央行要求所有*款贷**产品明示*款贷**年化利率!计算公式来了!

中国人民银行发布公告,对*款贷**产品的*款贷**年化利率做出相关规定。
公告称,所有从事*款贷**业务的机构,在网站、移动端应用程序、宣传海报等渠道进行营销时,应当以明显的方式向借款人展示年化利率。从事*款贷**业务的机构包括但不限于存款类金融机构、汽车金融公司、消费金融公司、小额*款贷**公司以及为*款贷**业务提供广告或展示平台的互联网平台等。
*款贷**年化利率应以对借款人收取的所有*款贷**成本与其实际占用的*款贷**本金的比例计算,并折算为年化形式。*款贷**年化利率可采用复利或单利方法计算:复利计算方法即内部收益率法;采用单利计算方法的,应说明是单利。
以下为央行原文:
为维护*款贷**市场竞争秩序,保护金融消费者合法权益,所有*款贷**产品均应明示*款贷**年化利率,现就有关事宜公告如下: 一、所有从事*款贷**业务的机构,在网站、移动端应用程序、宣传海报等渠道进行营销时,应当以明显的方式向借款人展示年化利率,并在签订*款贷**合同时载明,也可根据需要同时展示日利率、月利率等信息,但不应比年化利率更明显。 二、从事*款贷**业务的机构包括但不限于存款类金融机构、汽车金融公司、消费金融公司、小额*款贷**公司以及为*款贷**业务提供广告或展示平台的互联网平台等。 三、*款贷**年化利率应以对借款人收取的所有*款贷**成本与其实际占用的*款贷**本金的比例计算,并折算为年化形式。其中,*款贷**成本应包括利息及与*款贷**直接相关的各类费用。*款贷**本金应在*款贷**合同或其他债权凭证中载明。若采用分期偿还本金方式,则应以每期还款后剩余本金计算实际占用的*款贷**本金。
四、*款贷**年化利率可采用复利或单利方法计算。复利计算方法即内部收益率法,具体示例见附件。采用单利计算方法的,应说明是单利。 五、鼓励民间借贷参照本公告执行。 附件:采用内部收益率法计算*款贷**年化利率示例 中国人民银行 2021年3月12日
附属材料:采用内部收益率法计算*款贷**年化利率示例
计算*款贷**年化利率较为公允的方法是,根据借款人的借款本金、每期还款金额、*款贷**期数等要素,考虑复利后计算得出的年化内部收益率(IRR)。计算公式为:

其中,n为年内还款频率(例如,每月还款一次为12,每3个月还款一次为4,每年还款一次为1),T为还款年数,由此计算得出的IRR即为年化利率。
一、到期一次性还本付息类产品
借款人在*款贷**到期日一次性归还*款贷**本金并支付利息。
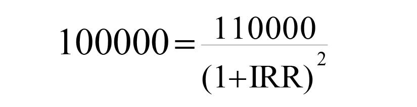
例如,某*款贷**产品,期限为2年,本金为10万元,2年后借款人一次性还本付息11万元。上述*款贷**的年化利率约为4.88%,计算过程为:

二、分期偿还类产品
借款人在还款期内,每期需偿还一定数额的本金,并支付实际占用的本金在该期所产生的利息。如使用等额本息或等额本金方式分期偿还的商业性个人住房*款贷**等。
例如,某个人住房*款贷**,期限为20年,按月还款,共240期,本金为100万元,采用等额本息方式还款。按照还款计划,从借款后第一个月末起,借款人每月等额偿还本息6599.6元。上述*款贷**以单利计算的年化利率约为5%。以IRR方法计算的年化利率约为5.12%,计算过程为:

三、收取费用的产品
借款人需在借款当期一次性支付手续费等与*款贷**直接相关的费用,并在还款期内,分期偿还一定数额的本金和费用。
例如,某消费金融公司*款贷**,期限为1年,按月还款,共12期,本金为10万元。按照还款计划,借款人在借款当期一次性支付1000元服务费,并从借款后第一个月末起,每月等额偿还8833.3元,其中本金100000/12=8333.3元,分期费(按初始*款贷**本金的0.5%计算)100000*0.5%=500元。上述*款贷**以单利计算的综合年化利率约为12.80%。以IRR方法计算的综合年化利率约为13.58%,计算过程为:
