
在国际衍生金融市场的形成发展过程中,期权的合理定价一直是困扰投资者的一大难题。期权价格是期权合约中唯一随市场供求变化而改变的变量,它的高低直接影响到买卖双方的盈亏状况,是期权交易的核心问题。早在1900年法国金融专家劳雷斯·巴舍利耶就发表了第一篇关于期权定价的文章。此后,各种经验公式或计量定价模型纷纷面世,但因种种局限难于得到普遍认同。
直到1973年,布莱克(F.Black)和斯科尔斯(M.Scholes)发表了一篇名为《期权和公司负债定价》的论文,推导出了著名的Black-Scholes公式(以下简称BS公式),即标准的欧式期权价格显式解,这个公式的精彩之处在于其中的变量全是客观变量,完全摒除了个体主观因素的影响。70年代至今,BS公式为投资者带来了巨大财富。
然而BS公式的推导并不是一帆风顺,在探索它的过程中,你必然会接触到布朗运动、伊藤引理,布朗运动用于描述证券价格的随机过程,伊藤引理提供了对随机过程的函数做微分的框架,最终造就了一个精彩绝伦的BS公式。
1. 布朗运动

布朗运动的发现和发展,有四个重要的时间节点:
1827年英国植物学家布朗发现液体中悬浮的花粉粒具有无规则的运动,这种运动就是布朗运动。但是当时并不能从物理学角度上很好的解释其成因。

1900年,法国数学家巴舍利耶(L.Bachelier)在其博士论文《投资理论》中,给出了布朗运动的数学描述,提出用算术布朗运动来模拟股票价格的变化。

1905 年,爱因斯坦详细解释了布朗发现的这种运动:微粒的无规则运动是由水分子的撞击形成。

直到1918年,布朗运动严谨的定义才被维纳(Winener)给出,因此布朗运动又称为维纳过程。
(1)标准布朗运动
设

代表一个小的时间间隔长度,代表变量

在时间内的变化,遵循标准布朗运动的

具有的两种特征:
特征1:
和
请点击此处输入图片描述

(2.1)
其中,

代表从标准正态分布(即均值为0、标准差为1.0的正态分布)中的一个随机值。
特征2:对于任何两个不同时间间隔
,
的值相互独立。请点击此处输入图片描述
从特征1可知,
本身也具有正态分布特征,其均值为0,标准差为

,方差为

。
从特征2可知,标准布朗运动符合马尔可夫过程,因此是马尔可夫过程的一种特殊形式。
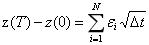
现在我们来考察遵循标准布朗运动的变量z在一段较长时间T中的变化情形。我们用z(T)-z(0)表示变量z在T中的变化量,它可被看作是在N个长度为的小时间间隔中z的变化总量,其中N=T/

,因此,

(2.2)
其中是标准正态分布的随机抽样值。从特征2可知,i是相互独立的,因此z(T)-z(0)也具有正态分布特征,其均值为0,方差为N

=T,标准差为

。
由此我们可以发现两个特征:在任意长度的时间间隔T中,遵循标准布朗运动的变量的变化值服从均值为0,标准差为

的正态分布。对于相互独立的正态分布,方差具有可加性,而标准差不具有可加性。
当时,我们就可以得到极限的标准布朗运动:

(2.3)
(2)普通布朗运动
为了得到普通的布朗运动,我们必须引入两个概念——漂移率和方差率:
漂移率:是指单位时间内变量z均值的变化值。
方差率:是指单位时间的方差。
标准布朗运动的漂移率为0,方差率为1.0。漂移率为0意味着在未来任意时刻z的均值都等于它的当前值。方差率为1.0意味着在一段长度为T的时间段后,z的方差为1.0×T。我们令漂移率的期望值为a,方差率的期望值为b^2,就可以得到变量x的普通布朗运动:
dx=adt+bdz (2.4)
其中,a和b均为常数,dz遵循标准布朗运动。这个过程指出变量x关于时间和dz的动态过程。其中第一项adt为确定项,它意味着x的期望漂移率是每单位时间为a。第二项bdz是随机项,它表明对x的动态过程添加的噪音。这种噪音是由维纳过程的b倍给出的。
从上式(2.1)和(2.4)可知,在短时间

后,x值的变化值

为:

因此,也具有正态分布特征,其均值为a

,标准差为

,方差为

。同样,在任意时间长度T后x值的变化也具有正态分布特征,其均值为aT,标准差为

,方差为

2、伊藤引理

普通布朗运动假定漂移率和方差率为常数,若把变量x的漂移率和方差率当做变量x和时间t的函数,我们可以从公式(2.4)得到伊藤过程。
其中,dz是一个标准布朗运动,a、b是变量x和t的函数,变量x的漂移率为a,方差率为b2。
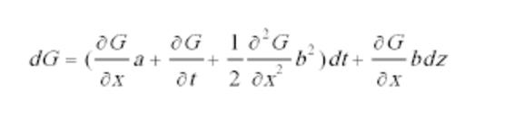
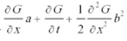
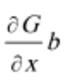
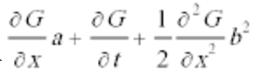
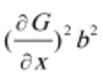
在伊藤过程的基础上,伊藤进一步推导出:若变量x遵循伊藤过程,则变量x和t的函数G将遵循如下过程:

(2.5)
其中,dz是一个标准布朗运动。由于

和

都是x和t的函数,因此函数G也遵循伊藤过程,他的漂移率为:

,方差率为

。公式(2.5)就是著名的伊藤引理。
(未完待续)