圆
考点一 圆的定义
(1)在一个平面内,线段 OA 绕它固定的一个端点 O旋转一周,另一个端点 A 所形成的图形叫作圆。固定的端点 O 叫作圆心,线段 OA 叫作半径。
(2)圆心为 O,半径为 r 的圆可以看成是所有到定点 O 的距离等于定长 r 的点的集合。
比较圆的两种定义:
1.定义是圆的形成进行描述的.
2.是运用集合的观点下的定义,但是都说明确定了定点与定长,也就确定了圆。
考点二 圆的相关概念
(1) 弦 :连接圆上任意两点的线段叫做弦,经过圆心的弦叫作 直径 。
(2 )弧 :圆上任意两点间的部分叫做圆弧,简称 弧 。圆的任意一条直径的两个端点把圆分成两条弧,每一条弧都叫做 半圆 。
(3) 等圆 :等圆重合的两个圆叫做 等圆 。
(4) 等弧 :在同圆或等圆中,能够互相重合的弧叫做 等弧 。
弦是线段,弧是曲线,判断等弧首要的条件是在同圆或等圆中,只有在同圆或等圆中完全重合的弧才是等弧,而不是长度相等的弧。
垂直于弦的直径
考点一 圆的对称性
圆是轴对称图形,任何一条 直径 所在直线都是它的对称轴。
考点二 垂径定理
(1)垂径定理 :垂直于弦的直径平分弦,并且平分弦所对的两条弧。
如图所示,直径为 CD,AB 是弦,且 CD⊥AB,

垂足为M→{AM=BM;AC=BC;AD=BD}
垂径定理的推论:平分弦(不是直径)的直径垂直于弦,并且平分弦所对的两条弧
如上图所示,直径 CD 与非直径弦 AB 相交于点 M,
AM=BM{CD⊥AB;AC=BC;AD=BD}
注意点 :因为圆的两条直径必须互相平分,所以垂径定理的推论中,被平分的弦必须不是直径,否则结论不成立。
弧、弦、圆心角
考点 三者的关系
(1)弦、弧、圆心角之间的关系定理:在同圆或等圆中,相等的圆心角所对的弧相等,所对的 弦 也相等。
(2)在同圆或等圆中,如果两个圆心角,两条弧,两条弦中有一组量相等,那么它们所对应的其余的各组量也相等。
(3) 注意 不能忽略同圆或等圆这个前提条件,如果丢掉这个条件,即使圆心角相等,所对的弧、弦也不一定相等,比如两个同心圆中,两个圆心角相同,但此时弧、弦不一定相等。
圆心角
考点一 定理
(1) 圆周角定理 :在同圆或等圆中,同弧或等弧所对的圆周角相等,都等于这条弧所对的圆心角的 一半 。
(2) 圆周角定理的推论 :半圆(或直径)所对的圆周角是直角,90°的圆周角所对弦是 直径 。
(3)圆周角定理揭示了同弧或等弧所对的圆周角与圆心角的大小关系。“同弧或等弧”是不能改为“同弦或等弦”的,否则就不成立了,因为一条弦所对的圆周角有两类。
考点二 圆内接四边形及其性质
圆内接多边形 :如果一个多边形的所有顶点都在同一个圆上,这个多边形叫做圆内接多边形,这个圆叫做这个多边形的外接圆。
圆内接四边形的性质:圆内接四边形的对角互补。
点和圆的位置关系
考点一 位置关系
(1) 点与圆的位置关系有 :点在圆外,点在圆上,点在圆内三种。
(2) 用数量关系表示 :若设⊙O 的半径是 r,点 P 到圆的距离 OP=d,
则有:点 P 在圆外 d>r;点 p 在圆上 d=r;点 p 在圆内 d<r。
考点二 过已知点作圆
(1)经过一个点的圆(如点 A)以点 A 外的任意一点(如点 O)为圆心,以OA 为半径作圆即可,如图,这样的圆可以作无数个。

