架空线路弧垂全站仪测量教程 (架空线路gps测量仪器)

01、高程测量原理与仪器操作 1.1 高程测量原理

1.1.1 高程测量概念:

根据已知点高程,测定该点与未知点的高差,然后计算出未知点的高程的方法。

1.1.2 高程测量的方法分类

1、水准测量

2、三角高程测量

3、GPS测量

利用水准仪提供的“水平视线”,测量两点间高差,从而由已知点高程推算出未知点高程。

架空输电线路测量,输电线路测距仪使用方法

图中:

A——后视点

a——后视读数

B——前视点

b——前视读数

1.1.3 视线高程

架空输电线路测量,输电线路测距仪使用方法

线测A、B两点间高差,然后得 B点的高程。

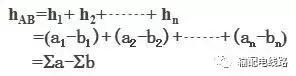
1.1. 4 转点的概念

若A、B 两点间布设一些过渡点(转点)1、2、3…,将其分为n段,则用水准仪分别测得各段高差为h1, h2… hn,则有:

架空输电线路测量,输电线路测距仪使用方法

1.2 水准测量的仪器与工具

水准仪按精度分为:DS05、DS1、DS3,其中DS3表示每公里往返测高差中误差。

1.2.1 水准仪组成

在经典全站仪的基础上安装轴系步进电机,可自动驱动全站仪照准部和望远镜的旋转。在计算机的在线控制下,机动型系列全站仪可按计算机给定的方向值自动照准目标,并可实现自动正、倒镜测量。

1) 望远镜

物镜

目镜

十字丝(上、中、下丝)

三个部分组成。

2) 水准器

圆水准器:用于整平。

水准管: 用于精平。

特性:气泡始终向高处移动。

3) 基座

作用:把仪器固定在三脚架上,下部脚螺旋用于整平仪器

架空输电线路测量,输电线路测距仪使用方法

1.2.2 水准尺主要有单面尺、双面尺和塔尺。

1) 尺面分划为1cm,每10cm处(E字形刻划的尖端)注有阿拉伯数字。

2) 双面尺的红面尺底刻划:一把为4687mm,另一把为4787mm。

1.2.3 尺垫

放在转点上,以防水准尺下沉。

1.3 水准仪的使用

操作程序:粗平—瞄准—精平—读数

1.3.1 粗平

调节脚螺旋,使圆水准气泡居中。

1) 方法:

对向转动脚螺旋1、2——使气泡移至1、2方向中间——转动脚螺旋3,使气泡居中。

架空输电线路测量,输电线路测距仪使用方法

图 粗平的操作方法示意图

2) 规律:

气泡移动方向与左手大拇指运动的方向一致。

1.3.2 瞄准

1) 方法:先用准星器粗瞄,再用微动螺旋精瞄。

2) 视差:

概念:眼睛在目镜端上下移动时,十字丝与目标像有相对运动。

产生原因:目标像平面与十字丝平面不重合。

消除方法:反复交替调节目镜和物镜对光螺旋。

1.3.3 精平

1)方法:如图所示,调节微倾螺旋,使水准管气泡成像抛物线符合。

2) 说明:自动安平水准仪,不需进行精平。

架空输电线路测量,输电线路测距仪使用方法

1.3.4 读数

精平后,用十字丝的中丝在水准尺上读数。

1) 方法:米、分米看尺面上的注记,厘米数尺面上的格数,毫米估读。

2) 规律:读数在尺面上由小到大的方向读。故仪器若成倒像的,从上往下读;若成正像,即从下往上读。

3) 水准仪读数实例

架空输电线路测量,输电线路测距仪使用方法

02、角度测量原理与经纬仪操作 2.1 角度测量概念

2.1.1 水平角定义

从空间一点出发的两条空间直线在水平投影面上的夹角。

范围:顺时针00~3600

架空输电线路测量,输电线路测距仪使用方法

计算公式

β=右(终)边c-左(始)边a

当c≥a时 β= c – a

当c<a 时 β= c+3600 – a

2.1.2 竖直角定义

在同一竖直面内,瞄准目标的视线与水平视线的夹角。

其范围:a=00~±900 ,仰角为正,俯角为负。

架空输电线路测量,输电线路测距仪使用方法

2.2 光学经纬仪的使用

经纬仪是测角的仪器,按精度,有: DJ6、DJ2、DJ1,其中“DJ6”表示经纬仪“一测回方向观测中误差为6”。

2.2.1 DJ6经纬仪的构造

经纬仪主要由照准部、水平度盘、基座组成

架空输电线路测量,输电线路测距仪使用方法

1). 照准部

架空输电线路测量,输电线路测距仪使用方法

  • 照准部(水平)制动、微动

  • 望远镜(竖直)制动、微动

  • 圆水准器

  • 水准管

  • 望远镜:目镜调焦,物镜调焦, 粗瞄准器,十字丝

  • 读数显微镜

  • 竖直度盘

  • 光学对点器

2). 水平度盘

架空输电线路测量,输电线路测距仪使用方法

水平度盘由光学玻璃制成

顺时针00~3600刻度;

水平度盘与照准部相互脱离;

3). 基座

作用:把仪器固定在三脚架上,下部脚螺旋用于整平仪器.

