
1854年,黎曼在哥廷根大学演时引人了高维理论。欧几里得几何大厦终于被黎曼的“论几何基础中的假说”*翻推**了。在欧几里得几何中,所有的图形不是二维就是三维。黎曼几何对艺术和科学有着深远的意义。
- 在黎曼讲演后30年,“第四维”在欧洲影响着艺术、哲学和文学的进程。
- 在黎曼讲演后60年,爱因斯坦用四维黎曼几何解释了宇宙的创生及其演化。
- 在黎曼讲演后130年,物理学家们试图用十维几何来统一物理宇宙的所有定律。
超越欧几里得几何学
欧儿里得几何学认为空间是三维的,而且这个三维空间是"平坦的"。在平坦的空间,两点之间最短的距离是直线,这就忽略了空间能被弯曲的可能,如在球面上。

实际上,在《圣经》之后,欧几里得的《几何原本》可能是最具影响力的书。根据它的原理,欧洲建立了好几千座精美的教堂。好多个世纪以来,它变成了某种神圣的东西;任何敢于提出弯曲空间和更高维数的人都会被贬为异教徒。然而,尽管尽了最大的努力,几个世纪来最聪明的数学头脑仍不能证明《原本》中貌似简单的命题。欧洲的数学家们开始意识到,《几何原本》是不完整的。如果进入弯曲表面的世界,欧儿里得几何学实际上是错误的。
对于黎曼而言,欧几里得几何学与丰富的世界多样性相比尤其显得贫瘠。自然界中没有什么地方能使我们看到平坦的、理想化的欧几里得几何图形。山脉、海浪、云彩和漩涡都不是完美的圆形、三角形和正方形,而是以无穷多样的方式表现出的弯弯扭扭的弯曲物体。
黎曼发现,欧几里得几何学归根到底是建立在常识和直观知识的基础上的,而不是建立在坚实的逻辑基础之上。
所有物理定律的统一
高斯很早就有了“高维几何”的想法,他曾经向他的同事们说起假想完全生活在二维表面上的“书虫”,并想要把这推广到高维空间的几何学中去。然而,由于害怕受到保守派的*害迫**,高斯从来没有公开发表过关于高维几何理论的任何作品。高斯把希望寄托在了他的学生黎曼身上,让黎曼选择“几何基础”这一主题作为就职演讲。
黎曼花了好几个月时间发展高维理论,竭尽全力,甚至使身体状况恶化。期间,他还帮助韦伯研究电学。19世纪初,电现象是物理研究的焦点。特别是,一根通电导线经过指南针时能使后者偏转,这一发现吸引了物理学界的注意。相反,垂直于磁场运动的金属棒会在导线中感生出电流。对于黎曼而言,这个现象表明电和磁是同一种力的某种表现形式。黎曼被这个新的发现所鼓舞,深信他能对此给出一个数学解释,这个解释将把电和磁统一起来。

黎曼提出一种全新的物理绘景。像高斯的“书虫”一样,黎曼描绘了一个生活在一张纸上的二维动物种族。但是他作出的决定性突破,把这些书虫放在一张弄皱的纸上。"这些书虫们将会把它们的世界想象成什么呢?黎曼认为,他们仍会推断他们的世界是完全平坦的。因为他们的身体也将被弄皱,这些书虫们从没注意到它们的世界被扭曲了。然而,黎曼指出,如果这些书虫企图在这张皱纸上运动时,它们将觉得有一种神秘的看不见的“力”在阻止它们沿直线运动。每当它们的身体越过纸上的一道皱纹,它们都会被推得左右晃动。
这样,黎曼对牛顿力学作出了第一个重要突破。他排除了远距作用原理。对于黎曼而言,"力"是几何的结果。
接着,黎曼把我们生活的三维空间想象成四维空间中褶皱的纸。宇宙是弯曲的,当我们企图沿直线行走时,有些事情就会出差错。好像有一种看不见的力在拉扯着我们,让我们左摇右晃动。

黎曼推断,电、磁和引力皆由三维宇宙在看不见的第四维中起褶所致。因此,“力”本身并不存在,它只是几何畸变引起的结果。通过引进第四个空间维度,黎曼意外地发现自然规律在高维空间中表述时显得简单了,后来这成了现代理论物理学中的一个重要论题。然后,他就着手研究能够表述这种思想的数学语言。
黎曼度规张量∶时空的毕达哥拉斯定理
当黎曼在1854年发表他的“几何基础”的演讲时,收到了非常好的反应。毫无疑问,这是数学史上最为重要的公开演讲。黎曼突破了统治数学2000多年的欧几里得几何学的演讲很快传遍了整个欧洲所有研究中心。他的讲演被翻译成好几种语言,且在数学家中产生了相当大的轰动。
像物理学和数学中的许多伟大著作一样,黎曼这篇伟大论文的核心思想并不难理解。黎曼从著名的毕达哥拉斯定理出发,

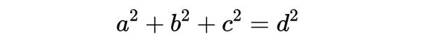
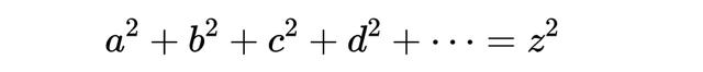
对于三维空间而言,这个定理很易于被推广,


把这个定理推广到 n 维也很简单。设想一个n维立方体,若a,b,c,…是这个“超立方体”的边长,且z是这个"超立方体"的对角线长度,则

显然,虽然我们头脑中不能想象出一个n维立方体,但是,却很容易写出关于它的边和对角线的关系的公式。
接着,黎曼把这些方程推广到任意维的空间。这些空间既可以是平坦的,也可以是弯曲的。如果是平坦的,那么欧几里得定理适用∶两点之间直线最短,平行线永不相交,三角形三内角之和等于180度。但是黎曼还发现,面可以具有“正曲率”,就像球面那样,这些面上的平行线总会相交,而且三角形的内角之和可以超过180度。面也可以有“负曲率”,如马鞍形的或喇叭形,三角形三内角之和小于180度。

