- 电路的基本概念
- 电路和电路图
1.1.1电路是为了某种需要,将电气设备和电子元器件按照一定方式连接起来的电流通路。
1.1.2电路图是为了研究和工程的实际需要,用国家标准化符合绘制的、表示电路设备装置组成和连接关系的简图。
1.1.3电路一般都是由电源、负载、控制设备和连接导线四个基本部分组成的,如图1 所示。

1.2电路的基本物理量
1.2.1 电荷、电场和电场强度
带电的基本粒子称为电荷,失去电子带正电的粒子叫正电荷,失去电子带负电的粒子叫负电荷。电荷的多少用电量或电荷量来表示;电量的 符号是Q,单位C(库仑)。 电场是电荷及变化磁场周围空间里存在的一种特殊物质。电场对放入其中的电荷有作用力,这种力称为电场力。电场的强弱用电场强度表 示,符号为E,单位V/m。
1.2.2电流和电流密度
电流是电路中既有大小又有方向的物理量。电荷在导体中的定向移动形成电流。电流方向规定为正电荷移动的方向,与电子移动的方向相 反。 直流电是指方向不随时间做周期性变化,但大小可能不固定的电流。交流电是指大小和方向时间做周期性变化的电流。
1.2.3电位、电压和电动势
电位,也称电势,是衡量电荷在电路中某点所具有能量的物理量,单位是V,伏特。 导体两端的电位差,即电压。电压是衡量电场做功本领大小的物理量。 电动势是指衡量电源内部的正电荷从电源的负极推动到正极、将非电能转换成电能本领大小的物理量,符号为E,单位是V,伏特。电动势在 电路中既有大小也有方向,方向规定为从低电位点指向高电位点,即从电源的负极指向正极。
1.2.4 电阻
电阻是电流遇到的阻力,用符号R或者r表示。导体的电阻与其材料的电阻率和长度成正比,而与其横截面积成反比。电阻率是单位长度、单 位截面积导体的电阻,不同材料导体的电阻率不尽相同。20℃时导体的电阻计算公式为:

R为导体电阻,单位Ω,欧姆,L为导体的长度,单位为m;S为导体的截面积,单位是mm2,ρ为导体的电阻率,单位Ω•mm2/m。 电阻是导体的自身的特性,与导体的材料、温度、光度等有关系。绝大多数的金属材料温度升高时,电阻将增大。
1.2.5瞬时值和最大值
在交流电路中,交流电在每一瞬间时的电动势、电压和电流的数值叫做电动势、电压和电流的瞬时值,分别用符号e、u和i表示。 瞬时值中最大的数值,叫做交流电的最大值,用符号Em、Im、Um表示。瞬时值和最大值的关系表示:

1.2.6周期、频率和角频率
交流电每交变一次(或一周)所需的时间叫做周期,用符号T表示,单位为s(秒)。 每秒内交流电交变的周期数或者次数叫做频率,用符号f表示,单位为Hz(赫兹)。 周期和频率为倒数关系,即

角速度是单位时间内变化的电角度,又称角频率,符号为ω,单位为rad/s。有定义可知,导线旋转一周,角度变化2π弧度,所需时间为一个 周期T,即

频率、周期和角频率都是反应交流电重复变化快慢的物理量。我国交流电频率为50Hz,每秒变化50个周期,周期为0.02s,角频率为 314rad/s。
1.2.7相位、初相位、相位差
相位:反应正弦量变化进程的量,它确定正弦量每一瞬时的状态,(ωt+ϕ)称为相位角,简称相位。其中,(ωt+ϕ)及ωt是表示正弦交流 电瞬时变化的一个量,称为相位或者相角,不同的相位对应不同的瞬时值。t=0时的相位,称之为初相位或者初相角。初相位与计时起点有 关,因此可正可负,也可以为零。
最大值、频率和初相角是确定正弦量的三要素。
相位差 在任一瞬间,两个同频率正弦交流电的相位之差叫作相位差。相位差就是初相位之差,它与时间及角频率无关。
当相位差为零时,他们的初相位相同,即表示两个交流电同时达到零值或者最大值,这叫作同相。若一个交流电比另一个交流电早到零位或 正的最大值,则前者叫作超前,后者叫作滞后。如果两者相位差为180°,即表示同时到达零位或符号相反的最大值,叫作反相。
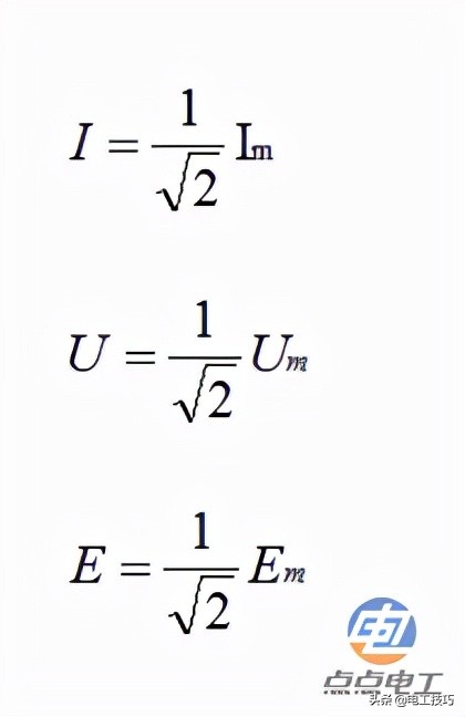
有效值
正弦交流电的大小和方向随时在变。用与热效应相等的直流电流值来表示交流电流的大小。这个值就叫做交流电的有效值。用大写字面I表 示。同理可得交流电动势与交流电压的有效值分别是E、U。 正弦交流电的有效值和最大值的关系:

1.2.8电功和电功率 电流所作的功叫做电功,用符号 ―W表示.电功的大小与电路中的电流、电压及通电时间成正比,计算公式为W=UIT=I2RT。
电功及电能量的单位名称是焦耳,用符号 ―J表示;也称千瓦/时,用符号 ―KWH表示。1KWH=3.6MJ
电流在单位时间内所作的功叫电功率,用符号 ―P表示。计算公式为

电功率单位名称为 ―瓦或 ―千瓦,用符号 ―W或 ―KW表示;也可称 ―马力. 1马力=736W 1KW = 1.36马力
- 欧姆定律
- 2.1 部分电路的欧姆定律 欧姆定律是反映电路中电压、电流和电阻之间关系的定律。欧姆定律指出,当导体温度不变时,通过导体的电流与加在导体两端的电压成正 比,而与其电阻成反比。即:

2.2 全电路的欧姆定律 包含电源的闭合电路称为全电路。全电路的欧姆定律指,电流的大小与电源的电动势成正比,而与电源内部电阻r0与负载电阻(R)之和 (r0+R)成反比,即

3. 基尔霍夫定律
3.1 基尔霍夫电流定律
对于电路中任一节点,流入节点的电流之和恒等于流出节点的电流之和。电流是有大小和方向,即有正有负;绕行方向与电动势或电压降方 向一致的电流取正号,反之取负号,则电路中任意一节点的电流代数和为零,即

n表示被选定的节点上流入、流出电流的总支路数,m表示被选定的节点上任一选定的电流的支路。
3.2 基尔霍夫电压定律
对于电路中的任意一个回路,回路中各电源电动势的代数和等于各电阻上电压降的代数和,即:

注意:绕行方向与电动势或电压降方向一致的电压取正号,反之取负号。
- 磁与磁路感应
4.1磁场
磁场是一种看不见摸不着,存在于电流、运动电荷、磁体或变化电场周围空间的一种特殊形态的物质。磁场的存在表现为:使进入场域内的 磁针、磁体发生偏转或取向;对场域内的运动电荷施加作用力,即电流在磁场中受到力的作用。
磁场的强度用磁感应强度表示。磁感应强度大小为单位长度的单位直流电流在均匀磁场中所受到的作用力,即: B=F/IL
4.2 磁力线
在磁场中画一些曲线(虚线或实线表示),使曲线上任何一点的切线方向都跟这一点的磁场方向相同(且磁感线互不交叉),这些曲线叫做 磁力线。磁力线是闭合曲线。规定小磁针的北极所指的方向为磁力线的方向。磁铁周围的磁力线都是从N极出来进入S极,在磁体内部磁力线 从S极到N极,如下图所示

4.3 磁导率
磁导率是表征磁介质磁性的物理量,常用符号µ表示,µ又称为绝对磁导率。µ等于磁介质中磁感应强度B与磁场强度H之比,即:

4.4 磁通 磁感应强度与磁场前进方向上某一面积的乘积称为磁通,数学公式为:

Φ为磁通符号,单位为Wb(韦伯)和Mx(麦克斯韦) 1Wb=10 4Mx B为磁感应强度符号,单位为T(特斯拉),S为面积符号,单位为m2
4.5 磁路
磁通的闭合回路称为磁路。
磁通在磁路中会遇到阻力,称为磁阻,用Rm表示

l与S分别为磁导体的长度、截面积;µ为材料的磁导率。
在磁路中,当磁阻大小不变时,磁通与礠动势成正比,即

N表示载流线圈的匝数,I表示导线通过的电流,N与I的乘积称为礠动势。