2.2.2 J6经纬仪读数方法

架空输电线路测量,输电线路测距仪使用方法

(1)分微尺的分划值为1ˊ,估读到 0.1ˊ(6")。

(2)“H”——水平度盘读数, “V”——竖直度盘读数。

2.2.3 J2光学经纬仪的构造

架空输电线路测量,输电线路测距仪使用方法

如图与J6相比,增加了:

(1)、测微轮——读数时,对径分划线影像符合。

(2)、换像手轮——水平读数和竖直读数间的互换。

(3)、竖直读盘反光镜——竖直读数时反光。

2.2.4 DJ2的读数方法

一般采用对径重合读数法——转动测微轮,使上下分划线精确重合后读数。

架空输电线路测量,输电线路测距仪使用方法

2.2.5 经纬仪的安置

(1)大致水平大致对中

眼睛看着对中器,拖动三脚架两个脚,使仪器大致对中,并保持“架头”大致水平。

(2)伸缩脚架粗平

根据气泡位置,伸缩三脚架两个脚,使圆水准气泡居中。

(3)脚螺旋精平——左手大拇指法则。

架空输电线路测量,输电线路测距仪使用方法

架空输电线路测量,输电线路测距仪使用方法

1)转动仪器,使水准管与脚螺旋1、2连线平行。

2)根据气泡位置运用法则,对向旋转脚螺旋1、2 。

3)转动仪器900,运用法则,旋转脚螺旋3 。

架空输电线路测量,输电线路测距仪使用方法

架空输电线路测量,输电线路测距仪使用方法

4)架头上移动仪器,精确对中 。

5)脚螺旋精平 。

6) 反复(4)、(5)两步。

2.3 角度测量方法

角度测量方法包括:测回法、 方向观测法

2.3.1 测回法

(1)、适用:2个方向的单角(∠AOB)

(2)、步骤:(边讲边操作示范)

架空输电线路测量,输电线路测距仪使用方法

(a)盘左瞄准左边A,配度盘至000X´,读取a1。

(b)顺时针旋转瞄准右边B,读取b1。

则上半测回角值:β1= b1-a1

(c)倒镜成盘右,瞄准右边B,读取b2。

(d)逆时针旋转瞄准左边A,读取a2。

则下半测回角值:β2= b2-a2

(e)计算角值

若:β1-β2≤±40"(图根级)

则有:

β = (β1+β2)/2

(3)、测回法记录格式

架空输电线路测量,输电线路测距仪使用方法

  • 度盘配置方法:

若观测N个测回,各测回间按1800/N的差值来配置度盘。

  • 测回法小结

架空输电线路测量,输电线路测距仪使用方法

2.3.2 方向观测法

(1).适用:在一个测站上需要观测两个以上方向。

(2).步骤:(有四个观测方向)

(a)上半测回

架空输电线路测量,输电线路测距仪使用方法

选择一明显目标A作为起始方向(零方向),用盘左瞄准A,配置度盘,顺时针依次观测A、B,C,D,A。

(b)下半测回

架空输电线路测量,输电线路测距仪使用方法

倒镜成盘右,逆时针依次观测A,D,C,B,A。

同理各测回间按1800/N的差值,来配置水平度盘

(3).计算、记录

(a)半测回归零差:

J2 ≤ 12 " ;J6 ≤ 18 " 。

(b)2C值(两倍照准误差):

2C=盘左读数-(盘右读数±180°)。

一测回内2C互差:J2≤18 " ;J6不作要求。

(c)各方向盘左、盘右读数的平均值:

