
(或直接扫描下方二维码,添加请备注“编剧嘉年华”及合作形式)
▽
公司、项目合作 ◇ gangqinshi01
项目、影视宣传合作 ◇ rene0602
影视公司合作 ◇ zqy24680
编剧合作 ◇ dongmeijuan3274
回复“我要加入分会”加入编剧帮全球分会
投稿 ◇ yunying@bianjubang.com
已同步入驻以下平台
*今条头日** | 搜狐自媒体 | 一点资讯
界面 | 企鹅媒体