黎曼的目标是从数学上引进一种能够描述所有表面的新客体。这必然促使他、引进法拉第的场的概念。黎曼的思想是在空间的每一点引进一组数,这组数将描述空间在这一点的弯曲程度。
例如,对于一个普通的二维表面,黎曼在每一点引进一组3个数,这个数组就完全描述了该表面的弯曲。黎曼发现,在四维空间,需要在每一点引进一组10个数来描述它的性质。无论这个空间被弄皱或扭曲成什么样子,在每一点的一组10个数足以表达该空间的所有信息。让我们用记号

来标记这10个数字((当分析四维空间时,下标可以从1到4变化))这时,黎曼的10个数字可以用下图表示,

它看起来好像有16个分量。然而

如此等等。因此真正独立的分量只有10个。现在,这个数组被称为黎曼度规张量。粗略地讲,度规张量的值越大,纸的褶皱程度也越大。度规张量给了我们一种测量纸面任何一点曲率的简单方法。
黎曼的度规张量使他建立了一种强有力的工具来描述具有任意曲率的任何维空间。他惊奇地发现,所有这些空间都能明确定义,而且也很自洽。
黎曼预见了物理学中的另一个发展。黎曼是首先讨论多连通空间的人。为了想象这一概念,拿两片纸并且把一片放在另一片的上面。在每一片纸上用剪刀剪一个短的切口,然后用胶水把这两张纸沿这两个切口粘贴起来。

- 黎曼切口,两张纸沿着一条线粘连起来。如果我们绕开切口走,我们就一直逗留在同一个空间。但是如果我们从切口通过,那么我们就从一张纸走到了另一张纸。这是一个多连通的面。
如果虫子生活在上面这片纸上,有一天它可能偶然进入切口,并发现自己到了下面那片纸上。由于每件事都不太对头,为此它困惑不解。经过更多的试验之后,虫子将发现它能重新进入切口,从而重新出现在它通常所在的世界中。如果它绕着切口走,那么它的世界看起来还是正常的。但是,当它企图通过切口走捷径,就会出现问题。
黎曼切口是一个虫洞的例子(只是该虫洞的长度为零),这个虫洞连接了两个空间。
黎曼的遗产
总之,黎曼的工作不仅仅是给超维空间的数学理论打下了基础,而且远远超过了这些。回顾起来,我们看到黎曼讨论过现代物理中的一些主要课题。特别是∶
- 他用高维空间简化了自然规律;即对他而言,电磁以及引力仅仅是由超维空间的弯曲所引起的结果。
- 他讨论了虫洞的概念。黎曼切口是多连通空间的最简单的例子。
- 他把引力表述为场。由于度规张量(借助于曲率)描述了空间任一点的引力,当把度规张量用于引力时,它就是精确的法拉第场的概念。
黎曼所以不能完成他的关于力场的工作,是因为他不知道电磁以及引力所遵守的方程。换句话说,他不能精确地知道为了产生引力,宇宙将被怎样弯曲。这些关键性的进展留给了麦克斯韦和爱因斯坦。
二维人
杰出的科学家们开始向公众推广黎曼几何。亥姆霍兹可能是他同时代的人中最著名的德国物理学家,他深深地被黎曼的工作所影响。根据亥姆霍兹的说法,球面上那些推理能力与我们相似的生物将独立地发现,欧几里得的所有假设和定理都是不成立的。
当一些科学家正在探索高维的应用之时,另外一些科学家却在问一些更实际和平凡的问题,如二维生物怎么吃东西?如果我们现在画出二维人的消化道,我们注意到这个通道完全把它们的身体一分为二了。

如果他们吃东西,他们的身体就将分成两块。要么这些人像我们一样吃东西,他们的身体将分开;要么他们将遵守不同的生物学规律。
不幸的是,黎曼先进的数学超过了19世纪相对落后的物理认识。为了使物理学家赶上数学家,我们必须等待又一个世纪。但是这并没有阻碍19世纪科学家们无休止地猜测从第四维中出来的生物会像什么模样。不久,他们意识到这样一个第四维生物几乎具有如神灵般的能力。
我们是二维人的神
我们再来考虑一下高斯设想的居住在二维桌面上的二维人。为了监禁一个罪犯,平面国人只需绕他画一个圆圈。不管罪犯向哪儿移动,他总是要碰到这个不可逾越的圆圈。然而,对于我们三维人而言,把这个罪犯从监狱中带出来却是一件很平常的事。我们只需抓起这个平面国人,把他从二维世界中拿出来,重新把他安置在他那个世界的其他地方。这种在三维世界中十分容易的事情,在二维世界中却显得奇妙无比,并且不可理解。

对于狱吏而言,囚犯突然从监狱中不见了,他消失得尤影无踪。接着正如刚才的消失那样,他突然又重新出现在别的地方。如果你对狱吏解释说囚犯被“向上”移动且离开了平面世界,狱吏将不理解你在说些什么。向上这个词在平面国人的词汇中是没有的,他也无法想象出这个概念。
观察平面国人,就会注意到我们神通广大。即使平面国人躲在房子里或者躲在地下,我们也能一目了然。他将认为我们的能力是魔术般地不可思议。然而,我们知道那并不是魔术在起作用,而只是一种更高级的透视。