平均值=[盘左读数+(盘右读数±180º)]/2

注意:零方向观测两次,应将平均值再取平均。

(d)归零方向值

将各方向平均值分别减去零方向平均值,即得各方向归零方向值。

(e)各测回归零方向值的平均值

同一方向值各测回间互差:J2 ≤ 12" ;J6 ≤ 24" 。

2.3.3 竖直角的计算公式

(1) 顺时针注记

架空输电线路测量,输电线路测距仪使用方法

α左=90°-L α右=R-270°

故一测回竖直角 α=(α左+α右)/2

(2) 逆时针注记

架空输电线路测量,输电线路测距仪使用方法

α左= L -90° α右=270°- R

故有:一测回竖直角: α=(α左+α右)/2

2.3.4 经纬仪放样方法

经纬仪常用的放样方法有极坐标法和交会法,极坐标法需要经纬仪和钢卷尺配合放样,其具体过程如下图所示:

1)分别计算出测站点到后视点和待测量点的方位角,确定出放样的转角α ,并计算出待测量点到测站点的距离S。

架空输电线路测量,输电线路测距仪使用方法

2)将经纬仪架在测站点上,后视后视点,转动转角α ,确定出待测量点的方向。

3)顺着测站点到待测量点的方向上用钢卷尺拉出距离S,确定处待测量点。

  • 角度交会法

(1)、适用:不便量距时

(2)、方法:

架空输电线路测量,输电线路测距仪使用方法

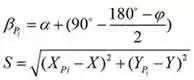
(a) 计算测设元素β1、 β2。

(b)拨水平角,交出P点。

测设时,通常先沿AP、BP 的方向线打“十字桩”, 然后交会出P点位置。

注意交会角 30°<γ<150°

  • 距离交会法

(1)、适用:距离较短,便于量距时。

(2)、方法:

架空输电线路测量,输电线路测距仪使用方法

(a)计算平距AP、BP。

(b)量取AP、BP,交会出点P。

2.4 经纬仪的检验与校正

架空输电线路测量,输电线路测距仪使用方法

经纬仪的主要轴线:

(1)、竖轴VV

(2)、水准管轴LL

(3)、横轴HH

(4)、视准轴CC

(5)、圆水准器轴L’L’

2.4.1、经纬仪轴线应满足的条件

(1)、VV⊥LL ——照准部水准管轴的检校。

(2)、HH⊥十字丝竖丝——十字丝竖丝的检校

(3)、HH⊥CC ——视准轴的检校

(4)、HH⊥VV——横轴的检校

(5).竖盘指标差应为零 ——指标差的检校

(6).光学垂线与VV重合 ——光学对中器的检校

(7). L‘’L‘’∥VV——圆水准器的检验与校正(次 要)

2.4.2 光学对中器的检校

(1)检验:精密安置仪器后,将刻划中心在地面上投下一点,再旋转照准部,每隔120°投下一点,若三点不重合,则需校正。

(2)校正:用拨针使刻划中心向三点的外接圆心移动一半。

2.4.3 圆水准器的检校

(1)检验:精平(水准管气泡居中)后,若圆水准气泡不居中,则需校正。

(2)校正:用圆水准气泡校正螺丝使其居中。

03、全站仪功能 3.1 全站仪介绍

3.1.1 全站仪的发展

架空输电线路测量,输电线路测距仪使用方法

3.1.2全站仪的构造

  • 常用全站仪

架空输电线路测量,输电线路测距仪使用方法

徕卡 全站仪

架空输电线路测量,输电线路测距仪使用方法

拓普康 全站仪

架空输电线路测量,输电线路测距仪使用方法

索佳 全站仪

架空输电线路测量,输电线路测距仪使用方法

尼康 全站仪

架空输电线路测量,输电线路测距仪使用方法

宾得 全站仪

架空输电线路测量,输电线路测距仪使用方法

南方 全站仪

  • 棱镜

架空输电线路测量,输电线路测距仪使用方法

架空输电线路测量,输电线路测距仪使用方法

3.2 全站仪的功能

架空输电线路测量,输电线路测距仪使用方法

3.2.1 角度测量

(1)功能:

测水平角

竖直角

(2)方法:与经纬仪相同。

若要测出水平角∠AOB,则:

  • 当精度要求不高时——只需半测回:

瞄准A点——置零(0SET)——瞄准B点,记下水平度盘HR的大小。

  • 当精度要求高时:——可用测回法

步骤同用经纬仪操作,配置度盘时,可以用“置盘”(H SET)

3.2.2 距离测量

(1)功能:可测量平距、高差和斜距(全站仪 镜点至棱镜镜点间高差及斜距)

(2)方法: 照准棱镜点,按MEAS。

架空输电线路测量,输电线路测距仪使用方法

3.2.3 坐标测量

(1)功能:

测出目标点的(X,Y,H)

