首先小编要先说一下清单编号注释,例如独立基础的编号
清单套价过程实例讲解
清单定额宏观理解,选择独立基础混凝土工程量计算为例,讲一下清单的建立与工程量计算。过程是:先按照计算规则算混凝土量,再套清单、定额。
1 计算规则讲解
独立基础的清单计算规则,按设计图示尺寸以体积计算。不扣除构件内钢筋、预埋铁件和伸入承台基础的桩头所占体积。
工程量计算规则如下两个截图:
见下图,标注基础扩大面以下是独立基础砼的总量(三个长方体+柱)。

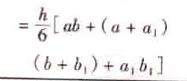
四棱锥体积公式


根据以上规则---我们把图中独立基础柱基础扩大面以下—计算砼量、以及模板量。(计算定位)
所以计算采用---长度X宽度X厚度(基础的底座)+(基础上边四棱锥部分)锥体高/6*[ab+(a+a1)+(b+b1)+a1b1]=独基砼体积(计算定位),以m3为例套定额。
2 实例讲解套价过程
混凝土工程量乘以单价就是独立基础的混凝土价格。
上节课我们讲了定额的基本价格含人工、材料、机械三种费用,不包括利润,税金等其他费用。
以下是套清单步骤,我给大家演示一下---首先考虑砼,以混凝土量为例讲解,模板钢筋以后讲解,程序一样---采用商品砼—因此只取【4-2-7定额】与独基清单号
(详解怎么借助广联达找到相应的定额及清单)
看一下清单与定额的广联达GBQ4软件的页面形式---见下图【大家只是记住这个操作程序,经过反复练习就熟练了,】
混凝土工程量乘以单价就是独立基础的混凝土价格。
上节课我们讲了定额的基本价格含人工、材料、机械三种费用,不包括利润,税金。
以下是套清单步骤,我给大家演示一下---首先考虑砼,以混凝土量为例讲解,模板钢筋以后讲解,程序一样---采用商品砼—因此只取【4-2-7定额】与独基清单号。(详解怎么借助广联达找到相应的定额及清单)
看一下清单与定额的广联达GBQ4软件的页面形式---见下图【大家只是记住这个操作程序,经过反复练习就熟练了,】


基础---浇筑商品砼---模板(见清单—框架与剪力墙楼房GBQ4)

这样我接着用GBQ4软件【注明:各种预算软件大同小异,操作基本一样,】给大家演练一下以上的清单插入定额的顺序与商品砼单价的插入。
最后,模板怎么套,钢筋怎么套,一笔带过。总结一下整个框架结构的广联达算量流程。
造价员工作流程:
我们按照图纸---从基础开始—基本是按施工顺序列出所有清单与定额项目---按照计价规则{计算他们的工程量----这过程就是预算员第一个计算量的工序},这工序完成后----{按照计算完的量---按图纸、合同要求与施工组织设计套清单或者定额},---反复审查[用平方造价的经验数值]后---上报结算书(预算书)。{审查预算书诀窍—在以后讲述}
以上过程与今天讲的独立基础套清单过程是吻合的。
结算书(预算书) 是造价员完成工作。
高层剪力墙结构工程量计算项目与顺序—用excle表格。
根据图纸—从基础向上的顺序—编写分部分项名称,见下表,广联达计算的量也要顺着这个计算书的顺序,把计算的量填写到这个登记好的表格里,
工程量计算书


进行到钢筋计算工程量时---我们应用广联达CAD导图进行---钢筋算量,另外一些项目如:后浇带、楼梯钢板止水带、外墙止水螺杆—可用广联达单构件去完成---手工能算而且快时—要手工算---如外墙脚手架—要手工算{外墙周长*室外地坪以上至檐高度套定额10-1-5}、,计算的工程量与计算式---都要—填在以上的表格。
预算员的难点是识图与图集,解决这个问题,我们采用从清单定额项目找到对应的图纸与图集位置,从而讲解图纸与图集,这样便于记忆,使预算书知识关联在一起,例如筏板基础(打开软件三维图与电子版图纸对应)
注:欢迎大家关注小编的微信公众号“土木智库”,里面有小编整理的建筑行业的众多资料,有一建、二建、造价、消防视频和课件,欢迎大家的加入。