(2)经过两点的圆(如点 A、B)以线段 AB 的垂直平分线上的任意一点(如点 O)为圆心,以 OA(或 OB)为半径作圆即可,如图,这样的圆可以作无数个。


(3)经过三点的圆
① 经过在同一条直线上的三个点不能作圆
② 不在同一条直线上的三个点确定一个圆,即经过不在同一条直线上的三个点可以作圆,且只能作一个圆。
如经过不在同一条直线上的三个点 A、B、C 作圆,作法:连接 AB、BC(或 AB、AC 或 BC、AC)并作它们的垂直平分线,两条垂直平分线相交于点 O,以点 O 为圆心,以OA(或 OB、OC)的长为半径作圆即可,如图,这样的圆只能作一个。

考点三 三角形的外接圆与外心
(1)经过三角形三个顶点可以作一个圆,这个圆叫做三角形的 外接圆 。
(2)外接圆的圆心是三角形三条边的垂直平分线的交点,叫做这个 三角形的外心 。
考点四 反证法
(1) 反证法 :假设命题的结论不成立,经过推理得出矛盾,由矛盾断定所作假设不正确,从而得到原命题成立,这种证明命题的方法叫做反证法。
(2)反证法的一般步骤:
① 假设命题的结论不成立;
② 从假设出发,经过逻辑推理,推出或与定义,或与公理,或与定A理,或与已知等相矛盾的结论;
③ 由矛盾判定假设不正确,从而得出原命题正确。
直线和圆的位置关系
考点一 位置关系
(1)直线与圆的位置关系有: 相交、相切、相离 三种。
(2)直线与圆的位置关系可以用数量关系表示
若设⊙O 的半径是 r,直线 l 与圆心 0 的距离为 d,则有:
直线 l 和⊙O 相交→ d < r;
直线 l 和⊙O 相切→ d = r;
直线 l 和⊙O 相离→d > r。
考点二 判定和性质
(1)切线的 判定定理 : 经过半径的外端并且垂直于这条半径的直线是圆的 切线 。
(2)切线的 性质定理 :圆的切线垂直于过切点的 半径 。
(3)切线的 其他性质 :切线与圆只有一个公共点;切线到圆心的距离等于半径;经过圆心且垂直于切线的直线必过 切点 ;必过切点且直于切线的直线必经过 圆心 。
考点三 定理
(1) 切线长 的定义:经过圆外一点作圆的切线,这点和切点之间的线段的长,叫做这点到圆的切线长。
(2) 切线长定理 :从圆外一点可以引圆的两条切线,它们的切线长相等,这一点和圆心的连线平分两条切线的夹角。
(3) 注意 :切线和切线长是两个完全不同的概念,必须弄清楚切线是直线,是不能度量的;切线长是一条线段的长,这条线段的两个端点一个是在圆外一点,另一个是切点。
考点四 三角形的内切圆和内心
(1) 三角形的内切圆定义 :与三角形各边都相切的圆叫做三角形的 内切圆 。这个三角形叫做圆的 外切三角形 。
(2) 三角形的内心 :三角形内切圆的圆心叫做三角形的 内心 。
注意 :三角形的内心是三角形三条角平分线的交点,所以当三角形的内心已知时,过三角形的顶点和内心的射线,必 平分 三角形的内角。
圆和圆的位置关系
考点一 位置关系
(1)圆与圆的位置关系有五种:
① 如果两个圆没有公共点,就说这两个圆 相离 ,包括 外离 和 内含 两种;
② 如果两个圆只有一个公共点,就说这两个圆 相切 ,包括 内切 和 外切 两种;
③ 如果两个圆有两个公共点,就说这两个圆 相交 。
(2)圆与圆的位置关系可以用数量关系来表示:
若设两圆圆心之间的距离为 d,两圆的半径分别是 r1 r2,且 r1 < r2,
则有
两圆外离→d>r1+r2;两圆外切→d=r1+r2;两圆相交→r2-r1<d<r1+r2;
两圆内切→d=r2-r1;两圆内含→d<r2-r1
正方形和圆
考点一 正多边形的外接圆和圆的内接正多边形
正多边形与圆的关系非常密切,把圆分成 n(n 是大于 2 的自然数)等份,顺次连接各分点所得的多边形是这个圆的内接正多边形,这个圆就是这个正多边形的外接圆。
正多边形的 中心 :一个正多边形的外接圆的圆心叫做这个正多边形的中心。
正多边形的 半径 :外接圆的半径叫做正多边形的半径。
正多边形的 中心角 :正多边形每一条边所对的圆心角叫做正多边形的中心角。
正多边形的 边心距 :中心到正多边形一边的距离叫做正多边形的边心距。
考点二 正多边形性质
(1)正n边形的半径和边心距把正多边形分成 2n个全等的直角三角形。
(2)所有的正多边形都是轴对称图形,每个正 n边形共有n条对称轴,每条对称轴都经过正 n 边形的中心;当正 n 边形的边数为偶数时,这个正 n 边形也是中心对称图形,正 n 边形的中心就是对称中心。
(3)正 n 边形的每一个内角等于(n-2)×180°/n,中心角和外角相等,等于360°/n
弧长和扇形面积
考点一 弧长公式
在半径为 R 的圆中,360°的圆心角所对的弧长就是圆的周长 C=2πR,
所以 n°的圆心角所对的弧长的计算公式 l=n/360×2πR=nπR/180
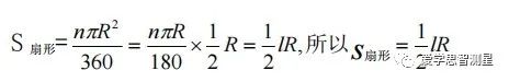
考点二 扇形面积公式
在半径为 R 的圆中,360°的圆心角所对的扇形面积就是圆的面积 S=πR2,所以圆心角为 n°的扇形的面积为 s 扇形=nπR²/360。
比较扇形的弧长公式和面积公式发现:

考点三 圆锥的侧面积和全面积
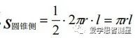
圆锥的侧面积是曲面,沿着圆锥的一条母线将圆锥的侧面展开,容易得到圆锥的侧面展开图是一个扇形。设圆锥的母线长为 l,底面圆的半径为 r,那么这个扇形的半径为 l,扇形的弧长为 2πr,
圆锥的侧面积:

圆锥的全面积为:

随机事件与概率
考点一 必然事件、不可能事件、随机事件
在一定条件下,有些事件必然会发生,这样的事件称为 必然事件 ;
相反地,有些事件必然不会发生,这样的事件称为 不可能事件 ;
在一定条件下,可能发生也可能不会发生的事件称为 随机事件 。
必然事件和不可能事件是否会发生,是可以事先确定的,所以它们统称为 确定性事件
考点二 事件发生的可能性的大小
必然事件的可能性最大,不可能事件的可能性最小,随机事件发生的可能性有大有小。
不同的随机事件发生的可能性的大小有可能不同。
考点三 概率
一般地,对于一个随机事件A,我们把刻画其发生可能性大小的数值,称为 随机事件 A 发生的概率 ,记作 P(A)。
一般地,如果在一次试验中,有 n 种可能的结果,并且它们发生的可能性都相等,事件 A 包含其中的 m 种结果,那么事件 A 发生的概率P(A)=m/n。
由 m 和 n 的含义可知 0≤m/n≤n,因此 0≤≤1,因此 0≤P(A)≤1
当 A 为必然事件时,P(A)=1;当 A 为不可能事件时,P(A)=0.
考点四 列举法求概率
一般地,如果在一次试验中,有 n 种可能的结果,并且它们发生的可能性都相等,事件 A 包含其中的 m 种结果,那么事件 A 发生的 概率P(A)=m/n
考点五 用列表发求概率
当一次试验要涉及两个因素并且可能出现的结果数目较多时,为不重不漏地列出所有可能的结果,通常用 列表法 。
列表法是用表格的形式反映事件发生的各种情况出现的次数和方式,以及某一事件发生的可能的次数和方式,并求出概率的方法。
考点六 用树形图求概率
当一次试验要涉及 3 个或更多的因素时,列方形表就不方便了,为不重不漏地列出所有可能的结果,通常采用 树形图 。树形图是反映事件发生的各种情况出现的次数和方式,并求出概率的方法。
(1)树形图法同样适用于各种情况出现的总次数不是很大时求概率的方法。
(2)在用列表法和树形图法求随机事件的概率时,应注意各种情况出现的可能性务必相同。