(2)原理

a)平面坐标(X,Y)测量原理

架空输电线路测量,输电线路测距仪使用方法

b)高程(Z)测量原理

架空输电线路测量,输电线路测距仪使用方法

架空输电线路测量,输电线路测距仪使用方法

(3) 方法

架空输电线路测量,输电线路测距仪使用方法

a) 输入测站X,Y,H,仪器高i,棱镜高t。

b) 瞄准后视点,将水平度盘读数设置为测站至后视点的坐标方位角。

c) 瞄准目标棱镜点,按MEAS(测量)键。

3.2.4 点位放样

(1)功能:

根据设计的待放样点P及已知点的坐标,在实地标出P点的平面位置及填挖高度。

架空输电线路测量,输电线路测距仪使用方法

(2)原理

a)先在待放样点的大致位置立棱镜对其进行观测,测出当前棱镜位置的坐标。

架空输电线路测量,输电线路测距仪使用方法

b)将当前坐标与放样点的坐标相比较,计算出其差值。距离差值dD和角度差dHR或纵向差值ΔX和横向差值ΔY。

架空输电线路测量,输电线路测距仪使用方法

c)根据显示的dD、dHR或ΔX、ΔY,逐渐找到放样点的位置。

架空输电线路测量,输电线路测距仪使用方法

3.3 全站仪中线测设及断面测量简介

基本原理

中线测设:计算中桩坐标——全站仪点位放样(极坐标法)

纵断面测量:全站仪测量点的高程(三角高程测量)

横断面测量:确定横断面点位——全站仪测量点的高程(三角高程测量)

3.3.1 中桩坐标的计算

(1)直线段中桩

由起始点坐标和桩号里程,按“坐标正算”公式,可计算出各中桩的坐标。

(2)曲线段中桩

根据曲线要素按照“坐标正算”公式计算出曲线上各中桩的坐标。

3.3.2 中桩的实地放样

架全站仪在(导线)控制点上,利用全站仪“点位放样”功能,放样出各中桩。

架空输电线路测量,输电线路测距仪使用方法

3.3.3 中桩高程测量(纵断面测量)

中桩高程测量是在中桩放样的同时进行的。在中桩位置立棱镜,输入仪器高和棱镜高,即可利用全站仪“三维坐标测量”功能,在(导线)控制点上,测出中桩处的地面高程。

3.3.4 横断面测量

横断面测量也可在中桩测设、纵断面测量的同时进行。关键在于如何将棱镜立在中桩的横断面方向上。其方法主要是:

在大致横断面方向上的变坡点处立棱镜,测出点的平面坐标。

  • 注意:

架空输电线路测量,输电线路测距仪使用方法

架空输电线路测量,输电线路测距仪使用方法

架空输电线路测量,输电线路测距仪使用方法

在使用全站仪观测角度的时候,为了消除视差的影响,必须使十字丝与棱镜中心重合。

十字丝与棱镜是否重合辨别方法是:上下左右晃动眼睛,十字丝始终与棱镜的中心相重合,若二者有相对的移动,则说明有视差,就会影响观测结果的精度,这样就要需要重新调整十字丝和望远镜的清晰度。

调整时,先把十字丝跳到最清晰,然后调节望远镜,不时的晃动眼睛,直到十字丝与棱镜中心没有相对的移动便可读数。

04、测量计算基本常识 4.1 几个基本公式

4.1.1 坐标方位角的推算

α前=α后+α左±180°

或:α前=α后-α左±180°

注意:若计算出的方位角>360°,则减去360°;

若为负值,则加上360°。

4.1.2 坐标正算公式

由A、B两点边长DAB和坐标方位角αAB,计算坐标增量。见图有:

ΔXAB =DAB × cos αAB

ΔYAB =DAB × sinαAB

其中:

ΔXAB=XB-XA

ΔXAB=YB-YA

架空输电线路测量,输电线路测距仪使用方法

4.1.3 坐标反算公式

由A、B两点坐标来计算αAB、DAB

架空输电线路测量,输电线路测距仪使用方法

αAB的具体计算方法如下:

(1) ΔxAB=xB-xA ;ΔyAB=yB-yA

(2)

架空输电线路测量,输电线路测距仪使用方法

(3)根据ΔxAB、ΔyAB的正负号判断αAB所在的象限。

架空输电线路测量,输电线路测距仪使用方法

4.2 曲线要素与坐标的计算

4.2.1 圆曲线的要素(已知转角α及半径R)

根据需要及时进行,一般巡视全线、某线段或某部件。

架空输电线路测量,输电线路测距仪使用方法

切线长:T=Rtg(α/2)

曲线长:L=Rα(π/180°)

