hello小伙伴们,我是你们亲切张哥,今天给大家开启一个专题:神奇的数字“3”.今天我们一起来聊一聊勾股三角形.
老子的《道德经》第四十二章有这样一句话:“道生一,一生二,二生三,三生万物”.在初中数学几何知识当中,也存在类似的情况.在几何题目当中很多我们常用的几何模型,解题方法,都与这个“3”脱不开关系,我们从勾股三角形开始一一研究.
在我们学习了勾股定理和二次根式以后,就会遇到这样的这样的题目,已知三角形的边长,求面积的题目,我们通过一个例题来说明.
例:如图,△ABC中,AB=10,AC=17,
BC=21,求△ABC的面积.

有小伙伴会说,很简单啊,我们用海*公伦**式直接一步到位就可以了呀,但是,海*公伦**式并不是义务教育阶段认可的公式,是不能在解答题中直接使用的,所以,我们再想想其他办法.
学习了勾股定理以后,我们就知道可以过点A作BC的垂线AD.

设BD=x,则CD=21-x,根据勾股定理:AD²=AB²-BD²=AC²-CD²
∴10²-x²=17²-(21-x)²,解得x=6
∴BD=6,CD=15,AD=8,
∴S△ABC=BC×AD÷2=84.
现在,我们讲这个题目建模,提取关键点.在学习了勾股定理之后,知道三边,就可以求到三角形的面积.
我们将模型深化,进行探究,如果去掉一个条件,如下:△ABC中,AB=10,AC=
17,求△ABC的面积.

还可以求吗?
我们发现,此时,不能求出面积了,于是我们回顾上面的情况,大致得出一个结论:知道三边,即三个条件,可求三角形面积,缺了一边后,少了条件,自然就不能求面积了.
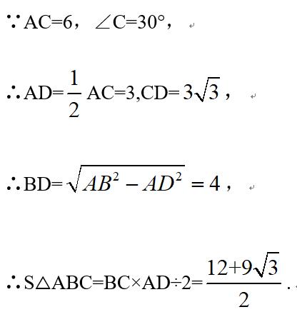
接着刚才的继续研究,我们不给出底边BC的长度,添加一个角呢?如下:△ABC中,AB=5,AC=6,∠C=30°,求△ABC的面积.

继续过点A作BC的垂线AD.


我们将上面这个题提取模型,得到:三角形,已知两个边,一个角度,也可以求出三角形的面积.
思考:如果已知三角形的一个边长,需要知道几个角的度数,才能求出三角形的面积?
猜想:两个角度.
如下:△ABC中,AC=6,∠B=45°,∠C=
30°,求△ABC的面积.

小伙伴可以自己证明.
模型提取:
三角形,三个条件,三种情况:1. 三边;2. 两边+一特殊角;3. 一边+两特殊角.
辅助线:作垂线(不破坏特殊角)
我们把这个模型叫做勾股三角形.
下面,就是特殊角的研究时间,初中数学当中,有哪些角度算作特殊角呢?基本上就是我们熟悉的两块三角板的角度及其加减得到角度.如下:
30°、45°、60°、15°、22.5°、67.5°、75°、105°、120°、135°、150°、165°.
1. 30°、45°、60°、 的处理方式:
30°、45°、60°、的处理方式相对简单,当出现这些角度的时候,作垂线将其放入直角三角形中,再利用线段比值计算即可。有一点需要注意:在作垂线的时候,不可将这些角度分开!

另外,包含120° 的等腰三角形:

2. 15°、22.5°的处理方式:
两者的处理方式一样,构造一个包含30°、45°的直角三角形。
如图:∠B=15°,则在BC上取一点D,使得AD=BD.

如图,∠B=22.5°,则在AB上取一点D,使得AD=CD.

这样就得到了两个三角形的三边比,完成了解三角形的过程.
3. 67.5°、75°的处理方式:
如图,两图分别是以30°和45°为顶角的等腰三角形,则处理方式一样,过一底边顶点向腰作垂线,再借助第2种情况处理即可.

4. 75°、105°的处理方式:
如图,图1是由45°、60° ,75°组成的三角形,∠BAC=75°;图2是由30°、45° 、105° 组成的三角形,∠BAC=105°.两者的处理方式一样,均是作垂线将75°,105°分开,其中:75°=45°+30°;
105°=60°+45° 。

5. 120°、135°、150°的处理方式
如图:这三个角度常用的处理方式是作垂线,并与延长线相交构造我们熟悉的三角板.

下面我们来看看勾股三角形的拓展.
勾股三角形从本质上说其实就是解三角形,但是因为三角函数是九年级才学习的,所以我们在命名上就按照勾股定理来命名.在学习了三角函数以后,我们的特殊角的范围会扩大到三角函数.如下:
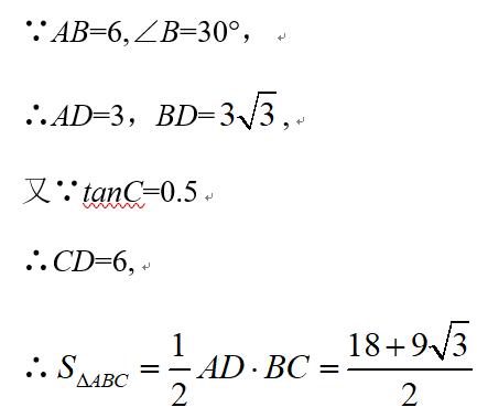
例:在△ABC中,∠B=30°,tanC=0.5,
AB=6,求△ABC的面积.

我们来看一下这个题的条件,一个∠B,一个∠C的正切值,加上一个边,满足勾股三角形的第三种情况“一边+两个角”,所以,还是作AD垂直于BC.


这就是勾股三角形的拓展.
勾股三角形的应用:
勾股三角形尽管我们举例是求三角形的面积,其实不然,勾股三角形最重要的应用是求线段长度,试想一下,如果不能求到相关线段,何谈求面积呢?
勾股三角形的适用面特别广泛,在考试当中分布于几何,函数当中,无处不在,因为解三角形这个知识本身就很重要,我们现在将这个模型进行提炼,升华,各位小伙伴一定要好好掌握。篇幅原因,明天张哥给各位小伙伴放上勾股三角形具体的应用.