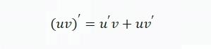
在高中数学中,我们学过微分法则,其中有一个重要的法则叫作乘积函数求导法则,它告诉我们如何求两个函数相乘的导数。例如,如果我们有两个函数u(x)和v(x),它们的乘积函数u(x)v(x)的导数就是

这个法则很有用,因为它可以帮助我们求一些复杂函数的导数。但是你有没有想过,如果我们反过来,从这个法则出发,能不能得到一些关于积分的结论呢?答案是肯定的,这就是我们今天要介绍的分部积分法公式。
分部积分法公式的推导
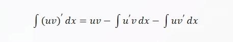
要推导分部积分法公式,我们只需要对乘积函数求导法则两边同时求不定积分就可以了。也就是说,我们要求出下面这个等式的两边的原函数:

根据微积分基本定理,我们知道(uv)′的原函数就是uv,而u′v+uv′的原函数就是∫u′vdx+∫uv′dx。所以我们可以得到:

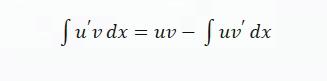
整理一下,就得到了分部积分法公式:

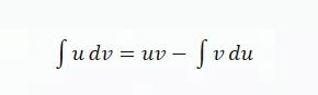
或者写成另一种形式:

这个公式看起来很简单,但是它却有着非凡的作用。它可以帮助我们把一些难以直接求出的积分转化成更容易求出的积分。下面我们来看几个例子。
分部积分法公式的应用

这个积分看起来很复杂,因为它涉及到两个不同类型的函数:幂函数和指数函数。如果我们直接用基本积分公式或者换元法来求解,可能会很麻烦。但是如果我们用分部积分法公式来处理,就会变得很简单。我们只需要把被积函数看成两个函数的乘积:u=x和v=e^x。那么根据公式,我们有:

其中C是任意常数。这样我们就轻松地求出了这个积分。

这个积分也不容易直接求出,因为它涉及到对数函数。如果我们用换元法来求解,可能会遇到一些困难。但是如果我们用分部积分法公式来处理,就会变得很方便。我们只需要把被积函数看成两个函数的乘积:u=lnx和v=1。那么根据公式,我们有:

其中C是任意常数。这样我们就轻松地求出了这个积分。

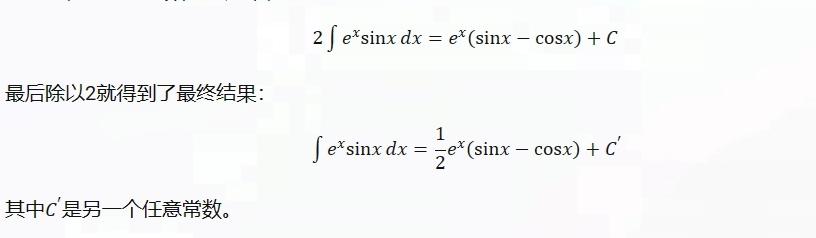
这个积分也比较复杂,因为它涉及到指数函数和三角函数。如果我们直接用基本积分公式或者换元法来求解,可能会很繁琐。但是如果我们用分部积分法公式来处理,就会变得很巧妙。我们只需要把被积函数看成两个函数的乘积:u=e^x和v=sinx。那么根据公式,我们有:

其中C是任意常数。注意到最后一步中又出现了原来要求的积分∫e^xsinxdx。这时候我们可以把它移到等号左边,并且把系数合并起来,得到:

总结
通过上面的例子,我们可以看到分部积分法公式是一种非常强大而灵活的工具,它可以帮助我们简化一些复杂的积分计算,并且提高我们对于不同类型函数之间关系的理解。当然,在实际应用中,并不是所有的积分都适合用这种方法来处理,有时候还需要结合其他方法或者技巧来求解。但是只要掌握了基本原理和技巧,并且多加练习和思考,相信你一定能够运用自如,并且享受其中的乐趣。

举报/反馈