外距 :E=R(sec(α/2)-1)

曲差 :D=2T-L

4.2.2 主点里程的计算

架空输电线路测量,输电线路测距仪使用方法

ZY里程=JD里程-T; YZ里程=ZY里程+L

QZ里程=YZ里程-L/2; JD里程=QZ里程+D/2

4.2.3 圆曲线中桩坐标计算

1)方位角法

架空输电线路测量,输电线路测距仪使用方法

如图所示,已知曲线起点的坐标(X,Y),起点处的切线方位角为β,圆曲线的半径为R,转角为α,则曲线上任意 一点Pi的坐标计算如下:

任意点到起点的圆曲长为:

l=任意点桩号-ZY桩号

对应的圆心角为:ψ=l/(Rπ)·180°

则任意点Pi与起始点连线的方位角和距离分别为:

架空输电线路测量,输电线路测距仪使用方法

Pi点坐标为:

架空输电线路测量,输电线路测距仪使用方法

2)切线支距法

架空输电线路测量,输电线路测距仪使用方法

如图所示,以ZY或YZ为坐标原点,切线为X轴,过原点的半径为Y轴,建立坐标系,则Pi点在改坐标系中的坐标为:

架空输电线路测量,输电线路测距仪使用方法

特点:

测点误差不积累。

宜以QZ 为界,将曲线分两部分进行测设。

架空输电线路测量,输电线路测距仪使用方法

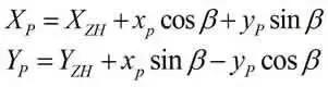
为了在已知坐标的测量控制点上进行曲线放样,必须将在过ZY点的切线直角坐标系中的曲线坐标转换到测量坐标中去。

ZY点切线在控制点坐标系中的方位角为β,曲线位于ZY点切线的右侧,ZY点的测量坐标为XZH和YZH,则曲线任意点P在测量坐标系中的坐标为:

架空输电线路测量,输电线路测距仪使用方法

如果曲线位于ZY点切线的左侧,则曲线任意点P在测量坐标系中的坐标为:

架空输电线路测量,输电线路测距仪使用方法

05、GPS定位原理及应用 5.1 GPS的定义

全球定位系统GPS(Global Positioning System),是一种可以授时和测距的空间交会定点的导航系统,可向全球用户提供连续、实时、高精度的三维位置,三维速度和时间信息。

  • GPS的特点:

1、全球,全天候工作:能为用户提供连续,实时的三维位置,三维速度和精密时间。不受天气的影响。

2、定位精度高:定位精度可达厘米级和毫米级。

3、功能多,应用广:随着人们对GPS认识的加深,GPS不仅在测量,导航,测速,测时等方面得到更广泛的应用,而且其应用领域不断扩大。

5.2 GPS的组成

GPS定位系统由GPS卫星空间部分、地面控制部分和用户GPS接收机三部分组成。

架空输电线路测量,输电线路测距仪使用方法

5.2.1 空间部分

由21颗工作卫星和3颗备用卫星。

架空输电线路测量,输电线路测距仪使用方法

GPS卫星图片

5.2.2 地面控制部分

  • 1个主控站:科罗拉多.斯平士。

  • 3个注入站:阿森松群岛、 迭哥伽西亚、卡瓦加兰。

  • 5个监控站: 以上主控站、注入站及夏威夷。

架空输电线路测量,输电线路测距仪使用方法

5.2.3 用户接收部分

  • 组成

---用户

---接收设备

  • 接收设备

---GPS信号接收机

---其它仪器设备

架空输电线路测量,输电线路测距仪使用方法

5.3 GPS定位的方法

按参考点的不同位置划分为:

(1)绝对定位(单点定位):在地球协议坐标系中,确定观测站相对地球质心的位置。

(2)相对定位:在地球协议坐标系中,确定观测站与地面某一参考点之间的相对位置。

按用户接收机作业时所处的状态划分:

(1)静态定位:在定位过程中,接收机位置静止不动,是固定的。静止状态只是相对的,在卫星大地测量中的静止状态通常是指待定点的位置相对其周围点位没有发生变化,或变化极其缓慢,以致在观测期内可以忽略。

(2)动态定位:在定位过程中,接收机天线处于运动状态。

在绝对定位和相对定位中,又都包含静态动态两种形式。

架空输电线路测量,输电线路测距仪使用方法

架空输电线路测量,输电线路测距仪使用方法

动态定位

架空输电线路测量,输电线路测距仪使用方法

静态定位

架空输电线路测量,输电线路测距仪使用方法

GPS的测量原理